Прочность бетона класс бетона – .
2.4. Определение марки и класса бетона
Основной качественной характеристикой бетона является его марка. Она определяется пределом прочности при сжатии стандартных образцов-кубов (приложение 6), размеры которых зависят от наибольшей крупности зерен заполнителя, изготовленных из бетонной смеси и выдержанных до испытания в течение 28 сут в нормальных условиях (ГОСТ 10180—90). Кроме того, марка бетона в конструкциях может быть определена без их разрушения механическими или физическими методами. Тяжелый бетон имеет следующие марки:М50, М100, М150, М200, М250, М300, М350, М400, М450, М500, М550, М600, М700, М800. Класс бетона находят по величине гарантированной прочности на сжатие с обеспеченностью 0,95. Между классом бетона и его средней прочностью существует следующая зависимость:
, (15)
где В – класс бетона по прочности; R – средняя прочность бетона, МПа, t – коэффициент, характеризующий принятую при проектировании обеспеченность класса бетона; ν – коэффициент вариации прочности бетона.
Соотношения между классами бетона по прочности на сжатие и марками приведены в прил. 6.
Предел прочности при сжатии бетона по результатам испытания образцов-кубов. Образцы изготовляют в разборных чугунных или стальных формах со строганой или шлифованной внутренней поверхностью. Формы должны быть достаточно жесткими, не деформирующимися во время формования образцов, с соединениями элементов, исключающими потерю цементного молока при формовании. Размер собранных форм необходимо строго выдерживать, не допуская отклонений по длине ребер внутри куба более 1 %. Углы между гранями прямоугольных форм должны быть прямыми.
Перед укладкой бетонной смеси формы очищают от остатков бетона, а внутреннюю поверхность смазывают отработанным минеральным маслом или смазкой, например ОЭ-2, препятствующей сцеплению затвердевшего бетона с поверхностью форм. Укладка бетонной смеси в формы должна быть закончена не позднее чем через 15 мин после приготовления смеси.
Методы укладки и уплотнения бетонной смеси в формах зависят от ее подвижности. Особо подвижную бетонную смесь с осадкой конуса более 12 см укладывают и формы в два слоя равной толщины и каждый слой уплотняют штыкованием металлическим стержнем диаметром 16 мм по спирали от краев к центру образцов.
При штыковании нижнего слоя стержень должен достигать дна формы, при штыковании второго слоя стержень должен проникать на глубину 2–3 см в лежащим слой. Число штыкований каждого слоя бетонной принимают из расчета 10 погружений стержня на каждые 100 см2 поверхности. По окончании штыкования верхнего слоя избыток бетона срезают металлической линейкой вровень с краями формы, а поверхность образца заглаживают.
Для пластичных и жестких бетонных смесей, уплотняемых при формовании изделий вибрированием, образцы изготовляют также с применением вибрирования. Бетонную смесь укладывают в форму с некоторым избытком, после чего форму устанавливают на стандартную лабораторную виброплощадку и закрепляют зажимами. Затем включают виброплощадку и секундомером фиксируют время вибрирования. Вибрирование должно продолжаться до прекращения оседании бетонной смеси, выравнивания ее поверхности и появления на ней цементного молока, но не менее времени, которое соответствует показателю жесткости, увеличенному на 30 с.
После уплотнения образцы в формах, покрытых влажной тканью, хранят в помещении при температуре 20±2 °С в течение 1 сут, затем их вынимают из форм, маркируют и до момента испытания помещают в камеру нормального твердения при температуре 20±2 °С с относительной влажностью не менее 95%. Образцы в камере укладывают на стеллажи в один ряд по высоте с промежутками между ними, обеспечивающими омывание каждого образца воздухом. Увлажнять их непосредственным орошением водой не следует. В том случае, если железобетонные изделия изготовляют с применением тепловой обработки, все образцы в формах подвергают одновременному обогреву в тех же условиях, что и изделия, после чего их освобождают из форм и хранят в нормальных условиях до момента испытания.
Предел прочности при сжатии образцов определяют следующим образом. Образцы извлекают из камеры влажного хранения, осматривают и обнаруженные на опорных гранях дефекты в виде наплывов удаляют шильником или шлифовальным кругом, а мелкие раковины заполняют густым цементным тестом. Затем определяют рабочее положение образца при испытании и отмечают краской или мелом грани, которые будут прилегать к опорам. Опорные грани выбирают так, чтобы сжимающая сила при испытании образца была направлена параллельно слоям укладки бетонной смеси в форму. Образцы-кубы измеряют металлической линейкой с точностью до 1 мм, а затем взвешивают на технических весах. Рабочую площадь сечения образца в квадратных сантиметрах определяют как среднее арифметическое обеих опорных граней.
Во время испытания образец устанавливают одной из граней на нижнюю опорную плиту пресса центрально по оси последнего. Затем включают электродвигатель гидравлического привода пресса. Нагружение образцов производят непрерывно со скоростью, обеспечивающей повышение расчетного напряжения в образце до его полного разрушения в пределах (0,6±0,4) МПа/с. При этом время нагружения одного образца должна быть не менее 30 с.
Предел прочности при сжатии бетона Rб, Па (кгс/см2), определяют как отношение разрушающей силы Р, Н (кгс), к первоначальной площади поперечного сечения образца S, м2 (см2), и вычисляют по формуле

.
(16)Предел прочности при сжатии бетона в серии образцов определяют как среднее арифметическое значение в серии:
из двух образцов – по двум образцам;
из трех образцов – по двум наибольшим по прочности образцам;
из четырех образцов – по трем наибольшим по прочности образцам;
из шести образцов – по четырем наибольшим по прочности образцам.
Марку бетона определяют как предел прочности при сжатии бетонного образца-куба с длиной ребра 150 мм. При других значениях длины ребра куба, предел прочности пересчитывают, пользуясь соответственно следующими коэффициентами (прил. 7). Полученные результаты заносят в журнал (прил. 8).
Прочность бетона в партии (МПа) вычисляют по формуле
,
(17)
где Ri– единичное значение прочности бетона, МПа; n – общее число единичных значений прочности бетона в партии.
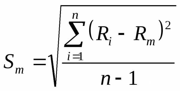
Однородность бетона по прочности характеризуется среднеквадратичным отклонением Sm и коэффициентом вариации Vm для всех видов нормируемой прочности.
При количестве образцов n > 6 среднеквадратичным отклонением Sm находят по формуле
;
(18)
при n = от 2 до 6 – по формуле
,
(19)
где Wm– размах единичных значений прочности бетона в контролируемой партии (МПа), определяемой как разность между максимальным и минимальным единичными значениями прочности; α – коэффициент, зависящий от n и принимаемой по табл.
Таблица
Число единичных значений | n | 2 | 3 | 4 | 5 | 6 |
Значение коэффициента | α | 1.13 | 1.69 | 2.06 | 2.33 |
Коэффициент вариации прочности бетона в партии в процентах вычисляют по формуле:
.
(20)
С целью получения характеристики прочности бетона любого возраста можно воспользоваться приближенной эмпирической формулой
, (21)
где Rn – прочность бетона в возрасте n суток, МПа; R28 – прочность бетона в возрасте 28 суток, МПа; n – число суток твердения бетона.
Данная формула применима для ориентировочного расчета прочности бетона на портландцементах средних марок в возрасте более 3 суток.
Рекомендуемая литература
Воробьев В. А. Строительные материалы : учеб. для инж.-строит. вузов / В. А. Воробьев. – Изд. 5-е, перераб. – М. : Высш. шк., 1973. – 376 с.
Попов Л. Н. Оценка качества строительных материалов : учеб. пособие / Л. Н. Попов, М. Б. Каддо, О. В Кульков. – 2-е изд., перераб. и доп. – М. : Высш. шк., 2004. – 287 с.
Горчаков Г. И. Строительные материалы / Г. И. Горчаков, Ю. М. Баженов. – М. : Стройиздат, 1986. – 688 с.
Комар А. Г. Строительные материалы / А. Г. Комар. – М. : Стройиздат, 1983. – 488 с.
Общий курс строительных материалов / под ред. А. И. Рыбьева. – М. : Высш. шк., 1987. – 504 с.
studfiles.net
Средняя прочность бетона по классам и маркам, ГОСТ
Конечная прочность бетона является самой важной технической характеристикой строительного материала, которая фигурирует во всех проектных расчетах. При этом при расчете той или иной бетонной конструкции используется средняя прочность бетона на сжатие, соответствующая той или ной марке материала и тому или иному классу бетона.
СодержаниеСвернуть

В данной статье рассматривается средняя прочность тяжелого бетона – самого распространенного вида строительного материала применяемого в жилищном и коммерческом строительстве.
Влияние на среднюю прочность бетона на сжатие
Прочность на сжатие измеряемая в МПа или кгс/см2 является определяющей характеристикой для проектирования и строительства фундамента, стен и других конструкций зданий и сооружений.
При этом марка бетона (М100, М200, М300 и пр.) сообщает потребителю о средневзвешенной прочности бетона в возрасте 28 суток, измеренной в кгс/ см2, а класс прочности бетона сообщает о гарантированной прочности бетона на сжатие – В15 (150 кгс/см2), В20 (20 кгс/см2), В25 (250 кгс/см2) и т.п.
Как показывает практика, средняя прочность тяжелого бетона зависит от следующих основных факторов:
- Активность цемента. Для приготовления прочного бетона, следует использовать только, только изготовленный материал.
- Соответствие количества вяжущего принятым пропорциям. Увеличение количества цемента сверх определенной нормы, ведет не только к существенному удорожанию продукта, но и в том числе к ухудшению показателей усадки, жидкотекучести и средней прочности.
- Соотношение: затворитель-цемент. Здесь действует правило: чем меньше соотношение затворитель-цемент, тем выше прочность продукта и наоборот. Технический смысл правила заключается в следующем. Для удобоукладываемости смеси, при приготовлении бетона используется водоцементное соотношение 0,5-0,9 в зависимости от марки материала. Этого достаточно чтобы произошло взаимодействие цемента и других компонентов. Вода, добавленная свыше указанных соотношений, является «паразитной» и, образуя поры в бетоне, значительно снижает его прочность.
- Прочность, чистота и геометрия крупного заполнителя. Прочность бетона на основе гранитного щебня выше, чем прочность бетона на основе гальки или гравийного наполнителя.
- Качество перемешивания компонентов и качество уплотнения. При приготовлении бетона с помощью бетономешалки, вибрационного или турбосмесителя прочность конечного продукта выше на 20-25% чем прочность продукта полученного методом гравитационного смешивания – вручную.
- Условия набора прочности и твердения. При стандартных условиях (температура окружающей среды 18-20 градусов Цельсия, влажность окружающей среды 90-100%)увеличение прочности происходит в течение стандартных 28 суток, и соответствует и соответствует «максимально возможной». Например, средняя прочность бетона в15твердеющего при температуре 5 °С, в 28-суточном (возрасте) соответствует 68% марочной прочности, при температуре 10°С – 80% марочной прочности, при температуре 20-25°С – 110% марочной прочности.
- Повторное принудительное вибрирование залитой конструкции. Производится до начала процесса схватывания с помощью специальной техники. Достигается увеличение средней прочности класса бетона в среднем на 15-20%.

Технология определения средней прочности бетона ГОСТ 18105-2010
Средняя прочность или марка тяжелого бетона определяется на основании лабораторных испытаний на заводе изготовителе. В соответствии с требованиями ГОСТ 18105-2010 из производимого бетона изготавливаются образцы имеющие габариты 150х150х150 мм. Образцы заливаются в металлические формы, выдерживаются в «стандартных» условиях окружающей среды в течение 28 суток.
Далее образцы помещается в рабочие органы лабораторного пресса, и сжимаются до разрушения. Осуществляется контроль величины силы сжатия. Взяв среднее арифметическое среднюю прочность образцов бетона, определяют класс бетона «В» по формуле: B = R (1 — 1,64v), R – это средняя прочность образцов, V – коэффициент вариации прочности равный 13%.
Превышение средней прочности серий контрольных образцов бетона в рамках той или иной марки допускается в пределах 15%. Дальнейшее увеличение данного показателя ведет к неоправданному увеличению расхода бетона. В соответствии с требованиями СНИП 3.03.01-87 «НЕСУЩИЕ И ОГРАЖДАЮЩИЕ КОНСТРУКЦИИ», нижняя граница средней прочности бетона должна соответствовать 70-80% от проектной марочной прочности материала.
Определение средней прочности бетона по маркам
Провести лабораторные испытания в полевых условиях или при малоэтажной застройке практически невозможно и экономически нецелесообразно. Существует приблизительный метод определения средней прочности с помощью молотка весом 500-600 граммов и слесарного зубила.
Технология проста и заключается в визуальной оценке повреждения материала полученного в результате удара зубила и молотка средней силы:
- После удара средней силы на поверхности бетона осталась едва видимая отметина – бетон соответствует марке М300-М350(средняя прочность 294-360 кгс/см2).
- После удара образовалась хорошо видимая отметина – марка бетона М200 (196 кгс/см2).
- Острие зубила проникло в тело конструкции на глубину до 0,5 мм. Можно утверждать что перед вами бетон марки М150(163 кгс/см2).
- Острие зубила прошло в тело материала больше чем на 10 мм – бетон марки М75-М100 (65-98 кгс/см2).
Значение средней прочности бетона определяет действительную нагрузку, которую в течение длительного времени может выдержать та или иная бетонная конструкция. Поэтому для достижения максимальной величины средней прочности, при самостоятельном приготовлении, следует четко соблюдать «Факторы, влияющие на среднюю прочность бетона на сжатие» указанные выше, либо приобретать строительный материал на бетонных заводах.
cementim.ru
| На главную | База 1 | База 2 | База 3 |
| Поиск по реквизитамПоиск по номеру документаПоиск по названию документаПоиск по тексту документа |
| Искать все виды документовДокументы неопределённого видаISOАвиационные правилаАльбомАпелляционное определениеАТКАТК-РЭАТПЭАТРВИВМРВМУВНВНиРВНКРВНМДВНПВНПБВНТМ/МЧМ СССРВНТПВНТП/МПСВНЭВОМВПНРМВППБВРДВРДСВременное положениеВременное руководствоВременные методические рекомендацииВременные нормативыВременные рекомендацииВременные указанияВременный порядокВрТЕРВрТЕРрВрТЭСНВрТЭСНрВСНВСН АСВСН ВКВСН-АПКВСПВСТПВТУВТУ МММПВТУ НКММПВУП СНЭВУППВУТПВыпускГКИНПГКИНП (ОНТА)ГНГОСТГОСТ CEN/TRГОСТ CISPRГОСТ ENГОСТ EN ISOГОСТ EN/TSГОСТ IECГОСТ IEC/PASГОСТ IEC/TRГОСТ IEC/TSГОСТ ISOГОСТ ISO GuideГОСТ ISO/DISГОСТ ISO/HL7ГОСТ ISO/IECГОСТ ISO/IEC GuideГОСТ ISO/TRГОСТ ISO/TSГОСТ OIML RГОСТ ЕНГОСТ ИСОГОСТ ИСО/МЭКГОСТ ИСО/ТОГОСТ ИСО/ТСГОСТ МЭКГОСТ РГОСТ Р ЕНГОСТ Р ЕН ИСОГОСТ Р ИСОГОСТ Р ИСО/HL7ГОСТ Р ИСО/АСТМГОСТ Р ИСО/МЭКГОСТ Р ИСО/МЭК МФСГОСТ Р ИСО/МЭК ТОГОСТ Р ИСО/ТОГОСТ Р ИСО/ТСГОСТ Р ИСО/ТУГОСТ Р МЭКГОСТ Р МЭК/ТОГОСТ Р МЭК/ТСГОСТ ЭД1ГСНГСНрГСССДГЭСНГЭСНмГЭСНмрГЭСНмтГЭСНпГЭСНПиТЕРГЭСНПиТЕРрГЭСНрГЭСНсДИДиОРДирективное письмоДоговорДополнение к ВСНДополнение к РНиПДСЕКЕНВиРЕНВиР-ПЕНиРЕСДЗемЕТКСЖНМЗаключениеЗаконЗаконопроектЗональный типовой проектИИБТВИДИКИМИНИнструктивное письмоИнструкцияИнструкция НСАМИнформационно-методическое письмоИнформационно-технический сборникИнформационное письмоИнформацияИОТИРИСОИСО/TRИТНИТОсИТПИТСИЭСНИЭСНиЕР Республика КарелияККарта трудового процессаКарта-нарядКаталогКаталог-справочникККТКОКодексКОТКПОКСИКТКТПММ-МВИМВИМВНМВРМГСНМДМДКМДСМеждународные стандартыМетодикаМетодика НСАММетодические рекомендацииМетодические рекомендации к СПМетодические указанияМетодический документМетодическое пособиеМетодическое руководствоМИМИ БГЕИМИ УЯВИМИГКМММНМОДНМонтажные чертежиМос МУМосМРМосСанПинМППБМРМРДСМРОМРРМРТУМСанПиНМСНМСПМТМУМУ ОТ РММУКМЭКННАС ГАНБ ЖТНВННГЭАНДНДПНиТУНКНормыНормы времениНПНПБНПРМНРНРБНСПНТПНТП АПКНТП ЭППНТПДНТПСНТСНЦКРНЦСОДМОДНОЕРЖОЕРЖкрОЕРЖмОЕРЖмрОЕРЖпОЕРЖрОКОМТРМОНОНДОНКОНТПОПВОПКП АЭСОПНРМСОРДОСГиСППиНОСНОСН-АПКОСПОССПЖОССЦЖОСТОСТ 1ОСТ 2ОСТ 34ОСТ 4ОСТ 5ОСТ ВКСОСТ КЗ СНКОСТ НКЗагОСТ НКЛесОСТ НКМОСТ НКММПОСТ НКППОСТ НКПП и НКВТОСТ НКСМОСТ НКТПОСТ5ОСТНОСЭМЖОТРОТТПП ССФЖТПБПБПРВПБЭ НППБЯПВ НППВКМПВСРПГВУПереченьПиН АЭПисьмоПМГПНАЭПНД ФПНД Ф СБПНД Ф ТПНСТПОПоложениеПорядокПособиеПособие в развитие СНиППособие к ВНТППособие к ВСНПособие к МГСНПособие к МРПособие к РДПособие к РТМПособие к СНПособие к СНиППособие к СППособие к СТОПособие по применению СППостановлениеПОТ РПОЭСНрППБППБ-АСППБ-СППБВППБОППРПРПР РСКПР СМНПравилаПрактическое пособие к СППРБ АСПрейскурантПриказПротоколПСРр Калининградской областиПТБПТЭПУГПУЭПЦСНПЭУРР ГазпромР НОПРИЗР НОСТРОЙР НОСТРОЙ/НОПР РСКР СМНР-НП СРО ССКРазъяснениеРаспоряжениеРАФРБРГРДРД БГЕИРД БТРД ГМРД НИИКраностроенияРД РОСЭКРД РСКРД РТМРД СМАРД СМНРД ЭОРД-АПКРДИРДМРДМУРДПРДСРДТПРегламентРекомендацииРекомендацияРешениеРешение коллегииРКРМРМГРМДРМКРНДРНиПРПРРТОП ТЭРС ГАРСНРСТ РСФСРРСТ РСФСР ЭД1РТРТМРТПРУРуководствоРУЭСТОП ГАРЭГА РФРЭСНрСАСанитарные нормыСанитарные правилаСанПиНСборникСборник НТД к СНиПСборники ПВРСборники РСН МОСборники РСН ПНРСборники РСН ССРСборники ценСБЦПСДАСДАЭСДОССерияСЗКСНСН-РФСНиПСНиРСНККСНОРСНПСОСоглашениеСПСП АССП АЭССправочникСправочное пособие к ВСНСправочное пособие к СНиПСправочное пособие к СПСправочное пособие к ТЕРСправочное пособие к ТЕРрСРПССНССЦСТ ССФЖТСТ СЭВСТ ЦКБАСТ-НП СРОСТАСТКСТМСТНСТН ЦЭСТОСТО 030 НОСТРОЙСТО АСЧМСТО БДПСТО ВНИИСТСТО ГазпромСТО Газпром РДСТО ГГИСТО ГУ ГГИСТО ДД ХМАОСТО ДОКТОР БЕТОНСТО МАДИСТО МВИСТО МИСТО НААГСТО НАКССТО НКССТО НОПСТО НОСТРОЙСТО НОСТРОЙ/НОПСТО РЖДСТО РосГеоСТО РОСТЕХЭКСПЕРТИЗАСТО САСТО СМКСТО ФЦССТО ЦКТИСТО-ГК «Трансстрой»СТО-НСОПБСТПСТП ВНИИГСТП НИИЭССтП РМПСУПСССУРСУСНСЦНПРТВТЕТелеграммаТелетайпограммаТематическая подборкаТЕРТЕР Алтайский крайТЕР Белгородская областьТЕР Калининградской областиТЕР Карачаево-Черкесская РеспубликаТЕР Краснодарского краяТЕР Мурманская областьТЕР Новосибирской областиТЕР Орловской областиТЕР Республика ДагестанТЕР Республика КарелияТЕР Ростовской областиТЕР Самарской областиТЕР Смоленской обл.ТЕР Ямало-Ненецкий автономный округТЕР Ярославской областиТЕРмТЕРм Алтайский крайТЕРм Белгородская областьТЕРм Воронежской областиТЕРм Калининградской областиТЕРм Карачаево-Черкесская РеспубликаТЕРм Мурманская областьТЕРм Республика ДагестанТЕРм Республика КарелияТЕРм Ямало-Ненецкий автономный округТЕРмрТЕРмр Алтайский крайТЕРмр Белгородская областьТЕРмр Карачаево-Черкесская РеспубликаТЕРмр Краснодарского краяТЕРмр Республика ДагестанТЕРмр Республика КарелияТЕРмр Ямало-Ненецкий автономный округТЕРпТЕРп Алтайский крайТЕРп Белгородская областьТЕРп Калининградской областиТЕРп Карачаево-Черкесская РеспубликаТЕРп Краснодарского краяТЕРп Республика КарелияТЕРп Ямало-Ненецкий автономный округТЕРп Ярославской областиТЕРрТЕРр Алтайский крайТЕРр Белгородская областьТЕРр Калининградской областиТЕРр Карачаево-Черкесская РеспубликаТЕРр Краснодарского краяТЕРр Новосибирской областиТЕРр Омской областиТЕРр Орловской областиТЕРр Республика ДагестанТЕРр Республика КарелияТЕРр Ростовской областиТЕРр Рязанской областиТЕРр Самарской областиТЕРр Смоленской областиТЕРр Удмуртской РеспубликиТЕРр Ульяновской областиТЕРр Ямало-Ненецкий автономный округТЕРррТЕРрр Ямало-Ненецкий автономный округТЕРс Ямало-Ненецкий автономный округТЕРтр Ямало-Ненецкий автономный округТехнический каталогТехнический регламентТехнический регламент Таможенного союзаТехнический циркулярТехнологическая инструкцияТехнологическая картаТехнологические картыТехнологический регламентТИТИ РТИ РОТиповая инструкцияТиповая технологическая инструкцияТиповое положениеТиповой проектТиповые конструкцииТиповые материалы для проектированияТиповые проектные решенияТКТКБЯТМД Санкт-ПетербургТНПБТОИТОИ-РДТПТПРТРТР АВОКТР ЕАЭСТР ТСТРДТСНТСН МУТСН ПМСТСН РКТСН ЭКТСН ЭОТСНэ и ТЕРэТССЦТССЦ Алтайский крайТССЦ Белгородская областьТССЦ Воронежской областиТССЦ Карачаево-Черкесская РеспубликаТССЦ Ямало-Ненецкий автономный округТССЦпгТССЦпг Белгородская областьТСЦТСЦ Белгородская областьТСЦ Краснодарского краяТСЦ Орловской областиТСЦ Республика ДагестанТСЦ Республика КарелияТСЦ Ростовской областиТСЦ Ульяновской областиТСЦмТСЦО Ямало-Ненецкий автономный округТСЦп Калининградской областиТСЦПГ Ямало-Ненецкий автономный округТСЦэ Калининградской областиТСЭМТСЭМ Алтайский крайТСЭМ Белгородская областьТСЭМ Карачаево-Черкесская РеспубликаТСЭМ Ямало-Ненецкий автономный округТТТТКТТПТУТУ-газТУКТЭСНиЕР Воронежской областиТЭСНиЕРм Воронежской областиТЭСНиЕРрТЭСНиТЕРэУУ-СТУказУказаниеУказанияУКНУНУОУРврУРкрУРррУРСНУСНУТП БГЕИФАПФедеральный законФедеральный стандарт оценкиФЕРФЕРмФЕРмрФЕРпФЕРрФормаФорма ИГАСНФРФСНФССЦФССЦпгФСЭМФТС ЖТЦВЦенникЦИРВЦиркулярЦПИШифрЭксплуатационный циркулярЭРД |
| Показать все найденныеПоказать действующиеПоказать частично действующиеПоказать не действующиеПоказать проектыПоказать документы с неизвестным статусом |
| Упорядочить по номеру документаУпорядочить по дате введения |
files.stroyinf.ru
Класс бетона
Каменные джунгли простираются на все большие площади. И это неудивительно, ведь города растут. Если бы все дальше продолжали строить только из дерева, то уже давно были бы уничтожены все леса. Бетон является уникальным и очень практичным материалом, который можно формировать по собственному желанию в пределах его физических характеристик. Планируя собственное сооружение, важно позаботиться о хорошем фундаменте, а для этого требуется понимать класс бетона по прочности на сжатие. Готовое строение оказывает значительное давление, особенно если имеет несколько этажей. Эта статья поможет разобраться с обозначениями и классификацией видов бетона.

Почему выбирают бетон
До настоящего момента еще не был изобретен более практичный и доступный строительный материал. Ведь бетон большей частью имеет натуральные составляющие. Его плюсами являются:
- малая степень усадки;
- быстрое застывание;
- доступность бетона практически в любой местности;
- простота изготовления бетонной смеси;
- переносимость минусовых температур;
- продолжительный срок службы бетонного изделия;
- хорошая текучесть при укладке.
Недостатки могут вылезти при неправильной компоновке или несоблюдении пропорций.
Что такое класс
Основным компонентом бетона является цемент, но если вы пробовали использовать только цемент, то знаете, что после застывания он трескается и рассыпается. Поэтому требуются определенные добавки. От их качества и количества будет зависеть конечный результат. Например, в некоторых местностях вода имеет большую или меньшую жесткость. В первом случае для ее смягчения перед добавлением в бетон понадобятся химические добавки. На прочность бетона, а значит и готового изделия влияют условия его созревания. То есть температура окружающей среды, влажность, воздействие прямых лучей солнца и так далее. Поэтому различные продукты, которые выполнены из бетона могут иметь схожую или одинаковую маркировку, но отличаться по фактической прочности.

Выводом из вышесказанного является определение класса бетона. Если говорить просто, то это предел прочности, после достижения которого происходит разрушение. Класс бетона имеет определенные пределы для качества и количества каждого входящего в его состав компонента. Для простоты ведения расчетов предусмотрены специальные таблицы.
Что такое марка
Оказывается, класс и марка бетона это нетождественные понятия. Каждое из них отображает конкретные свойства бетона. Если класс говорит о количественном составе дополнительных компонентов, то марка сигнализирует о массовой доли цемента в бетонной смеси. Чем выше марка бетона, тем больше внимания во время использования он требует. Дело в том, что застывает он в более короткие сроки, чем с меньшей маркой. Если предстоит заливать большие площади, тогда действовать следует достаточно быстро или использовать специальные средства, которые продлевают срок застывания. Проверить конкретную марку экспериментальным путем можно в оборудованных лабораториях, где есть прессы с указанием оказываемого давления. Образец укладывается и подвергается воздействию до момента разрушения.

Возможно, когда вы прочитали о марке бетона, то на ум пришла цифра «200». Она действительно часто встречается тем, кто бывал в строительных магазинах. Обычно ее можно увидеть на упаковках с цементом. Какая марка потребуется для вашего сооружения? Именно 200, она подходит для решения различного рода задач: возведения стен, организации фундамента или строительства лестничных пролетов. Эта цифра в отношении бетонной смеси будет изменяться в зависимости от предполагаемых задач.
Например, для проведения ремонтных или укладочных дорожных работ из плит используется маркировка М-150 и М-100. Последняя также применяется для фундаментов. В неспецифическом строительстве применяется бетон с маркой М-350. Он отлично держит нагрузку, поэтому его применяют для фундаментов монолитной заливки. Некоторые марки бетона перестают использоваться и уходят с рынка, т. к. технологии продолжают развиваться. Например, это относится к бетонным смесям с обозначением М-300 и М-250. Все бетонные смеси, которые используются для строительства высокотехнологичных сооружений и сооружений, которые подразумевают большую нагрузочную устойчивость имеют маркировку с большими цифрами.

О чем говорят буквы
Имея некоторое представление об основных понятиях, стоит также разобраться, о чем говорят буквы, указанные в маркировке. Например, на бетонной смеси можно увидеть обозначение B-40 или бетон класса B-25. Буква указывает на класс прочности, а цифра говорит о том, какое давление сможет выдержать данный состав после полного застывания и выстаивания. Он измеряется в МПа или Мегапаскалях и находится в пределах от 3,5 до 80 единиц. Выше приводились обозначения марок бетонной смеси, например, М-200. Она является показателем того, какая массовая доля от общего объема принадлежит цементу. Она также указывает на прочность но для нее применяются другой способ измерения давления — килограмм на см2.
Обратите внимание! Эти понятия не являются тождественными, иначе не было бы смысла вводить два вида обозначения, что просто бы путало. Обозначение после буквы «М» говорит о содержании цемента, а после буквы «В» указывает на фактическую прочность в 95% случаев при нормальной эксплуатации.
Определение прочности
Выше говорилось о том, каким образом определяется прочность бетона. Но что конкретно может влиять на конечный показатель прочности бетона? Есть несколько основных факторов:
- количество жидкости;
- массовая доля цемента;
- качество и природа наполнителей;
- степень усадки;
- выдержанность.
Вода может оказывать как положительное влияние на прочность бетона, так и отрицательное. Без нее невозможно в должной степени перемешать все компоненты. Но при ее избытке образуется большое количество полостей. В них содержится воздух, а значит пространство. Оно снижает устойчивость бетона воздействию на сдавливание, что уменьшает его прочность. При меньшем ее количестве бетонная смесь быстрее набирает требуемые показатели, но сложнее в укладке.

Цемента также должно быть в меру. Хорошим его показателем является 0,6 тонны в одном м3 готового бетона. Если его будет меньше, то прочность также будет меньше. Если с ним переборщить, то другие показатели бетонной смеси пострадают. Это, например, процент усадки, а также неустойчивость самого раствора. В качестве наполнителя для бетона применяется щебень и другие компоненты. Они должны быть высокого качества и достаточно крупной фракции. Если щебень будет из кальциевых пород, то может сильно пылить и отрицательно скажется на прочности бетона. Чаще используют гранитный наполнитель, который более устойчив.
Качество перемешивания также влияет на конечный результат. Например, бетон класса B-25 требует постоянного перемешивания, т. к. крупные компоненты опустятся на дно, а вода поднимется на поверхность. Через коротки промежуток произойдет усадка и порция будет испорчена. Поэтому готовую смесь доставляют в больших миксерах, которые не останавливают свое вращение.

Если все, что было перечислено выше соблюсти в погоду с минусовой температурой, то никакого толка от этого не будет. Дело в том, что бетонная смесь не набирает требуемую прочность при отрицательных температурах. Этого можно добиться специальными химическими веществами или присадками, но себестоимость возрастает в разы. Идеальной считается температур в пределах 20º. При большей происходит быстрое испарение влаги и возможно растрескивание с потерей прочности. В период набора прочности важно поддерживать максимальную влажность. Для этого поверхности непрерывно смачиваются и покрываются гидроизолирующим материалом, например, рубероидом или пленкой.

Обратите внимание! При всех этих фактора требуется принимать во внимание также коэффициент погрешности или вариации. Ему присвоено значение в 13,5%.
Прочность по наполнителям
В зависимости от наполнителя бетонной смеси введена дополнительная градация, которая позволяет быстрее определить сферу применения. В подраздел наиболее легких входят всевозможные вариации бетона с большим количеством пор. Еще его называют пенобетон. Он имеет небольшой вес и хорошие теплоизоляционные свойства, но выдерживает небольшой вес. Чаще всего применяется в бытовом строительстве. Тот вид бетона, где применяется природная пемза или другой шлаковый наполнитель называется легким. Тяжелым считается тот, в который входит привычный щебень, гранитная крошка и другие фракции. Если требуется особая прочность, например, для военных бункеров, тогда для бетонной смеси в качестве наполнителя применяют барит и различные виды руд, например, железную.
Дополнительные обозначения
Кроме прочности, бетон также должен иметь определенный показатель по поглощению влаги. Как материал бетон является гигроскопическим, а значит отлично поглощает воду. Но в некоторых случаях это не очень хорошо, поэтому было введено дополнительное обозначение, для которого применяется буква «W». Чем больше после нее цифра, тем меньше влаги способно впитать в себя готовое изделие из бетонной смеси. Такой бетон имеет высокую плотность и больший вес.
Еще один момент, на который стоит обращать внимание и который имеет свое обозначение — морозостойкость. Для этого необходимо смотреть на букву «F». Число после нее может находиться в пределах от 50 до 1000. Суть этой характеристики отражает количество раз, которое может замерзнуть и оттаять бетон, пропитанный влагой. Именно это количество раз и показывает цифра. Если будет превышен допустимый порог, тогда бетон теряет свою прочность и начинает растрескиваться и разрушаться.
Обратите внимание! Самым большим процентом поглощения влаги и минимальной морозостойкостью обладает пенобетон. Именно поэтому при строительстве домов из такого вида бетона обязательно предусматривается гидроизоляция стен путем монтажа паропроницаемой пленки, а также внешней отделкой.
Вывод
Имея представление о видах бетона по прочности, теперь легче будет сориентироваться при заказе готовой продукции во время строительства. Также проще будет самостоятельно изготовить бетон в требуемых пропорциях. Для закладки фундамента понадобится бетон класса B-15, к этому классу также приравнивается бетон марки М-200, который по водостойкости имеет индекс W-2, а по морозоустойчивости F-100. Если требуются более специфические решения, то классы бетона можно подсмотреть в таблице, которая будет приведена ниже.

bouw.ru
Прочность бетона на сжатие: характеристики марки и класса
Застывший бетон имеет специфический состав, разнообразные компоненты которого относят его к конгломератным материалам. Данное свойство свидетельствует об особенности раствора, а именно его качестве. Надежность бетонной конструкции определяется его совместимостью с другими материалами. В зависимости от этого, существуют различные классы и марки бетонного раствора, применение которых характерно определенному виду строительства. Предлагаем детально ознакомиться с каждым классом и маркой бетона по его прочности на осевое растяжение и сжатие.

Суть и общая характеристика класса бетона
В узком понимании в классах бетонной смеси определяется нагрузка, которую может выдержать одна единица площади поверхности при отсутствии повреждений. Единицы измерения устанавливали на протяжении многих лет. На сегодняшний момент показатели класса определяются в МПа.
Способ определения крепости раствора одинаков как для его класса, так и для марки. При испытаниях используются в специальных лабораториях, путем экспериментов с образцами материалов. С помощью специальных приспособлений производится работа по установлению максимального усилия на образец, при котором начинается его разрушение. Исходя из полученных данных, усилие приравнивается к давлению.
Для достижения правильных результатов необходимо учитывать соотношение вектора нагрузки и оси образца. С этой целью нижние стороны поверхности пресса и бетона помечаются осями, которые должны совпадать. Согласно ГОСТам, выделяют 18 видовых классов бетонного раствора, зависимо от прочности на сжатие. Например, бетон В35. Данное обозначение означает его прочность при давлении 35 МПа.
Вернуться к оглавлениюМарка бетона – суть и общая характеристика
В случае если класс изделия, как показатель прочности не учитывается, используется стандарт надежности при помощи марки раствора. Суть данного определения состоит в отображении определенного свойства материала. Как и в предыдущем случае, это свойство определяется с помощью испытаний над образцами. Различают два общих значения определения марки:
- минимальное: применяется для определения прочности, стойкости к влаге и низким температурам;
- максимальное: используется для обозначения плотности.
Однако следует запомнить, что с помощью марки невозможно определить колебания крепости на всей бетонной поверхности.
Вернуться к оглавлениюСоответствие марки бетона классу
Определенный класс бетона по прочности на сжатие имеет свою соответствующую марку. На практике была составлена таблица этого соотношения. Например, согласно таблице, марке М50 соответствует класс В3,5.
Коэффициент перевода класса бетона в соответствующую марку – 13,1.
Чаще всего при строительстве для определения прочности применяется термин «класс». В отличии от марок в этом параметре вычислена гарантированная крепость материала.
Вернуться к оглавлениюВыбор бетона
Строительство определенной бетонной конструкции требует четко установленной крепости бетонного раствора. Среди них выделяют:
- подбетонное покрытие — В7,5;
- фундамент: в помещениях с низкой влажностью – от В15; в помещениях с высокой влажностью – от В22,5;
- стены, а также другие конструкции на улице – учитывается морозостойкость: для районов со стабильно теплой температурой воздуха — F150; для районов с температурой воздуха ниже -40С — F200;
- внутренние поверхности – от В15;
- железобетонные конструкции – от В15 (предварительно напряженные) – от В20.
Все вышеперечисленные правила установлены строительными стандартами. Однако они могут отличаться в зависимости от технических расчетов. Так, одно здание может быть построено на бетоне разной прочности – материалы на нижних этажах должны быть значительно выше от материалов верхних этажей.
Одним из быстрых и удобных способов определения прочности бетона является испытание путем сжатия склерометром или молотком Шмидта. Принцип его работы заключается в ударе бойка по бетону и его отскоке. Вследствие этого специальный указатель перемещается на определенную высоту, которая соответствует установленной марке бетона.
Несмотря на простоту в использовании, данное приспособление не пользуется популярностью, поскольку не может дать точных значений. Это возникает от влияния на испытание других факторов, таких как характер поверхности образца, его толщина, структура и уплотнение.
Вернуться к оглавлениюЗаключение
Показатели марки и класса бетонных материалов – это самые важные показатели их сопротивления сжатию и осевой растяжке. В отличии от качеств относительно стойкости к низким температурам, влаге, именно они учитываются в первую очередь при покупке материалов.
Следует запомнить, что прочность – это не стабильная величина. В процессе твердения бетон становится крепче. Все эти правила следует обязательно учитывать при строительстве.
kladembeton.ru
Марки бетона по прочности — класс сжатие и набор прочности бетона
Во время приобретения бетонной смеси специалисты обращают внимание на ее марку или класс. Именно эти критерии являются основными показателями качества бетона. Если говорить о других критериях бетонной смеси: морозостойкость, водонепроницаемость, подвижность, то они являются второстепенными. Прочность бетона представляет собой достаточно изменчивый параметр, так как зависит от времени твердения материла. Если бетонная смесь будет затвердевать трое суток, то получим одну прочность, а если неделю – то совсем другую (в этом случае при одинаковой температуре окружающей среды прочность достигнет 70% от проектной).
Стоит отметить, что прочность бетона достигает проектной за 28 дней твердения. Вообще, чем дольше бетон твердеет, тем выше его прочность. Этот параметр регулярно увеличивается. Бетон твердеет годами. Самые популярные марки бетона по прочности: м 100, м 150, м 200, м 250, м 300, м 350, м 400, м 450, м 500. Все возможные марки бетона варьируются от м 50 до м 1000. Наиболее распространенными в использовании являются марки от м 100 до м 500. На маркировку бетона влияет его процентное соотношение в составе раствора. Наиболее популярными классами бетона являются: В 7.5, В 10, В 12.5, В 15, В 20, В 22.5, В 25, В 30, В 35, В 40. Весь диапазон классов бетона варьируется от В 7.5 до В 40.
Марки бетона по прочности и классу
| Класс бетона | Rb , кгс/кв.см | Rb ,МПа | Ближайшая марка бетона |
| В3,5 | 46 | 4,6 | М50 |
| В5 | 65 | 6,5 | М75 |
| В7,5 | 98 | 9,8 | М100 |
| В10 | 131 | 13,1 | М150 |
| В12,5 | 164 | 16,4 | М150 |
| В15 | 196 | 19,6 | М200 |
| В20 | 262 | 26,2 | М250 |
| В25 | 327 | 32,7 | М350 |
| В30 | 393 | 39,3 | М400 |
| В35 | 458 | 45,8 | М450 |
| В40 | 524 | 52,4 | М550 |
| В45 | 589 | 58,9 | М600 |
| В50 | 655 | 65,5 | М600 |
| В55 | 720 | 72 | М700 |
| В60 | 786 | 78,6 | М800 |
В зависимости от проекта строительства определяются необходимые класс и марка бетонной смеси. Если предварительного проекта нет, то в таком случае можно довериться мнению специалистов. Бывает такое, что строители не всегда разбираются в данном вопросе. В таком случае можно самостоятельно определить подходящий бетон.
Значения марки материала (м 50, м 100 и т.д) соответствуют среднему значению предельной прочности бетона на сжатие (кгс/см2). Для того чтоб проверить соответствие бетона заданным критериям проводят эксперимент: берут выдержанный проектный бетон и с помощью специально пресса сжимают отлитые пробные кубики из этой бетонной смеси.
Сейчас в строительстве в большинстве случаев используют такой показатель бетонной смеси, как ее класс. В общей сложности этот параметр аналогичен марке бетона, но имеет свои отличительные особенности. При определении марки материала используют среднее значение прочности, а при определении класса – берут этот критерий с гарантированной обеспеченностью. Вообще это не столь важно для обычного человека, поэтому не будем вдаваться в подробности. Главное знать, что во всей проектной документации указывается класс бетона. Согласно СТ СЭВ 1406 сегодня все требования к бетону указывают в классах. Правда не все соблюдают этот требование, поэтому большинство строительных организаций использует в своей деятельности марку бетона.
В первую очередь важно получить именно ту марку бетона, которая нужна именно для данного проекта. Есть возможность проверить заказ, но сразу сделать это не получиться. Для этого необходимо при разгрузке отлить парочку пробных форм размером 15х15х15 см. Для отлива можно использовать обычные доски. Перед заливкой смеси в форму, ящик следует обдать влагой, так как сухое дерево забирает влагу из бетона. Этот процесс оказывает негативное влияние на гидратацию цемента. Когда смесь залили в ящик, ее необходимо потыкать куском арматуры. Этот процесс напоминает толчение картофеля. Такая процедура необходима для того, чтоб исключить образование раковин и попадание воздуха. Для уплотнения смеси следует ударить молотком по бокам формы. Отлитые пробные формы следует хранить при температуре 200С и влажности воздуха 90%.
После того, как бетонная смесь в формах твердела 28 дней, ее можно отвезти в лабораторию для проведения эксперимента. Его результаты покажут или соответствует марка бетона на упаковке реальным его свойствам. Стоит отметить, что при твердении бетона существуют и промежуточные даты, по которым можно определить марку бетонной смеси (3,7 и 14 дней).
На какие моменты следует обратить внимание при формировании и хранении пробных форм:
• не нужно разбавлять бетонную смесь в автобетоносмесителе;
• пробы следует брать прямо с лотка бетоносмесителя;
• необходимо тщательно штыковать форму;
• хранить формы желательно в подвале или тени.
Это собственно вся информация о пробных кубиках. Если у Вас нет взятых проб, то специалисты экспериментальных лабораторий могут непосредственно на месте определить марку бетона. С этой целью используется прибор, который называется склерометр. Он работает на основе ударного импульса. Можно использовать и ультразвуковые методы определения прочности бетонной смеси.
Набор прочности бетонной смесью
Набор прочности бетона прямо пропорционален взаимодействию воды и цемента. В научной терминологии этот процесс носит название гидратации цемента. Он прекращается в том случае, если молодой бетон теряет жидкость. Замерзание и высыхание молодого бетона приводит к значительному ухудшению его прочностных характеристик. Молодым называют бетон, которому всего несколько недель. Стоит отметить, что если бетон стоит в нормальных условиях, хотя б неделю, то он уже набирает около 70% проектной прочности. Для того чтоб твердение бетона проходило хорошо, необходимо бороться с потерей влаги. Это приводит к остановке набора прочности бетонной смесью. Молодому бетону, как и ребенку, необходим уход и питание. Только для бетонной смеси нужна не молочная каша, а вода. Правильный уход за процессом гидратации будет способствовать долголетнему служению бетона в процессе эксплуатации.
При солнечной погоде свежеуложенный бетон рекомендуется накрыть мешковиной или пленкой ПВХ.
Если бетон только недавно уложили (1-5 дней), то его можно поливать водой. От этого хуже все равно не будет. При температуре ниже нуля возможно замораживание бетона. Это происходит за счет воды в его составе. Из-за этого процесс гидратации приостанавливается. Стоит отметить, что процесс гидратации может продолжиться весной, когда лед растает. Правда прочностные и морозостойкие свойства такого материала уже будут ниже. Если есть необходимость укладки бетона в зимний период, то лучше детально изучить особенности бетонирования в холодное время года. Существуют отдельные методики раннего замораживания бетона. В нее специально внедряют противоморозные добавки и укладывают при температурах до -300С. В этом виде бетон замерзает и ждет потепления. Именно тогда и начинается процесс гидратации.
Противоморозные добавки в этом случае выполняют функцию своеобразного стабилизатора. Это означает, что если бетон заливают при фактической температуре – 250С, а добавки предназначены с учетом температуры – 100С. За счет добавок повышение температуры до отметки – 50С – +50С не приведет к реакции замороженного бетона. Такие колебания температур характерны для начала весны, но бетонная смесь отлично переносит подобные скачки. Единственным моментом, на который следует обратить внимание, это запрет на использование таких конструкций в период колебаний температур. У бетона, как и у всех материалов, есть критическая прочность. Это показатель, после преодоления которого, на эксплуатационные характеристики бетона уже ничто не влияет. Это значение для разных марок бетона – разное. Низкие марки бетона имеют высокий показатель критической прочности, а высокие – наоборот. При нормальных условиях окружающей среды критическая прочность бетонной смеси достигается за сутки. Это значит, что начальный жизненный цикл бетона очень важен для дальнейшей его эксплуатации.
С таким явлением, как заморозка бетона необходимо бороться. Существуют разнообразные способы борьбы с замораживанием бетона:
Применение противоморозных добавок
Их еще называют ПМД. Их наличие не только не дает воде в бетонной смеси мерзнуть, но и способствует ускорению процесса твердения. Еще не так давно в качестве добавок использовали разнообразные соли, которые со временем разъедали арматуру. Сегодня разработали более щадящие смеси и препараты.
Системы электрического подогрева бетона
Разработаны специальные трансформаторы и электроды для подогрева бетонной смеси. Их использование идеально подходит для заливки бетона в зимний период. Но эти системы очень дорогие и практически недоступны частным застройщикам. Возникают проблемы с доставкой, арендой и монтированием подобных установок. Кроме того, такой трансформатор будет потреблять не один десяток КВт в час, что сразу же отбрасывает идею электрообогрева бетона. Ведь в загородных поселках нет таких подстанций, которые могли бы питать подобную систему;
Если средняя температура на улице не опускается ниже -20С, то бетон можно накрыть обычной пленкой ПВХ. Такой подход не всегда помогает, но если других вариантов нет, то попробовать можно. Но здесь бывает такое, что во время укладки температура одна, а потом резко холодает и пленка уже не спасет. Стоит знать, что гидратация проходит с выделением тепла, которое необходимо беречь. В таком случае можно применить дизельную или газовую пушку для того, чтоб закачивать теплый воздух под пленку. Не стоит забывать о том, насколько важны первые жизненные дни бетона.
Применение различных марок бетона
Бетон М-100 (В 7.5)
Главное назначение этой марки бетона состоит в подготовительных работах перед началом заливки цельных плит и фундаментов. В этом случае идет речь о бетонной подготовке. На подушку из песка укладывают тонкий слой бетонной смеси марки м 100 (В 7.5). После того, как бетон засыхает, проводят работы с арматурой.
Бетон М-150 (В 12.5)
Эту марку бетона также используют в подготовительных работах перед заливкой цельных плит и фундаментов. Кроме того, его используют для изготовления полов фундаментов, стяжек, бетонировании дорожек.
Бетон М-200 (В 15)
Эта марка чаще всего используется при изготовлении стяжек полов, отмосток, фундаментов, дорожек. Бетон М-200 (В 15) – один из самых востребованных в строительстве. У этой марки прочность дает возможность решать многие строительные задачи: изготовление плит и свайных фундаментов, лент, бетонных лестниц, площадок, дорожек, подпорных лестниц. Заводы, которые специализируются на изготовлении ЖБИ и ЖБК используют эту марку бетона для производства фундаментных блоков и дорожных плит.
Бетон М-250 (В 20)
Из этой марки бетона изготавливают монолитные фундаменты (плитные, ленточные, свайно-ростверковые), площадки, бетонные отмостки, дорожки, заборы, подпорные стены, лестницы, малонагруженные плиты.
Бетон М-300 (В 22.5)
Из этой марки бетона изготавливают монолитные фундаменты (плитные, ленточные, свайно-ростверковые), площадки, бетонные отмостки, дорожки, заборы, подпорные стены, лестницы.
Бетон М-350 (В 25)
Главное предназначение этой марки бетона заключается в изготовлении монолитных фундаментов, свайно-ростверковых ЖБК, ригелей, плит перекрытий, балок, колонн, чаш бассейнов, монолитных стен и других конструкций повышенной ответственности. Эту марку бетона чаще других используют при изготовлении ЖБИ. Из бетона М-350 (В 25) делают аэродромные плиты ПАГ, которые предназначены для эксплуатации при экстремальных нагрузках. Из этой марки бетона также делают многопустотные плиты для перекрытий.
Бетон М-400 (В 30)
Из этой марки бетона чаще всего изготавливают несущие конструкции для мостов, банковские хранилища, гидротехнические сооружения, специализированные ЖБИ и ЖБК, ригелей, колонны, балки, чаши для бассейнов и конструкции со специальными требованиями. Эту марку бетона используют очень редко. Использование бетона М-400 (В 30) строго регламентировано. Это связано с тем, что дальнейшая эксплуатация конструкций из него имеет повышенное значение.
Бетон М-450 (В 35)
Из этой марки бетона чаще всего изготавливают несущие конструкции для мостов, банковские хранилища, гидротехнические сооружения, специализированные ЖБИ и ЖБК, ригелей, колонны, балки, чаши для бассейнов, конструкции метрополитена, дамбы, плотины и другие ответственные конструкции.
Бетон М-500 (В 40)
Эту марку бетона чаще всего применяют при изготовлении несущих конструкций для мостов, банковских хранилищ, гидротехнических сооружений, специализированных ЖБИ и ЖБК, ригелей, колонн, балок, чаш бассейнов, конструкций метрополитена, дамб, плотин и других ответственных конструкций. Если посмотреть на все сертификаты и техническую документацию, то он будет обозначен, как м 550. Но по неизвестным причинам за этой маркой укрепилось простонародное название м 500.
Загрузка…remontidei.ru
Прочность, марка и класс бетонаТяжелый бетон — основной конструкционный строительный материал, поэтому оценке его прочностных свойств уделяется большое внимание. Прочностные характеристики бетона определяют строго в соответствии с требованиями стандартов. Используется несколько показателей, характеризующих прочность бетона. Неоднородность бетона как материала учитывается в его основной прочностной характеристике — классе бетона. Прочность. Как и у всех каменных материалов, предел прочности бетона при сжатии значительно (в 10… 15 раз) выше, чем при растяжении и изгибе. Поэтому в строительных конструкциях бетон, как правило, работает на сжатие. Когда говорят о прочности бетона, подразумевают его прочность на сжатие, так называемую «кубико-вую» прочность. В остальных случаях оговаривается вид прочности. Бетон на портландцементе набирает прочность постепенно. При нормальной температуре и постоянном сохранении влажности рост прочности бетона продолжается длительное время, но скорость набора прочности со временем затухает. Прочность бетона принято оценивать по среднему арифметическому значению результатов испытания образцов данного бетона через 28 сут нормального твердения. Для этого используют образ-ЦЫ-кубы размером 150 х 150 х 150 мм, изготовленные из рабочей бетонной смеси и твердевшие при (20 ± 2) С на воздухе при относительной влажности 95% (или в иных условиях, обеспечивающих сохранение влаги в бетоне). Методы определения прочности бетона регламентированы стандартом. Марка бетона. По среднему арифметическому значению прочности бетона устанавливают его марку — округленное значение прочности (причем округление идет всегда в нижнюю сторону). Для тяжелого бетона установлены следующие марки по прочности на сжатие: 50, 75, 100, 150, 200, 250, 300, 350, 400, 450, 500, 550, 600, 700 и 800 кгс/см . При обозначении марки используют индекс «М»; так, например, марка бетона М350 означает, что его средняя прочность не менее 35 МПа (но не более 40). Отличительная особенность бетона — значительная неоднородность его свойств. Это объясняется изменчивостью в качестве сырья (песка, крупного заполнителя и даже цемента), нарушением режима приготовления бетонной смеси, ее транспортировки, укладки (степени уплотнения) и условиями твердения. Все это приводит к разбросу значений прочности бетона одной и той же марки. Чем выше культура производства (лучше качество подготовки материалов, приготовления и укладки бетона и т. п.), тем меньше будут возможные колебания прочности бетона. Для строителя важно получить бетон не только с заданной средней прочностью, но и с минимальными отклонениями (особенно в низшую сторону) от этой прочности. Показателем, который учитывает возможные колебания качества бетона, является класс бетона. Класс бетона — это численная характеристика какого-либо его свойства (в том числе и прочности), принимаемая с гарантированной обеспеченностью (обычно 0,95). Это значит, что установленное классом свойство, в данном случае прочность бетона, достигается не менее чем в 95 случаях из 100. Понятие «класс бетона» позволяет назначать прочность бетона с учетом ее фактической или возможной вариации. Чем меньше изменчивость прочности, тем выше класс бетона при одной и той же средней прочности. ГОСТ 26633—85 устанавливает следующие классы тяжелого бетона по прочности на сжатие (МПа): 3,5; 5; 7,5; 10; 12,5; 15; 20; 25; 30; 32,5; 40; 45; 50; 55 и 60. Класс по прочности на сжатие обозначают латинской буквой В, справа от которой приписывают его гарантированную прочность в МПа. Так, у бетона класса В15 предел прочности при сжатии не ниже 15 МПа с гарантированной обеспеченностью 0,95. Соотношение между классами и марками бетона неоднозначно и зависит от однородности бетона, оцениваемой с помощью коэффициента вариации. Чем меньше коэффициент вариации, тем однороднее бетон. Класс бетона одной и той же марки заметно увеличивается при снижении коэффициента вариации. Так, при марке бетона М300 и коэффициенте вариации 18 % класс бетона будет В15, а при коэффициенте вариации 5 % — В20, т. е. на целую ступени выше. Это показывает, как важно тщательное выполнение всех технологических операций и повышение культуры производства. Только в этом случае достигается высокая однородность бетона и более высокий класс его прочности при неизменном расходе цемента. Для определения класса бетона (В) по известной средней кубико-вой прочности (R) и коэффициенту вариации v используют формулу B = R (1 — l,64v). Строительными нормами принят нормативный коэффициент вариации прочности бетона, равный 13,5% и характеризующий технологию бетонных работ как удовлетворительную. Читать далее: |
stroy-server.ru
