Деревянное перекрытие в кирпичном доме схема – Деревянные перекрытия между этажами в кирпичном доме: монтаж
Опирание деревянной балки на кирпичную стену: выполняем без ошибок
Узел опирания деревянной балки на кирпичную стенуПерекрытия, как известно, могут быть плитными, а могут быть балочными. Первый вариант, конечно, очень надёжен, только вот требует немалых вложений, в том числе и для найма грузоподъёмной техники.
При возведении одно- или двухэтажного частного дома – в том числе и кирпичного, такой прочности вовсе не требуется. К тому же, это лишняя нагрузка на стены и фундамент, поэтому в малоэтажном строительстве в основном устраивают балочные перекрытия.
У тех, кто строит дом своими руками, возникает при этом логичный вопрос: «Как осуществляется опирание деревянной балки на кирпичную стену?». Разбираться в данной теме, мы будем с помощью видео в этой статье.
Деревянные балки и требования к ним
В принципе, балочные перекрытия тоже могут быть разными: железобетонными, металлическими, либо деревянными. Первые два варианта не уступают по техническим характеристикам плитным перекрытиям, но они достаточно сложны для исполнения, и поэтому в частном строительстве практически не используются. А вот деревянные балки — совсем другое дело!
Итак:
- Несмотря на кажущуюся простоту, здесь тоже есть масса нюансов, которые необходимо соблюсти. Прежде всего, следует правильно выбирать пиломатериал. Чаще всего для этой цели используют твёрдую древесину хвойных пород: лиственницу, сосну, ель, кедр. Цена здесь не имеет никакого значения – просто балки из хвойных пород лучше всего работают на изгиб.
Сосновый брус для балочного перекрытия- Есть, конечно, поборники лиственной древесины, которые утверждают, что и осина с берёзой прекрасно справляются с такой задачей. Только вот строительные нормы рекомендуют вообще все несущие деревянные конструкции — а не только балки перекрытия, изготавливать из хвойного пиломатериала. Твёрдые породы лиственной древесины, годятся лишь для соединительных деталей (нагелей, шкантов, и т.д.).
- Брус для перекрытия можно, и даже предпочтительно, использовать строганый, а не клееный. Он должен быть хорошо просушен и обработан перед монтажом огнебиозащитным составом. В отапливаемых зданиях, цельные балки должны монтироваться без пересечения со стенами и перегородками, а конструкция перекрытия, как таковая, должна гарантировать им хорошую вентиляцию.
Схема междуэтажного перекрытия- Глухая (монолитная) заделка балок в стены не допускается – их укладывают в гнёзда, и обязательно на амортизирующие прокладки из лиственной древесины. Концы балок, монтируемых с помощью металлического крепежа, должны быть защищены влагонепроницаемым слоем, так как при образовании конденсата, коррозия металла может повлечь за собой и коррозию древесины.
Но прежде, чем приступить к монтажным работам, несущие элементы перекрытия нужно рассчитать. Поэтому далее вашему вниманию будет предложена инструкция по подбору сечения балок и определению шага их установки.
Размеры балок и способы их монтажа
Итак, вам необходимо определить, сколько всего балок требуется установить, и какого размера в сечении они должны быть. Прежде всего, необходимо замерить величину пролёта перекрытия, и, определившись с глубиной их закладки в стены, рассчитать эксплуатационные нагрузки.
Итак:
- Длина балок зависит от варианта их крепления. Если концы будут закладываться в стену, то получить их длину можно путём сложения величины пролёта, и удвоенной глубины заложения балки (на два торца). В блочных и кирпичных домах, глубина гнёзд для закладки балок составляет не менее 10-15 см, что зависит от их размера.
Крепление балок хомутами- Если балки будут крепиться к стенам с использованием металлических хомутов или консолей, то их длина соответствует расстоянию между параллельными стенами . Тут многое зависит от того, где именно обустраивается перекрытие: над подвалом, между этажами, или на чердаке. Иногда, при обустройстве чердачных перекрытий, балки выпускают наружу, за пределы стен, монтируя к ним стропильные ноги.
- Это один из способов формирования свеса кровли. В другом варианте, балки бесчердачного перекрытия могут монтироваться непосредственно к мауэрлатному брусу – что мы и видим на фото снизу. Естественно, длина балок при одинаковом пролёте, в таких ситуациях будет разной, и при расчёте составляющих элементов перекрытия, все эти нюансы должны быть учтены.
Вариант крепления чердачного перекрытияОбратите внимание! Максимальная длина балок из бруса или обрезной доски, составляет 6м. Если нужно перекрыть пролёт большего размера, лучше отдать предпочтение металлическим двутавровым балкам, или уже вместо балок придётся использовать деревянные фермы. Но вообще, для деревянного перекрытия и шесть метров многовато – самый оптимальный вариант – пролёт в пределах 3-4м.
Нагрузки
Нагрузка, которую воспринимает перекрытие, складывается из двух составляющих: собственный вес конструкции, и эксплуатационная нагрузка (люди, мебель, оборудование). Подсчитать её можно по упрощённой схеме.
Например, собственный вес чердачного перекрытия с лёгким минераловатным утеплителем, традиционно составляет 50 кг/м2.
Итак:
- По нормам, эксплуатационная нагрузка для нежилого чердака, в котором не складируются вещи, составляет не более 70 кг/м2. Она умножается на коэффициент запаса, принимаемый как 1,3, и суммируется с постоянной нагрузкой. После всех манипуляций, в итоге получается 130 кг/м2. Эту цифру требуется округлить в большую сторону — то есть, до 150 кг/м2.
Нежилой чердак- Но для утепления чердака может использоваться и более тяжёлый материал, например, керамзит – и естественно, его вес нужно тоже учитывать. Картина резко меняется, если чердак превращается в жилую мансарду. В этом случае, нормативная эксплуатационная нагрузка составляет уже не 70, а 150 кг/м2.
- Сюда нужно прибавить ещё и вес монтируемого в нижнем помещении подвесного потолка, и закладываемых в него инженерных коммуникаций — а это ещё, как минимум, 15-25 кг. Учитывать следует и вес напольного покрытия, и вес зонирующих перегородок, если таковые будут возводиться в верхнем помещении.
Все дополнительные нагрузки, должны быть приплюсованы к нагрузке нормативной, а вот собственный вес перекрытия, и коэффициент запаса принимаются те же. Расчёт нагрузок производится аналогично, по той же формуле, о которой было сказано выше.
Идеальный вариант, если цокольное и междуэтажное перекрытие будет рассчитано на 400кг/м2 – тогда оно с лёгкостью выдержит и массивную мебель, и фортепиано, и наплыв гостей.
Сечения
После того, как вы рассчитали длину балок и воспринимаемые ими нагрузки, можно приступать к подбору сечения. Удобнее всего для этой цели использовать брус прямоугольного сечения – при этом оптимальным считается соотношение сторон 1,35:1.
Так как в конструкцию перекрытия закладывается плитный утеплитель, то ориентироваться нужно по его толщине, плюс небольшой вентиляционный зазор.
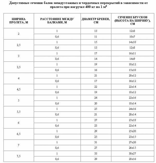
- Шаг между балками, опять же должен быть соотнесён с размером теплоизоляционных плит, только теперь с их шириной. Но если быть более точными, то скорее наоборот, утеплитель подбирается под конструкцию перекрытия. Расстояние между балками и их сечение, можно подобрать по такой вот таблице, которую мы приводим далее.
Нормативная таблица подбора элементов балочного перекрытияЭто упрощённый способ подбора, поэтому не стоит забывать, что страховка никогда не мешает. Поэтому всегда лучше увеличить запас, и все значения округлять в большую сторону.
Шаг между балками определяется с таким расчётом, чтобы крайний брус оказался не вплотную к стенам или мауэрлату, а между ними оставалось расстояние не менее 20 см.
Нюансы установки
Мы уже говорили о том, что монтаж балок может производиться двумя способами: путём закладки в специально предусмотренные в кладке гнёзда, и креплением хомутами, либо другими металлическими приспособлениями.
Итак:
- Рассмотрим первый способ. Для этого концы потолочного бруса нужно подрезать под углом 60 градусов, и обработать их битумной мастикой или любым другим гидрофобным составом, а затем ещё и обернуть их рулонным материалом: пергамином или рубероидом.
Варианты установки потолочных балок- Перед установкой балки, около задней стенки монтажного гнезда, укладывают кусок пенопласта или другого утеплителя — под балкой обязательно должна быть деревянная прокладка. Потолочный брус закладывают в гнёзда так, чтобы между его торцом и задней стенкой гнезда, оставалось ещё несколько миллиметров зазора.
- Очень удобен способ монтажа балок перекрытия на металлическую консоль, и на схеме, приведённой выше, показан узел её опирания. И ещё, обратите внимание, что для надёжности между балками монтируются поперечины, соединяемые с ними посредством металлических уголков.
Получается своеобразный каркас, который снизу подшивается доской или гипсокартоном. Затем, со стороны верхнего помещения, в него закладывается «начинка»: пароизоляция и утеплитель, после чего сверху балок монтируют жёсткий листовой материал: плиты OSP, ЦСП, фанеру, ДСП. Далее обустраивается напольное покрытие верхнего этажа – но это уже совсем другая тема.
iz-kirpicha.su
Перекрытия в домах из бревна: как делают перекрытия в срубах
class=»eliadunit»>
Вступление
Деревянное домостроение было популярно в нашей стране всегда. Несмотря на постоянно появляющиеся новомодные технологии индивидуального домостроения, деревянное зодчество продолжает занимать лидирующие позиции в частном секторе строительства бревенчатых домов.
Конкуренция оцилиндрованных и рубленых срубов
Спор, какой сруб лучше, сруб из оцилиндрованного бревна или рубленый сруб не имеет разрешения. Есть мнения, что рубленые срубы теплее, хотя теплота сруба зависит от типа замкового соединения бревен и от качества сборки. Считается, что оцилиндрованный сруб легче собирать, хотя заводское изготовление бревен не гарантирует их точную подгонку при сборе.
На вопрос, какой дом из бревна http://domizbrevna.com лучше, рубленный или оцилиндрованный, а может сруб из бруса, ответить могут время, качество сборки сруба и соблюдение технологий строительства.
Перекрытия в конструкции сруба
Сруб это конструкция из бревен, уложенных венцами и скрепленных между собой замковыми соединениями, вырубленными на краях и по длине бревен. Сама по себе конструкция сруба достаточно прочная. Замки и продольные пазы в бревнах прочно связывают сруб, не давая остову сруба рассыпаться.
Однако, вес самого сруба это лишь, малая часть нагрузок присутствующих в срубе. Большую нагрузку на сруб оказывает крыша со своей стропильной системой, и нагрузка на полы этажей, чердака или мансарды дома.
Перекрытием называют элемент строительной конструкции дома, равномерно распределяющий вертикальные нагрузки на полы разных уровней дома.
Кроме распределения нагрузки, перекрытия делают так, чтобы создать искусственный барьер для проникновения шумов, холода, ухода тепла между уровнями (этажами) дома.
Учитывая последнее, становится понятно, что перекрытие между этажами не должно быть теплоизолирующим, достаточно только шумоизоляции. А вот, перекрытие первого и последнего этажа, лучше сделать со слоями шумо- и теплоизоляции.
Особое внимание уделяется слоям первого этажа над подвалом. В этой конструкции присутствует слой гидроизоляции, отделяющий первый этаж дома от проникновения влаги из подвала или холодного цоколя.
Конструкция перекрытия в домах из бревна
Конструкция перекрытия сруба, состоит из несущих элементов принимающих основную вертикальную нагрузку, называемых балки. Стандартный размер балок уложенных через 400-600мм, 50мм по толщине и 150 — 180мм по высоте. Укладывается балка перекрытия на сторону 50мм.

Между балками перекрытий делаются черновые полы, профессионально называемые накат. Крепятся щиты наката на черепные бруски (пробоины), прибитыми к несущим балкам.
class=»eliadunit»>Покрываются балки чистовыми деревянными полами. Низ балок, служит основанием для крепления потолочных досок или другого материала для потолка.
Пространство между накатом и чистовым полом, получается в виде своеобразных длинных ниш. Это пространство служит местом для укладки изолирующих материалов, для удержания тепла и проникновения шума.

Как балки крепятся к остову сруба
По физике понятно, что максимальная нагрузка перекрытия будет в месте соединения балки и стен сруба. Нельзя в этом месте прибить балку или прикрутить её монтажными уголками. Здесь возможно и технологически оправдано, только одно соединение. В венце вырубается паз на высоту балки, и балка укладывается в этот паз.

Стоит отметить, что крепление балок к перегородкам внутри дома может быть сделано без врубки, на поддерживающих (черепных) брусках.
Гидроизоляция и пропитка балок перекрытий
Балки перекрытий деревянного дома, чаще скрыты. На первом этаже, балки могут укладываться на фундамент или промежуточные опоры.
Важно! Нельзя допускать соприкосновение дерева балок с бетонными (кирпичными) основаниями. Балки нужно укладывать на два слоя пергамина или рубероида. Кроме этого, разумно подо все балки проложить куски резины для звукоизоляции пола.
Нормативная конструкция перекрытий
Подведя итог, и добавляя вышесказанное дополнениями о слоях утепления, шумовой изоляции и пароизоляции можно показать 8 слоев перекрытий деревянного дома из бревен.

На самом деле, эта конструкция хоть и является нормативной, но может меняться в зависимости от используемых современных материалов.
В завершении
В завершении стоит отметить, что существуют технологии промежуточного крепления балок на столбах, которые позволяют создавать большие открытые пространства в деревянном доме.
Кроме этого нужно помнить, что любой сруб, кроме сруба из сухого клееного бруса, дает усадку в течение одного года. Это нужно учитывать при устройстве перекрытий и использования соединений, отличных от врубки.
Статьи по теме
class=»eliadunit»>
opolax.ru
в кирпичном, деревянном и каркасном доме
Устройство пола — это одна из важнейших задач, которые стоят перед будущими владельцами при строительстве дома. Конструкция пола может быть разной. 2 возможных варианта:
- пол по деревянным балкам;
- пол по лагам.

Схема деревянного пола по лагам
Чаще всего предпочтение отдается полу по лагам, так как его проще настелить. Однако устройство пола по деревянным балкам имеет ряд преимущества перед конструкцией по лагам. Балки — это важный функциональный элемент конструкции деревянного дома. Если пол стелется по ним, то дом приобретает дополнительную устойчивость, так как балочные брусья встраиваются в несущие стены. Однако в этом заключается и единственный недостаток подобного устройства пола. Посредством балок, встроенных в каркас, любое механическое воздействие на пол отражается на несущих стенах.
Кроме того, к преимуществам устройства пола по балкам можно отнести низкие материальные затраты, так как изготавливать нижнее перекрытие под пол не требуется, а также малый вес используемого материала. При этом если соорудить каркас для пола, который не будет иметь точек соприкосновения со стенами дома, то и единственный недостаток данной конструкции будет устранен.
Как вмонтировать балку в кирпичную стену?
Прежде всего необходимо определить требуемое количество и размер сечения балок. Как правило, используются балки с сечением 15х15 см или 20х20 см. Расстояние между ними должно составлять не более 60 см. Такая конструкция будет обладать необходимой прочностью и устойчивостью.
Схема монтажа балки в кирпичную стену.
В кирпичном доме, в котором кирпичом обкладывается верхняя часть фундамента, брусья нужно заделать в стены наглухо. Это нужно предусмотреть еще на этапе кладки кирпичных стен. В необходимых местах оставляются гнезда для установки балок. Чтобы края балок, которые будут расположены в гнездах, не загнивали, требуется выселить проемы под них рубероидом в 2 слоя, а концы балки нужно обработать огнебиозащитным составом. Рекомендуется наносить подобные составы на все деревянные элементы строения. На торцы нельзя наносить состав, который препятствует тому, чтобы дерево дышало. Если это не предусмотреть, то на деревянных элементах будет скапливаться конденсат. Нельзя наносить на торцы смолу.
Если проемы в стене больше сечения деревянных элементов, то пространство, остающееся свободным, нужно заполнить утеплителем (например, пенопластом или минеральной ватой) или цементным раствором. Необходимо учесть, что между брусом и стенками гнезд в кирпичной стене должен остаться воздушный зазор 3-5 см. Брус не крепится к кирпичу. Минимальное допустимое расстояние между несущей стеной и первой балкой — 5 см. Их опорная часть должна быть минимум 15 см, а глубина проема в стене — 18 см.
Обязательно нужно предусмотреть спил торца балки под нужным углом. Этот угол составляет 60°. Кроме того, торец укладывается так, чтобы спил в верхней части был на большем расстоянии от стенки проема, чем в нижней. То есть нижний край бруса должен максимально прилегать к кирпичной кладке.
Установка балок в деревянном или каркасном доме
Схема пола по лагам в каркасном доме.
Брусья нижнего перекрытия при строительстве каркасного или деревянного дома укладываются другим образом, нежели в кирпичную кладку. Если речь идет о каркасном сооружении, то балки нижнего перекрытия монтируются на нижней обвязке дома. Брусья крепятся к нижней обвязке гвоздями.
Строительство дома из бревен или бруса предусматривает вырубку проемов в стене под балки перекрытия. Эти проемы обязательно нужно обработать антисептическим составом. При этом брусья, составляющие нижнее перекрытие, должны располагаться на расстоянии не менее 40 см от основания печи и дымохода.
Укладка пола на перекрытие
Для балочного перекрытия существуют определенные правила укладки напольного покрытия.
Рекомендуется придерживаться следующих советов:
- К каждой балке перекрытия с 2-х сторон нужно прикрепить бруски. Они послужат для подгонки настила вплотную. В качестве настила можно использовать гипсовые плиты, доски и прочее. Настил нужно соорудить на уровне нижней плоскости брусьев перекрытия.
- Поверх настила нужно выполнить гидроизоляционные работы. Для этого можно использовать раствор из песка и глины, который будет намазываться на настил, или рубероид. Гидроизоляция предназначена для защиты утеплителя.
- Для утепления пола могут быть использованы плиточные материалы, шлак или опилки.
- После выполнения всех вышеописанных работ можно начинать стелить покрытие. Пол чаще всего изготавливается из струганных досок. Их толщина должна быть не менее 3,5 см. Если предварительно на балки уложить лаги, то будет создан дополнительный воздушный зазор, который обеспечит вентиляцию.
Таким образом, соорудить пол по деревянным балкам довольно просто. Но при этом необходимо учитывать некоторые нюансы, которые обеспечат долговечность и надежность не только пола, но и всей конструкции. Это очень важно, так как неправильно сделанный пол может послужить причиной нарушения устойчивости всего здания.
1poderevu.ru
