Сортамент арматуры таблица гост – Таблица веса арматуры. Сортамент
Арматура А3 (ГОСТ 5781-82) — таблица весов, сортамента
Арматура класса А3 (А400) – вид сортового проката, изготавливаемый способом горячей прокатки в соответствии с ГОСТом 5781-82. Поверхность этой продукции имеет продольные и поперечные выступы, расположенные по винтовой линии. Такая форма обеспечивает эффективное сцепление стальных стержней с твердеющей бетонной смесью. По требованию заказчика пруты этого класса могут иметь гладкую поверхность.
Технические характеристики и области применения арматуры А3
Продукция изготавливается из низколегированной стали марок 35ГС, 25Г2С, 32Г2Рпс. Благодаря повышенному содержанию марганца, материал устойчив к низким температурам. Этот вид проката способен выдерживать высокие эксплуатационные статические и динамические нагрузки. Для повышения длительности рабочего периода арматуры обычно применяют цинкование или алюмоцинкование горячим, электрохимическим или термодиффузионным способами.
Основные физические характеристики:
- предел текучести – 390 Н/мм2;
- временное сопротивление разрыву – 590 Н/мм2;
- относительное удлинение – не менее 14%.
Термомеханически упрочненная арматура с аналогичным сопротивлением разрыву – 550-600 Н/мм2 – изготавливается в соответствии с ГОСТом 10884-94.
Эксплуатационные свойства продукции:
- прочность;
- возможность придания требуемой формы;
- хорошая свариваемость (без ограничений) изделий, изготовленных из сталей с низким содержанием углерода, высокая прочность сварных соединений.
Благодаря техническим характеристикам, арматурные стержни класса А3 применяются:
- в монолитном строительстве и производстве ЖБИ для изготовления плоских и пространственных арматурных каркасов;
- для создания металлоконструкций различного назначения;
- для армирования стяжек пола, дорожек, отмосток;
- для усиления дорожных покрытий;
- для изготовления решеток, ограждений, сеток;
Сортамент арматуры А3
Продукция выпускается в диапазоне диаметров 6-40 мм. В номере профиля стержней периодического профиля указан номинальный диаметр, который равен диаметру гладких прутов, равновеликих по площади сечения. Прокат с диаметром поперечного сечения до 10 мм может выпускаться в мотках или прутами, более – только прутами. Бухты формируют таким образом, чтобы не возникало перегибов. Длина отрезков – 6-12 мм. Стержни не должны быть искривлены более чем на 0,6% от общей длины.
Расчет массы партии арматурных стержней можно осуществить с помощью таблицы, в которой представлены теоретические массы 1 погонного метра. Они рассчитаны по средней плотности стали, которая принимается равной 7,85 кг/м3. При умножении массы погонного метра изделия соответствующего диаметра на общий метраж получаем вес партии.
| Диаметр, м | Площадь поперечного сечения, см2 | Масса 1 м, кг | Диаметр, м | Площадь поперечного сечения, см2 | Масса 1 м, кг |
| 6 | 0,283 | 0,222 | 20 | 3,14 | 2,47 |
| 8 | 0,503 | 0,395 | 22 | 3,8 | 2,98 |
| 10 | 0,785 | 0,617 | 25 | 4,91 | 3,85 |
| 12 | 1,131 | 0,888 | 28 | 6,16 | 4,83 |
| 14 | 1,54 | 1,21 | 32 | 8,04 | 6,31 |
| 16 | 2,01 | 1,58 | 36 | 10,18 | 7,99 |
| 18 | 2,54 | 2,0 | 40 | 12,57 | 9,87 |
treydmetall.ru
Сортамент арматуры таблица, классификация, технические параметры и вес
Технологии монолитного строительства, устройства фундамента, изготовления ЖБИ подразумевают упрочнение конструкций. Классификация материала каркаса по различным признакам позволяет оптимизировать выбор при проектировании, разработке чертежей, технологии производства. Сортамент – ряд изделий одного наименования, отсортированных по размерам, маркам материала, весу и форме. Параметры нормируются ГОСТ – стандартизация на государственном уровне.
Оглавление:
- Виды проката
- Маркировка и расшифровка
- Размерные характеристики
- Форма выпуска и сортамент
Классификация и разновидности
ГОСТ 34028-2016 объединил ранее существовавшие нормативные стандарты, определяющие систематизацию характеристик арматуры. Допускается применение №5781-82, Р 52544-2006, 10884-94 для разработки рабочей документации.
Класс – значение предела текучести металла, возникающее под воздействием нагрузки без образования необратимых деформаций структуры. Единица измерения: 1 Па = Н/мм2.
По области применения:
- Монолитное строительство, сборные ж/б системы (ненапрягаемые) – А240, А400 ~ А600 .
- Предварительно напряженные конструкции – А1000, А800, Ап600.
Форма профиля гладкая (А240) или рельефная (улучшение сцепления с бетоном):
1. Конфигурация 1ф – замкнутый круг или овал в сечении.
2. 2ф – двойное серповидное сечение.
3. 3ф – тройное равномерное серповидное сечение.

4. 4ф – четырехстороннее сегментное сечение.

Способы производства:
- Горячий прокат с регулировкой охлаждения (№1) и без контроля завершающего процесса (№2).
- Нанесение рельефа на поверхность гладкого горячекатаного проката в процессе холодной обработки (№3).
- Обработка давлением (холодная) профилированного горячекатаного проката (№4).
- Нарезка на прутья после упрочнения (№5).
Материал:
- Сплавы стали легированные, нелегированные.
- Композиционные материалы – стеклянные, базальтовые волокна, связанные полимером.

Маркировка арматуры
Идентификация продукции обеспечивается нанесением на поверхность штампа, указания в сопровождающей документации.
Пример расшифровки А500С:
1. Буквы в начале аббревиатуры:
- А – арматура.
- Ап – для напряженных конструкций.
2. Число после литеры – класс, предел текучести.
3. Буквы после цифры – дополнительная информация:
- «С» – арматура применима для сварки.
- Пластичность повышенная – литера «Н». Высокая, сейсмостойкая – «Е».
- «К» – наличие антикоррозионного покрытия.
- «Р» – сопротивление растягивающим напряжениям.
- «У» – противостояние повторяющимся циклическим нагрузкам.
Соответствие продукции требованиям ГОСТов определяет стандартные условия поставки покупателю. Отклонения уточняются заказчиком на этапе подписания юридических документов.

Основные размеры
Геометрия изделия определяется рядом параметров:
- Номинальные диаметр (dн), площадь (Fн).
- Высота ребер (h), шаг (t), – расстояние между соседними ребрами.
- Углы наклона поперечного ребра (β), его боковой поверхности (α).
- Овальность – перепад между максимальным и минимальным диаметрами.
Соответствие геометрических размеров в таблице сечений арматуры:
| Параметр | Ед. изм | dн, мм | Конфигурация | ||
| 1ф | 2ф | 3-4ф | |||
| H | мм | 4 ~ 22 | ≤0.05dн | ≤0,07dн | ≤0.05dн |
| t | 4 ~ 10 | (0,55 ~ 1)dн | (0,55 ~ 1)dн | ||
| 10 ~ 22 | (0,5 ~ 1)dн | ||||
| >22 | (0.45 ~ 1)dн | ||||
| β | град. | 4-40 | 35 ~ 90 | 35 ~ 75 | |
| α | ≤ 45 | ||||

Цены на продукцию при оформлении договора поставки оптом указываются за тонну. Определение массы партии проводят по таблице веса арматуры (сокращенный вариант):
| Dн, мм | Площадь сечения (Fн), мм2 | Масса 1 метра, г |
| 4 | 12.60 | 99 |
| 5 | 19.60 | 154 |
| 6 | 28.30 | 222 |
| 7 | 38.50 | 302 |
| 8 | 50.30 | 395 |
| 9 | 63.60 | 499 |
| 10 | 78.50 | 617 |
| 11 | 95.00 | 746 |
| 12 | 113.10 | 888 |
| 13 | 132.70 | 1042 |
| 14 | 153.90 | 1208 |
| 15 | 176,70 | 1387 |
| 16 | 201.10 | 1587 |
| 17 | 227.00 | 1782 |
| 18 | 254.50 | 1998 |
| 19 | 283.50 | 2226 |
| 20 | 314.20 | 2466 |
| 22 | 380.10 | 2984 |
Определение масса 1 погонного метра различного сортамента основано на плотности стали 7.85 г/см3.

Форма выпуска
Предприятия, производящие арматуру, поставляют продукцию в форме бухт или прутка. Зависит от диаметра и конфигурации. Длина выпускается:
- Мерной – МД (6, 9, 11, 11.7, 11.9, 12, 18 метров).
- Немерной – НД (2 ~ 18 м).
- Первый и второй вариант одновременно – МД. Процент арматуры нестандартной длины ≤ 3%.
Таблица соответствия формы и сортамента классам:
| А240 | А300 | А400 | А500с | А600 | Ап600 | А800 | А1000 | |
| Моток | + | + | + | + | + | + | – | |
| Пруток | + | + | + | + | + | + | + | + |
Требования к арматуре, поставляемой в мотках:
- Dн ≤ 22 мм.
- Отсутствие спутывания витков. Свободная размотка.
- Смотка из одного отрезка. Бухты, полученные из двух кусков, на партию не должны составлять более 10%.
- Масса одного мотка: 500-5000 кг, согласовывается с заказчиком.
Сортамент указывают при выполнении проектов, расчетах массы, веса конструкции и составлении расходной сметы.
cemgid.ru
Сортамент арматуры по ГОСТ 5781-82. Площадь арматуры, таблица арматуры, вес погонного метра арматуры.
Те, кто занимается расчетом железобетонных конструкций знает, что сортамент арматуры всегда должен быть под рукой.
И как практика показывает, всю справочную информацию как-то не очень удобно носить с собой, проще зайти в интернет и ввести поисковый запрос «Сортамент арматуры таблица» и посмотреть нужные значения.
Я так постоянно и делаю, и поэтому решил добавить себе на сайт http://spacecad.ru сортамент арматуры, надеюсь тем самым помогу многим с поиском.
Сортамент арматуры таблица скачать
сортамент арматуры таблица
Поделиться ссылкой:
Понравилось это:
Нравится Загрузка…
Похожее
spacecad.ru
Сортамент арматуры: таблица по ГОСТ 5781-82
Как и при различном производстве для изготовления арматуры есть свои стандарты. Составленный ГОСТ включает единогласные нормативы различных характеристик. Они включают диаметр, вес, сечение стержня. Данные характеристики образуют комплексный термин – сортамент арматуры. Другими словами сортамент это состав продукта по размеру, профилям и другие характерные признаки.

Арматура для строительства
Арматура для строительства по ГОСТ5781-82. Изделия отличаются по внешнему виду, а именно гладкой и рифленой поверхностям. По этой причине их маркировки будут отличаться. Помимо этого маркировка так же отражает физические свойства изделия, материал изготовления и устойчивость к химическим воздействиям. К примеру, «т» говорит о том, что для изготовления материала использовали термическую упрочненную сталь, «к» — изделие имеет повышенную устойчивость к коррозии, «с» — арматура сваривается, «в» — прочная благодаря вытяжки. Поэтому для того, чтобы отличить типы арматуры можно посмотреть фото.

Изготавливают следующие виды арматуры:
- Способ производства:
- Изготавливают стержневую арматуру. Стальной прут, его диаметр больше 6 мм. Применяют при создании сооружений из железобетона.

- Проволочную. Легко изгибающая проволока. В ее состав входит низкоуглеродистая или углеродистая сталь. Применяют при скреплении стержней вместе.
- Канатную. Состоит из переплетения металлических прядей.

- Особенности монтажа:
- Сеточный вид арматуры (вязанные, каркасные).Изгибающая проволока. Применяется для соединения несущих элементов железобетонного каркаса.
- Сварной. Сваривают стержни, в результате должна получиться сплошная пространственная сетка.
- Сечение стержня (об этом подробнее ниже).
- Расположение в конструкции.
- Предназначение:
- «А2» (А300) — Рабочие арматуры, имеет рифленную поверхность. Можно отнести к силовому элетенту, несущий основные нагрузки. Области для использования: малоэтажные строительства, ремонты, монолитное сооружение.
- Распределительные арматуры. Распределяется нагрузка максимально и равномерно по общей площади конструкции.Защищает от перемещений и прогибов стержней.
- Конструктивные. Их цель недопустить усадку материалов в результате перепад температуры.
- «А1» (А240)- Монтажные. Применяют для железобетонных конструкций. Является распределительным и связующим элементом. Имеет гладкую поверхность.Формирует каркас и фиксирует рабочие прутки.
- Анкерные. Является усиливающим элементом, их монтируют на конец детали.
- «А3» (А400, А500)- горячекатаный прут имеет периодичную поверхность. Данный продукт наиболее востребован, потому что изготавливается в различном диаметре и его применяют для железобетонного каркаса, во время возведения жилого, коммерческого и промышленного строения. Так же им обустраивают дорожные и тротуарные полотна.
- Сортамент арматуры «А500с». Большой плюс данной арматуры в том, что на ней отсутствует хрупкие разрушения сварного соединения, которые выполнены в ручную ( при помощи дуговой сварки).
Материал для строительства (масса приблизительно 2-40 кг). Рассчитать массу изделия не так уж и сложно.Существует несколько способов.Необходимо знание погонного метража,удельного веса (например,8 или 6 мм).

Варианты для рассчета веса арматуры
Первый вариант: данный способ очень действенный и простой. Для расчета понадобиться онлайн-калькулятор металлопроката. Чтобы произвести расчеты необходимо знания о диаметре металлического прута (в нашем случае — это 8 мм), длине прута в погонном метре. Стоит написать значения в соответствующую колонку в программе. После этого сразу узнаем результаты.
Второй вариант: данный способ это расчет по таблице. Данным расчетом пользуются если нельзя рассчитать через онлайн-калькулятор, но при этом знаем маркировку изделия. Узнать вес можно если использовать первый и второй столбец в таблице. Первый столбец содержит маркировку диаметра интересующей арматуры. Второй и третий столбец показывает вес в погонном метре. Таблица арматуры сортамента ГОСТ 5781-82.
Третий вариант:данный способ расчета более трудоемкий, использовать только тогда, когда нет возможности использовать два других способа. Первым делом нужно написать объемные массы изделий. После этого расчет производят по следующей схеме:

Сечение арматуры
Нужно знание о поперечном сечении и посчитать (необходимо узнать S-круга).Она рассчитывается по формуле: Площадь круга находится формулой: ПxR2, где R2 это радиус круга; П-3,14. Для прутов имеющих диаметр 14 мм расчет будет следующим:
R=14:2:1000=0,007 м.
S=3,14×0,007×0,007=0,0001;
Далее определяем V прута. Нужно знание о длине изделия в метрах (к примеру, 14м). V=14×0,0001=0,014;
После полученный результат умножаем на объемный вес изделия 0,014*7856= 109 кг.
Масса прута очень важна для строительства, следовательно, правильные расчеты помогут сделать надежный фундамент, который сможет прослужить долго и сможет выдерживать большую нагрузку.
Таблица арматуры сортамента ГОСТ 5781-82:
Производят арматуру путем горячего проката. После того как материал попадает на завод его выгружают, тщательно сортируют и помещают на оплавление в жидкое состояние. Далее ее разливают в изложницу. После того как стальные слитки застынут их нагревают. Продукт после этой процедуры помещается в холодильную камеру для остывания, производиться контроль на качество, обрезание и подготовка к транспортировке. Выпускается арматура в виде стержней или мотками.

metall.trubygid.ru
Гост арматура горячекатаная сортамент
Настоящий стандарт распространяется на горячекатаную круглую арматурную сталь гладкого и периодического профиля, предназначенную для армирования обычных и предварительно напряженных железобетонных конструкций.
В части норм химического состава низколегированных сталей стандарт распространяется также на слитки, блюмсы и заготовки.
Арматурная сталь периодического профиля
Стержни арматуры строительной с равномерно расположенными на их поверхности под углом к продольной оси стержня поперечными выступами (рифлением) для улучшения сцепления с бетоном.
Арматурная сталь гладкая
Круглые стержни с гладкой поверхностью, не имеющей рифления для улучшения сцепления с бетоном.
Класс прочности
Установленное стандартом нормируемое значение физического или условного предела текучести стали.
Угол наклона поперечных выступов
Угол между поперечными выступами (рифлением) и продольной осью стержня.
Шаг поперечных выступов
Расстояние между центрами двух последовательных поперечных выступов, измеренное параллельно продольной оси стержня.
Высота поперечных выступов
Расстояние от наивысшей точки поперечного выступа до поверхности сердцевины стержня периодического профиля, измеренное под прямым углом к продольной оси стержня.
Номинальный диаметр арматурной стали периодического профиля (номер профиля)
Диаметр равновеликого по площади поперечного сечения круглого гладкого стержня.
Номинальная площадь поперечного сечения
Площадь поперечного сечения, эквивалентная площади поперечного сечения круглого гладкого стержня того же номинального диаметра.
ГОСТ 10884-81
Термомеханические и термически упрочненные стальные стержни периодического профиля диаметром 6-40 мм (арматура строительная), предназначены для строительства ответственных железобетонных конструкций.
По этому стандарту строительная арматура в зависимости от механических свойств подразделяются на классы: Ах-III, Ат-IV, Ат-V, Ат-VI, Ат-VII, Ат-VIII.
Арматуру по этому стандарту изготовляют из стали следующих марок:
ГОСТ 5781-82
В зависимости от механических свойств арматуру подразделяют на классы A-I (A240), A-II (A300), A-III (A400), A-IV (A600), A-V (A800), A-VI (A1000).
Арматуру строительную изготавливают в стержнях или мотках. Арматура строительная класса A-I (A240) изготавливается гладкой, классов A-II (A300), A-III (A400), A-IV (A600), A-V (A800), A-VI (A1000) — периодического профиля. По требованию потребителя арматура классов A-II (A300), A-III (A400), A-IV (A600), A-V (A800) — изготавливается гладкой.
Строительная арматура периодического профиля представляет собой круглые профили с двумя продольными ребрами и поперечными выступами, идущими по трехзаходной винтовой линии. Для профилей диаметром 6 мм допускаются выступы, идущие по однозаходной винтовой линии, диаметром 8 мм — по двухзаходной винтовой линии.
Строительная арматура класса A-II (А300), изготовленная в обычном исполнении, и специального назначения Ас-II (Ас300), должна иметь выступы, идущие по винтовым линиям с одинаковым заходом на обеих сторонах профиля.
Строительная арматура класса A-III (A400) и классов A-IV (А600), A-V (A800), А-VI (А1000) должна иметь выступы по винтовым линиям, имеющим с одной стороны профиля правый, а с другой — левый заходы.
Относительные смещения винтовых выступов по сторонам профиля, разделяемых продольными ребрами, не нормируют.
Поделись ссылкой — это лучший мотиватор для насВконтакте
Одноклассники
Строительная арматура классов A-I (A240) и A-II (А300) диаметром до 12 мм и класса A-III (A400) диаметром до 10 мм включительно изготовляют в мотках или стержнях, больших диаметров — в стержнях. Арматура строительная классов А-IV (А600), A-V(A800) и A-VI (A1000) в
vsjaarmatura.ru
Сортамент арматуры таблица гост 52544 2006
Вы, наверно, уже успели заметить, что практически все компании, которые торгуют арматурой, выставляют цену за тонну. Делается это в большей степени потому, что она приобретается на заводе именно в тоннаже. А что делать вам, если для армирования, например, фундамента и перекрытия вашего дома необходимо 90 метров арматуры 12-го диаметра. Помочь в этом могут специальные таблицы, которые показывают вес 1 погонного метра в зависимости от ГОСТа и ее диаметра.
Разберем пример. Вам требуются те же 90м арматуры d12 по ГОСТ Р 52544-2006. Итак, из таблицы видно, что вес 1п.м. d12 равен 0,888кг. Значит, вес 90м арматуры будет: 90х0,888кг = 79,92кг. Но он, скорее всего, будет больше, так как вам продадут пруты одинаковой длины и не будут, например, последний укорачивать на 5м.
Таблица весов арматуры по ГОСТ Р 52544-2006.

Таблица весов арматуры по ГОСТ 5781-82.
Арматура А500С
Посмотреть прайс — арматура строительная
Является классом прочности по СТО АСЧМ 7-93 и по ГОСТ Р 52544 2006 и применяется для армирования железобетонных конструкций. Периодический профиль класса А500С имеет не менее двух рядов поперечных рёбер, которые имеют серповидную форму, и не соединяются с продольными рёбрами. Это горячекатаный прокат без последующей обработки или термически обработанный в потоке прокатки.
Прокат периодического профиля из арматурной стали СТО АСЧМ 7-93
Данный стандарт распространяется на стержни периодического профиля, предназначенные для армирования железобетонных конструкций и стержни ненапрягаемой арматуры предварительно напряжённых ЖБ конструкций. Стержни арматурной стали по СТО АСЧМ 7-93 могут быть:
— горячекатаные без последующей обработки
— термомеханически упрочнённые в потоке прокатки
— механически упрочнённые в холодном состоянии
Арматура, в зависимости от механических свойств, изготавливается классов прочности: А400С, А500С, А600С.
Поделись ссылкой — это лучший мотиватор для насВконтакте
Одноклассники
Таблица арматуры. Сортамент арматуры по СТО АСЧМ 7-93,
номинальные диаметры профилей, площади поперечного сечения.
Арматура 12 вес 1метра. вес арматуры а500С
Номер профиля, номинальный диаметр арматуры. dн
Арматура А500С ГОСТ Р 52544 2006 изготавливается номинальным диаметром:
— до 6 мм — в бухтах
— от 6 до 12 мм — в бухтах или прутках
— от 14 мм и выше — в прутках.
Прутки мерной длины — в пределах от 6 до 12 м, немерной — 6 — 12 м.В партии прутков немерной длины допускается наличие прутков от 3 до 6 м в количестве 7% массы партии.
Номинальные диаметры, сортамент арматуры а500, площади поперечного сечения, массы метра проката приблизительно такие же, как в стандарте СТО АСЧМ 7-93.
Прокат арматурный термомеханически упрочнённый в потоке прокатки ГОСТ Р 52544-2006
Настоящий стандарт распространяется на свариваемый прокат арматурный периодического профиля классов А500С и В500С, который предназначен для армирования железобетонных конструкций. Периодический профиль такого проката должен иметь не менее двух рядов поперечных рёбер, имеющих серпови
vsjaarmatura.ru
Актуальный ГОСТ на арматуру
СодержаниеАрматура – это одна из наиболее затребованных в строительстве категорий проката. Она используется в качестве основания для всех без исключения категорий железобетонных конструкций, для возведения легких гипсокартоновых или других схожих перегородок, а также для улучшения характеристик бетона. Применяют ее также и для строительства легких малых конструкций (к примеру таких, как теплицы).
Стальная арматура
Для правильного использования данных изделий очень важно понимать, какие их типы согласно нормативному стандарту существуют, каким образом проводится их маркировка, а также, для каких целей согласно этой же маркировке они применяются.
Технические особенности арматуры
Под арматурой объединяют достаточно широкую группу изделий, объединяющую прутики с надсечками, а также различными видами профилей.
Для ее производства используют горячекатаную сталь, в которой содержание углерода в обязательном порядке должно быть ниже 0,22%.
Читайте также: арматура для радиаторов отопления, ее виды и особенности.
Согласно действующему ГОСТ 5781 82, для данной цели используются следующие виды стали 35ГС, А500 С, АТ800, а также а 400 и А400С. Согласно тому же стандарту 5781 82, требования к полученным изделиям предусматривают:
- Устойчивость к коррозии всех выпущенных в данном сегменте элементов.
- Повышенную прочность, прежде всего, к механическим нагрузкам.
- Низкий уровень распорности в бетоне.
- Хорошую свариваемость для всех марок стали, в том числе, А500.
- Прочность, а также повышенную жёсткость сцепления с бетоном, поскольку только так можно достичь нужного уровня безопасности конструкции, предусмотренной имеющимся стандартам за 2006 и 2012 год.
Арматура, указываемая в чертежах, в том числе, типа А500 из сталей по ГОСТ 5781 82 дополнительно разделяется на огромное количество элементов.

Таблица веса метра стальной арматуры
По стандарту 2006 и 2012 года в их число входят:
- жёсткие: уголки, швеллеры, двутавры;
- гибкие: сварные, вязанные арматурные сетки, каркасы, стержни гладкого, а также периодического профиля.
Как и другие виды изделий, арматура разделяется на различные классы в соответствии со своими техническими характеристиками. Предлагаем рассмотреть их более подробно.
к меню ↑
Классы материалов согласно стандартам
Действующим ГОСТ 52544 предусмотрено обозначение несколько классов образцов в зависимости от технических характеристики входящих в них элементов.
Читайте также: чем режут и гнут арматуру – подробнее про ножницы для арматуры и гибочные станки.
Сюда относят следующие распространенные виды изделий:
- Арматура А-I (А240) – горячекатаный тип, который обычно выпускается в круглом профиле. Выпускается и в мотках, и прутках. Также вы упускается в образцах диаметром 6-40 мм.
- Арматура А-I (А400). Один из наиболее популярных видов арматуры, выпускаемых из стали марок 35ГС и сталь 25Г2С. Используется именно в конструкциях с большим защитным слоем бетона. Изготавливается обычно путем вытяжки в холодном состоянии. Выпускаются изделия данного типа в диаметрах от 6 мм и до 40 м. обычно имеет рифлёный профиль. Применяется практически во всех отраслях строительства.
- Арматура А-I (А800) – рифлёная арматура, которая также была подвержена уплотнению в процессе обработки.
Также обозначены стандартом и технические требования к менее распространенным классам: А300 и А600.
Кроме того, выпускается в настоящее время образец А500 С (не путать с маркировкой А500), который не имеет аналогов согласно ГОСТ 52544.
data-ad-client=»ca-pub-8514915293567855″
data-ad-slot=»1955705077″>

Классы арматурной стали
Его производят из боле дешевой углеродистой стали. Однако популярностью данный вид пользуется благодаря высоким возможностям сварки, а также невысокой цены.
Как правило, содержит отметку об изготовлении не по действующему стандарту государственному, а по техническим условиям.
к меню ↑
Маркировка материалов согласно ГОСТ 52544 от 2006 года
Действующий стандарт 2006 предусматривает разделение и соответствующую маркировку изделий по типу выпуска. Обозначаются они следующим образом:
- А500 – изделия горячекатаного производства, которые впоследствии дополнительной обработке не поддавались, либо же были упрочнены в процессе прокатки;
- В500 – изделия, штампованные холодным способом.
Также в маркировке изделий любой категории, в том числе, А500, могут иметь место дополнительно такие символы:
- С – обозначение, которое обычно помещено после цифр класса и показывает, что предложенный образец можно варить электросваркой;
- К – обозначение, приводимое непосредственно в маркировке класса. Оно указывает на то, что выбранный вид изделия имеет повышенную прочность к коррозии при дополнительных механических нагрузках.
Выяснить, к какому именно классу относится выбранный вами образец, можно, ознакомившись также с обозначением специальной стали.
Читайте также: о применении пластиковых фиксаторов для соединения арматурных прутьев.
Оно должно содержать диаметр номинальный, класс прочности, к примеру, А500, особые эксплуатационные характеристики (к примеру, обозначение К или С).

Сборка арматурного каркаса для монолитного строительства сооружения
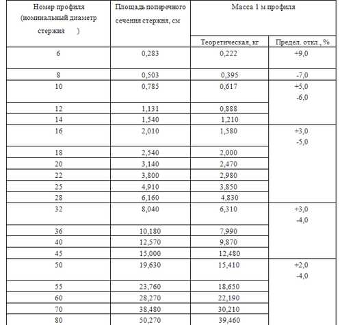
Допустима некоторая погрешность в указании данных параметров, однако она не может быть более +9% или -7% в соответствии с ГОСТ 52544 за 2006 год.
Кроме того, именно в маркировке на каждом конкретном виде изделия должна быть обозначена фирма, выпускающая выбранный вами вид продукции.
ГОСТ 52544 за 2006 год также определяет вес и размеры сечения для образцов всех представленных классов, кроме А500 С. В том случае, если выбранное вами изделие от данного значения отличается, применять его, тем более, для строительных нужд, не рекомендуется, так как полученная конструкция не будет отвечать установленным техническим характеристикам.
Что касается нестандартных, однако допустимых ГОСТ 52544 от 2006 года видов маркировки, то к ним нужно отнести те, которые гравируются на изделиях с использованием утолщенных поперечных полос. Таким образом может быть указан номер предприятия, выпустившего данный вид изделий.
Могут быть использованы также и другие варианты маркировки для образцов именно А500, которые согласовываются с потребителем отдельными производителями данной продукции.
Они, однако, не должны отражаться на качестве выпущенных изделий.
к меню ↑
Маркировка образцов непосредственно по ГОСТ 31938 от 2012 года
Помимо вышеупомянутых видов материалов также существует ряд образцов, выпуск которых регламентирован ГОСТ 31938 уже от 2012 года.
Разновидности профильных насечек арматуры
Этот стандарт объединяет стеклопластиковую (о производстве стеклопластиковой арматуры можно почитать подробнее) и другие виды композитных арматур. В ГОСТ 31938, выпущенном в 2012 году, приведены такие обозначения материалов:
- АСК – стеклокомпозитный тип.
- АУК – углекомпозитный.
- АКК – композитный комбинированный.
- АБК – базальтокомпозитный.
- ААК – арамидокомпозитный.
Читайте также: зачем для сварки полуавтоматом используют флюсовую проволоку?
Данный вид материалов согласно ГОСТ 31938 именно за 2012 также может использоваться в различных видах строительных работ. Но только в том случае, когда он отвечает установленным стандартом характеристикам, в том числе, прописанным в ваших рабочих чертежах.
к меню ↑Производство арматуры на Тульском металлопрокатном заводе (видео)
armaturniy.ru
