Таблица прочность бетона – Марки бетона и их характеристики: таблица, пропорции — bestremoont.ru
Основные методы определения прочности тяжелого бетона на сжатие в сборных и монолитных бетонных и железобетонных конструкциях и изделиях
Основные методы определения прочности тяжелого бетона на сжатие в сборных и монолитных бетонных и железобетонных конструкциях и изделияхРассмотрим некоторые основные методы и приборы определения прочности бетона в конструкциях, которыми пользуются на практике. Определение прочности механическими методами неразрушающего контроля осуществляется согласно ГОСТ 22690-88 «БЕТОНЫ. ОПРЕДЕЛЕНИЕ ПРОЧНОСТИ МЕХАНИЧЕСКИМИ МЕТОДАМИ НЕРАЗРУШАЮЩЕГО КОНТРОЛЯ», определения прочности ультразвуковым методом неразрушающего контроля осуществляется по ГОСТ 17624-87 «БЕТОНЫ. УЛЬТРАЗВУКОВОЙ МЕТОД ОПРЕДЕЛЕНИЯ ПРОЧНОСТИ», определение прочности по бетонным образцам, выбуренным или выпиленным из конструкций, осуществляется по ГОСТ 28570-90 «БЕТОНЫ. МЕТОДЫ ОПРЕДЕЛЕНИЯ ПРОЧНОСТИ ПО ОБРАЗЦАМ, ОТОБРАННЫМ ИЗ КОНСТРУКЦИЙ».
Неразрушающие методы определения прочности на сжатие бетонных конструкций основаны на косвенных характеристиках показаний приборов, основанных на методах упругого отскока, ударного импульса, пластической деформации,отрыва, скалывания ребра и отрыва со скалыванием, скорости прохождения ультразвука. Определение прочности на сжатия по образцам, отобранным из конструкций, подразумевает испытание их на прессе.
Для определения класса и марки бетона в зависимости от прочности сжатия или растяжения, можно использовать табл.6, приложения 1, ГОСТ 26633-91 «БЕТОНЫ ТЯЖЕЛЫЕ И МЕЛКОЗЕРНИСТЫЕ»
СООТНОШЕНИЕ МЕЖДУ КЛАССАМИ БЕТОНА ПО ПРОЧНОСТИ НА СЖАТИЕ И РАСТЯЖЕНИЕ И МАРКАМИ
Таблица 6
Класс бетона по прочности
Средняя прочность бетона ()*, кгс/см2
Ближайшая марка бетона по прочности М
Отклонение ближайшей марки бетона от средней прочности класса, %,
Сжатие
В3,5
45,8
M50
+9,2
В5
65,5
M75
+14,5
В7,5
98,2
M100
+1,8
В10
131,0
M150
+14,5
B12,5
163,7
M150
-8,4
B15
196,5
M200
+1,8
В20
261,9
M250
-4,5
В22,5
294,7
M300
+1,8
В25
327,4
M350
+6,9
В27,5
360,2
M350
-2,8
В30
392,9
M400
+1,8
В35
458,4
M450
-1,8
В40
523,9
М550
+5,0
В45
589,4
M600
+1,8
B50
654,8
M700
+6,9
В55
720,3
M700
-2,8
В60
785,8
M800
+1,8
В65
851,3
M900
+5,7
В70
916,8
M900
-1,8
В75
982,3
М1000
+1,8
В80
1047,7
M1000
-4,6
____________
• Средняя прочность бетона R рассчитана при коэффициенте вариации V, равном 13,5 %, и обеспеченности- 95 % для всех видов бетона, а для массивных гидротехнических конструкций- при коэффициенте вариации V, равном 17 %, и обеспеченности- 90%.
Методы и приборы неразрушающего контроля
Для определения прочности бетона на сжатие данные показаний необходимо преобразовывать с помощью предварительно установленных градуировочных зависимостей между прочностью бетона и косвенной характеристикой прочности (в виде графика, таблицы или формулы), по методикам, указанным в ГОСТ 22690-88 и по прилагаемым графикам градуировочных зависимостей к приборамб, установленным на заводе-изготовителей прибора.
Испытание прочности приборами неразрушающего контроля выполняют, непосредственно, в местах расположения конструкций, однако, также можно выполнять испытание бетона проб из конструкций. Испытание бетона в пробах рекомендуется для определения его прочности в труднодоступных зонах конструкций и в конструкциях, находящихся при отрицательной температуре. Пробу вмоноличивают в раствор, прочность которого на день испытания должна быть не менее половины прочности бетона пробы (для предотвращения разрушения пробы при испытании). Вмоноличивание проб в раствор удобно производить с использованием стандартных форм, для изготовления бетонных контрольных образцов по ГОСТ 10180-90. Расположение проб после распалубки представлено на рис.1.
Рис.1. 1 — проба бетона; 2 — наиболее удобная для испытания сторона пробы 3 — раствор, в котором закреплена проба
Обычно приборы поставляются с графиками градуировочной зависимости или с базовыми настройками для тяжелого бетона средних марок. Для обследования конструкций допускается применять методы упругого отскока, ударного импульса или пластической деформации, используя градуировочную зависимость, установленную для бетона, отличающегося от испытываемого (по составу, возрасту, условиям твердения, влажности), с уточнением ее в соответствии с методикой, приведенной в приложении 9 (ГОСТ 22690-88). Для ультразвуковых приборов требуется градуировка и корректировка согласно ГОСТ 17624, ГОСТ 24332 и методических рекомендаций МДС 62-2.01 ГУП «НИИЖБ» по контролю прочности бетона монолитных конструкций ультразвуковым методом поверхностного прозвучивания.
Согласно ГОСТ 22690-88 п. 4.4. для методов неразрушающего контроля число испытаний на одном участке, расстояние между местами испытаний на участке и от края конструкции, толщина конструкции на участке испытания должны быть не меньше значений, приведенных в табл. 3.
Таблица 3
Наименование метода
Число испытаний на участке
Расстояние между местами испытаний, мм
Расстояние от края конструкции до места испытаний, мм
Толщина конструкции
Упругий отскок
5
30
50
100
Ударный импульс
10
15
50
50
Пластическая деформация
5
30
50
70
Скалывание ребра
2
200
—
170
Отрыв
1
2 диаметра диска
50
50
Отрыв со скалыванием
1
5 глубин вырыва
150
Удвоенная глубина установки анкера
Метод упругого отскока
При испытании методом упругого отскока, расстояние, от мест проведения испытания до арматуры, должно быть, не менее 50 мм.
Испытание проводят в следующей последовательности:
- прибор располагают так, чтобы усилие прикладывалось, перпендикулярно к испытываемой поверхности, в соответствии с инструкцией по эксплуатации прибора;
- положение прибора, при испытании конструкции относительно горизонтали, рекомендуется принимать таким же, как при испытании образцов для установления градуировочной зависимости; при другом положении, необходимо вносить поправку на показания в соответствии с инструкцией по эксплуатации прибора;
- фиксируют значение косвенной характеристики, в соответствии с инструкцией по эксплуатации прибора;
- вычисляют среднее значение косвенной характеристики на участке конструкции.
Определение прочности бетона прибором «Склерометр – ОМШ1»

Склерометр предназначен для определения прочности бетона и раствора методом упругого отскока по ГОСТ 22690-88. Пределы измерений для данного метода- от 5, до 50 МПа (для марок бетона от М50 до М500)
Прибор представляет собой цилиндрический корпус со шкалой, в котором размещены ударный механизм с пружинами и стрелка – индикатор. Испытания проводят путем нажатия приставленного к бетону склерометра и после удара бойка и величине его отскока, зафиксированного стрелкой-индикатором по графику, определяют прочность бетона(раствора). Продолжительность одного испытания- 20 сек.
К склерометру прилагается график, определяющий зависимость между твердостью при ударе и прочностью бетона. График, построен путем выполнения большой серии испытаний на кубиках, причем каждый кубик раздавливался в прессе непосредственно, после испытания склерометром (до ± 32%).

Отрыв со скалыванием
При испытании, методом отрыва, участки должны располагаться в зоне наименьших напряжений, вызываемых эксплуатационной нагрузкой или усилием обжатия, предварительно напряженной арматуры.
Испытания проводят в следующей последовательности:
- если анкерное устройство не было установлено до бетонирования, то в бетоне сверлят или пробивают шпур, размер которого выбирают в соответствии с инструкцией по эксплуатации прибора в зависимости от типа анкерного устройства;
- в шпуре закрепляют анкерное устройство на глубину, предусмотренную инструкцией по эксплуатации прибора, в зависимости от типа анкерного устройства;
- прибор соединяют с анкерным устройством;
- нагрузку увеличивают, со скоростью 1,5 — 3,0 кН/с;
- фиксируют показание силоизмерителя прибора и глубину вырыва с точностью не менее 1 мм.
Если наибольший и наименьший размеры вырванной части бетона от анкерного устройства до границ разрушения по поверхности конструкции отличаются более чем в два раза, а также если глубина вырыва отличается от глубины заделки анкерных устройств более чем на 5 %, то результаты испытаний допускается учитывать только для ориентировочной оценки прочности бетона.
Еслис прибором применяются анкерные устройства в соответствии с приложением 2 ГОСТ 22690-88, то допускается использовать следующую градуировочную зависимость:
ПРИЛОЖЕНИЕ 5
Рекомендуемое
ГРАДУИРОВОЧНАЯ ЗАВИСИМОСТЬ ДЛЯ МЕТОДА ОТРЫВА СО СКАЛЫВАНИЕМ
При использовании анкерных устройств, приведенных в приложении 2, прочность бетона R, МПа можно вычислять по градуировочной зависимости по формуле
(1)
где m1 — коэффициент, учитывающий максимальный размер крупного заполнителя в зоне вырыва и принимаемый равным 1 при крупности менее 50 мм и 1,1 при крупности 50 мм и более;
m2 — коэффициент пропорциональности для перехода от усилия вырыва, кН, к прочности бетона, МПа;
Р — усилие вырыва анкерного устройства, кН.
При испытании тяжелого бетона прочностью 10 МПа и более и керамзитобетона прочностью от 5 до 40 МПа значения коэффициента пропорциональности m2 принимают по табл. 9.
Таблица 9
Условие твердения бетона
Тип анкерного устройства
Предполагаемая прочность бетона, МПа
Глубина заделки анкерного устройства, мм
Значение коэффициента m2 для бетона
тяжелого
легкого
Естественное
I
? 50
48
1,1
1,2
> 50
35
2,4
—
II
? 50
48
0,9
1,0
> 50
30
2,5
—
III
? 50
35
1,5
—
Тепловая обработка
I
? 50
48
1,3
1,2
> 50
35
2,6
—
II
? 50
48
1,1
1,0
> 50
30
2,7
—
III
? 50
35
1,8
—
Прибор для определения прочности бетона «ПИБ»

На испытываемой конструкции выбирают ровный участок размером 0,2×0,2 м и выполняют пробивку отверстия, глубиной 55×10-3 м перпендикулярно испытываемой поверхности. Допускается отклонение оси отверстия от нормали испытываемой поверхности до 1 градуса. Пробивку отверстия выполняют шлямбуром с оправкой или механизированным (электромеханическим) инструментом, обеспечивающим выполнение заданных требований.
В подготовленное отверстие устанавливается анкерное устройство, состоящее из конуса и 3-х сегментов, и накручивают гайку-тягу с усилием, предотвращающим проскальзывание анкерного устройства при испытании.
Опору прибора закручивают до упора в рабочий цилиндр. Винт поршневого насоса выкручивают в крайнее верхнее положение. Присоединяют прибор к гайке-тяге и выкручивают опору 4 до упора в поверхность испытываемого материала.
После проведения подготовительных операций производят вырыв анкерного устройства (тип 1 или 2). Вращают ручку поршневого насоса со скоростью, обеспечивающей приложение нагрузки равной 1,5 … ЗкН/с.
В момент разрушения испытываемого материала визуально устанавливают максимальное давление по манометру. Снятие показаний по манометру следует выполнять с точностью до 2,5 кгс/см2.
При проведении испытаний необходимо следить за тем, чтобы не происходило проскальзывания анкерного устройства. Результаты испытаний не учитываются, если произошло проскальзывание анкерного устройства более 5×10-3 м. Повторное испытание данного отверстия не допускается из-за возможности получения заниженных результатов. После вырыва анкерного устройства необходимо уточнить глубину разрушения бетона, используя для ее определения две линейки, одну из которых устанавливают ребром на поверхность бетона в зоне испытаний, другой — замеряют глубину.
Ультразвуковой метод
Ультразвуковой метод основан на связи между скоростью распространения ультразвуковых колебаний в бетоне и его прочностью. Прочность бетона в конструкциях определяют по экспериментально установленным градуировочным зависимостям «скорость распространения ультразвука — прочность бетона» или «время распространения ультразвука — прочность бетона» в зависимости от способа прозвучивания.
Ультразвуковые измерения в бетоне проводят способами сквозного или поверхностного прозвучивания. Сборные линейные конструкции (балки, ригели, колонны и др.) испытывают, как правило, способом сквозного прозвучивания в поперечном направлении. Изделия, конструктивные особенности которых затрудняют осуществление сквозного прозвучивания, а также плоские конструкции (плоские, ребристые и многопустотные панели перекрытия, стеновые панели и т. д.) испытывают способом поверхностного прозвучивания. При этом база прозвучивания при измерениях на конструкциях должна быть такой же, как на образцах при установлении градуировочной зависимости.
Между бетоном и рабочими поверхностями ультразвуковых преобразователей должен быть обеспечен надежный акустический контакт, для чего применяют вязкие контактные материалы (солидол по ГОСТ 4366, технический вазелин по ГОСТ 5774 и др.).
Градуировочную зависимость «скорость — прочность» устанавливают при испытании конструкций способом сквозного прозвучивания. Градуировочную зависимость «время — прочность» устанавливают при испытании конструкций способом поверхностного прозвучивания.
Допускается при испытании конструкций способом поверхностного прозвучивания использовать градуировочную зависимость «скорость — прочность» с учетом коэффициента перехода, определяемого в соответствии с приложением 3.
Измерение времени распространения ультразвука в бетоне конструкций следует проводить в направлении, перпендикулярном уплотнению бетона. Расстояние от края конструкции до места установки ультразвуковых преобразователей должно быть не менее 30 мм. Измерение времени распространения ультразвука в бетоне конструкций следует проводить в направлении, перпендикулярном направлению рабочей арматуры. Концентрация арматуры вдоль выбранной линии прозвучивания не должна превышать 5 %. Допускается прозвучивание вдоль линии, расположенной параллельно рабочей арматуре, если расстояние от этой линии до арматуры составляет не менее 0,6 длины базы.
Пульсар 1.2.

Рис. 2. Внешний вид прибора
Пульсар-1.2: 1 — вход приемника;
2 — выход излучателя
Прибор состоит из электронного блока (см. рис. 3.2) и ультразвуковых преобразователей — раздельных или объединенных в датчик поверхностного прозвучивания. На лицевой панели электронного блока расположены: 12-ти клавишная клавиатура и графический дисплей. В верхней торцевой части корпуса установлены разъёмы для подключения датчика поверхностного прозвучивания или отдельных УЗ преобразователей для сквозного прозвучивания. На правой торцевой части прибора расположен разъем USB интерфейса. Доступ к аккумуляторам осуществляется через крышку батарейного отсека на нижней стенке корпуса.
Работа прибора основана на измерении времени прохождения ультразвукового импульса в материале изделия от излучателя к приемнику. Скорость ультразвука вычисляется делением расстояния между излучателем и приемником на измеренное время. Для повышения достоверности в каждом измерительном цикле автоматически выполняется 6 измерений и результат формируется путем их статистической обработки с отбраковкой выбросов. Оператор выполняет серию измерений (от 1 до 10 измерений по его выбору), которая также подвергается математической обработке с определением среднего значения, коэффициента вариации, коэффициента неоднородности и с отбраковкой выбросов.
Скорость распространения ультразвуковой волны в материале зависит от его плотности и упругости, от наличия дефектов (трещин и пустот), определяющих прочность и качество. Следовательно, прозвучивая элементы изделий, конструкций и сооружений можно получать информацию о:
- прочности и однородности;
- модуле упругости и плотности;
- наличии дефектов и их локализации.
- форме А-сигнала
Возможны варианты прозвучивания со смазкой и сухим контактом (протекторы, конусные насадки), см. рис. 3.1.

Рис. 3. Варианты прозвучивания
Прибор осуществляет запись и визуализацию принимаемых УЗК, имеет встроенные цифровые и аналоговые фильтры, улучшающие соотношение «сигнал-помеха». Режим осциллографа позволяет просматривать сигналы на дисплее (в задаваемом масштабах времени и усиления), вручную устанавливать курсор в положение контрольной метки первого вступления. Пользователь имеет возможность вручную изменять усиление измерительного тракта и смещать ось времени для просмотра и анализа сигналов первого вступления и огибающей.
Оформление результатов для методов определения прочности неразрушающего контроля
Результаты испытаний прочности бетона заносят в журнал, в котором должно быть указано:
- наименование конструкции, номер партии;
- вид контролируемой прочности и ее требуемое значение;
- вид бетона;
- наименование неразрушающего метода, тип прибора и его заводской номер;
- среднее значение косвенной характеристики прочности и соответствующее значение прочности бетона;
- сведения об использовании поправочных коэффициентов;
- результаты оценки прочности бетона;
- фамилия и подпись лица, проводившего испытание, дата испытания.
Для ультразвукового метода определения прочности нужно воспользоваться формой журнала, установленной в приложениях №8-9, ГОСТ 17624-87 «БЕТОНЫ. УЛЬТРАЗВУКОВОЙ МЕТОД ОПРЕДЕЛЕНИЯ ПРОЧНОСТИ»
sklerometr.ru
Марки бетона, таблица пропорций, характеристики
Что такое бетон и его первостепенные показатели
Бетон — это смесь цемента с водой, песком и щебнем. Эта смесь твердеет после укладки. Помимо песка при приготовлении бетонной смеси используют гравий, гранит и известняк.
Первостепенные показатели бетона – марка и класс – одни из основополагающих характеристик при выборе строительного раствора. Применение различных марок варьируется в зависимости от ряда зашифрованных значений в буквенно-цифровом формате. Готовая смесь обычно заказывается по марке – здесь заложена главная характеристика – прочность будущего монолита.
1. В проектной документации марка указывается заглавной буквой М и показателем предельной прочности бетона в кгс/см2. Существуют марки бетона от М50 до М1000, но применение чаще всего ограничивается М100-М450.
2. Класс бетона, буква В (В 3,5 – В 60). Подразумевает гарантированное значение прочности, то есть нагрузка в мегапаскалях, которую монолит обязан выдержать в 95 % случаев. В эксплуатации чаще всего встречаются классы В 7,5 – 35.
3. Показатели морозостойкости, водонепроницаемости, подвижности, жесткости уступают вышеуказанным, но также имеют важное значение в ряде конкретных случаев.
Разновидности бетона
При строительстве зданий и сооружений могут использоваться следующие марки этого материала:
- суперлегкие;
- легкие;
- тяжелые;
- очень тяжелые.
По типу наполнителя (щебня) бетон можно расделить на 3 вида:
- бетон на гравии;
- граните;
- известняке.
Марка бетона
Этот показатель определяется в лабораториях опытным путем. Для того чтобы узнать, какую марку имеет бетон, отливают куб со сторонами 15 см и сдавливают под прессом с измерителем давления.
Марка бетона обозначается буквой М и цифрой, показывающей, какое давление в кгс на см² может выдерживать материал. Так, к примеру, бетон М200 способен сохранять целостность под нагрузкой в 200 кгс/см².
Характеристики марок бетона будут представлены в таблице ниже.
Класс бетона
Марка бетона по прочности связана напрямую с классом этого материала. Однако последний при этом является значением более точным и конкретным. Ведь на качество готового бетона, помимо наполнителя и марки цемента, может влиять множество других факторов. К примеру, разновидность и чистота наполнителя, затворителя и связующего, а также способы заливки, условия затвердевания и т. д.
При определении класса бетона учитывается его марка, а также поправочные коэффициенты. Рассчитывается он по формуле:
B = R*(0,0980655*(1 – 1,64*V)),
где R – средняя прочность материала (марка),
V – коэффициент вариации.
Мы выяснили, что существует такое понятие, как марки бетона. И их характеристики (таблица соответствия наглядно это покажет), и сфера использования в большинстве случае с классами совпадает. Однако обозначается последний показатель не в кгс/см², а в паскалях. Параметр 0,0980655 в указанной выше формуле – это как раз переходный коэффициент от одной единицы измерения к другой.
Итак, определенная марка бетона по прочности обычно соответствует конкретному ее классу. Однако иногда показатели средней и фактической прочности этого материала различаются довольно-таки значительно. В этом случае марка и класс могут не совпасть. К примеру, бетон марки М200 из-за не слишком высокого качества наполнителя или цемента может обозначаться как В10, а не В15. Цифра в классе материала показывает его способность выдерживать определенные нагрузки в МПа. Так, бетон В25 без вреда для себя переносит давление в 25 МПа.
Соответствие марки и класса
При проведении разного рода строительных работ зачастую нужно знать, какими свойствами отличается тот или иной вид раствора. Рассмотрим, какие имеют качества конкретные марки бетона. И их характеристики (таблица, представленная ниже, наверняка будет полезна многим строителям), и сфера применения, как уже упоминалось, в большинстве случаев соответствуют свойствам определенного класса.
| Класс | Марка | Прочность (кгс/см²) | Применение |
| В5 | М75 | 65 | В качестве штукатурки |
| В7.5 | М100 | 98 | Монтаж бордюрного камня |
| В12.5 | М150 | 131 | |
| В15 | М200 | 196 | Стяжки, дорожки |
| В22.5 | М300 | 294 | Фундаменты |
| В25 | М350 | 327 | Монолитные стены, ЖБИ |
| В30 | М400 | 393 | Мосты, банковские хранилища, взлетно-посадочные полосы, гидроэлектростанции |
Таким образом, мы с вами в общих чертах рассмотрели, что представляют собой марки бетона и их характеристики. Таблица показывает, что сфера применения этого материала зависит в основном именно от его прочности. Далее, давайте поподробнее разберемся с тем, как конкретно используется каждый класс.
Бетон М100 и М150
Материал марки М100 не обладает высокой прочностью. Эта марка обычно используется для оштукатуривания стен, проведения подготовительных работ при заливке дорожного полотна. Для возведения фундамента М100 подходит в качестве подбетонки – ровной площадки, на которую устанавливают арматурный каркас.
Также возможно применение бетона этой марки при монтаже бордюрного камня, не подвергающегося особым нагрузкам, заливке тротуарных дорожек малой проходимости, т.е все то, что не требует высоких прочностных нагрузок.
Бетон марки М150 примерно такой же по прочностным характеристикам, как М100. Материал довольно прочный для возведения конструкций, не подвергающихся высоким нагрузкам, но недостаточно надежный для заливки «серьезных» объектов.
Марка М200
Из бетона класса В15 (М200) обычно изготавливают бетонные полы и стяжки. Также эта марка неплохо подходит для заливки небольших лестниц, дорожек, площадок. Иногда владельцы загородных участков возводят с помощью такого раствора даже фундаменты под дома со стенами из легких материалов. Однако использоваться марка бетона М200 с этой целью может только на устойчивых почвах. При этом грунтовые воды должны залегать достаточно глубоко.
Бетон М300
Марка М300 – популярный вид бетона у владельцев загородных участков.
Раствор этого состава – отличный ответ на вопрос о том, какой марки бетон для фундамента подходит лучше всего. Также из материала этого класса часто отливают подпорные стенки, лестницы и заборы. Неплохо этот вариант подходит и для строительства монолитных стен малоэтажных зданий жилого и хозяйственного назначения.
Бетон М350
Заливка фундамента и монолитных стен – это то, для чего в основном используется данная марка бетона (и класс бетона). Таблица показывает, что материал такой прочности применяется также для изготовления ЖБИ-изделий. Это могут быть балки, плиты перекрытия и т. д. Помимо этого, бетон М300 часто используют для заливки стяжек и пола. Иногда из него изготавливают и самодельные монолитные перекрытия в опалубке.
Бетон М400
Это очень прочный вид материала, используемый в основном при возведении зданий и сооружений особого назначения — стойки и полотна мостов, банковские сейфы, плотины ГЭС, заливка взлетно-посадочных полос аэродромов.
Морозостойкость бетона
Морозостойкость бетона указывается литерой F (25 – 1000), означает количество циклов заморозки и разморозки, во время которых смесь не дает деформации. Исключительно важен этот показатель для фундаментов в сильно влажных почвах, мостовых конструкций, где происходит постоянный контакт с влагой, особенно осенью и весной в период перепадов температур.
Различные производители дополнительно вводят в состав противоморозные добавки для повышения резистентности материала к перепадам температур. Обычно подобная добавка – это гидрофобный (напрягающий) цемент. Важно: злоупотребление подобными средствами повлечет за собой убыток прочности бетона. Для нашей климатической зоны подходит использование бетона с морозостойкостью F 100-200.
Водонепроницаемость
Водонепроницаемость – характеристика бетонной смеси по прочности связи внутри материала. Важность заключается в том, что вода, проникая в микротрещины, при замерзании разрушает его изнутри.
Водонепроницаемость обозначается знаком W от 2 до 20 – это числовой показатель сопротивляемости проникновению влаги в толщу под действием давления. Для достижения необходимых характеристик гидросопротивления используется все тот же гидрофобный цемент либо другие уплотняющие и гидрофобные добавки.
Стоит отметить, что при этом цена получится значительно выше, зато появится ряд положительных качеств:
- возможность сэкономить на гидроизоляции оснований в местности с близким залеганием грунтовых вод;
- продление срока службы ввиду повышения морозостойкости, применительно к незащищенным конструкциям, таким как заборы, отмостки, бетонные дорожки.
Пропорции цемента, песка и щебня для получения бетона определенной марки
Для расчета соотношения составляющих бетона, объем цемента принимается за 1 часть. Объем других составляющих определяется согласно с информацией в таблице ниже.
Таким образом, пропорция на 1м3 для марки М200 с применением цемента М400 весом 280 кг, песка 740 кг и щебня 1250 кг примет такой вид: 1: 2,8: 4,8. Обязательным условием для получения хорошего цемента является содержание воды 20% от общего объема (180 л).
Таблица пропорций для получения бетона определенной марки
| Марка бетона | Марка цемента | Соотношение частей по массе, кг | Объемное соотношение, л | ||||
| Цемент | Песок | Щебень | Цемент | Песок | Щебень | ||
| М200 | М 400 | 1 | 2,8 | 4,8 | 10 | 25 | 42 |
| М 500 | 1 | 3,5 | 5,6 | 10 | 32 | 49 | |
| М300 | М 400 | 1 | 1,9 | 3,7 | 10 | 17 | 32 |
| М 500 | 1 | 2,4 | 4,3 | 10 | 22 | 37 | |
| М400 | М 400 | 1 | 1,2 | 2,7 | 10 | 11 | 24 |
| М 500 | 1 | 1,6 | 3,2 | 10 | 14 | 28 | |
| М500 | М 400 | 1 | 1,1 | 2,5 | 10 | 10 | 22 |
| М 500 | 1 | 1,4 | 2,9 | 10 | 12 | 25 | |
Бетон: вопросы и ответы (ВИДЕО)
stpmsk.ru
Кубиковая прочность бетона таблица. Нормативные и расчётные сопротивления бетона
| Материал | Модуль упругости Е , МПа |
| Чугун белый, серый | (1,15…1,60) . 10 5 |
| » ковкий | 1,55 . 10 5 |
| Сталь углеродистая | (2,0…2,1) . 10 5 |
| » легированная | (2,1…2,2) . 10 5 |
| Медь прокатная | 1,1 . 10 5 |
| » холоднотянутая | 1,3 . 10 3 |
| » литая | 0,84 . 10 5 |
| Бронза фосфористая катанная | 1,15 . 10 5 |
| Бронза марганцевая катанная | 1,1 . 10 5 |
| Бронза алюминиевая литая | 1,05 . 10 5 |
| Латунь холоднотянутая | (0,91…0,99) . 10 5 |
| Латунь корабельная катанная | 1,0 . 10 5 |
| Алюминий катанный | 0,69 . 10 5 |
| Проволока алюминиевая тянутая | 0,7 . 10 5 |
| Дюралюминий катанный | 0,71 . 10 5 |
| Цинк катанный | 0,84 . 10 5 |
| Свинец | 0,17 . 10 5 |
| Лед | 0,1 . 10 5 |
| Стекло | 0,56 . 10 5 |
| Гранит | 0,49 . 10 5 |
| Известь | 0,42 . 10 5 |
| Мрамор | 0,56 . 10 5 |
| Песчаник | 0,18 . 10 5 |
| Каменная кладка из гранита | (0,09…0,1) . 10 5 |
| » из кирпича | (0,027…0,030) . 10 5 |
| Бетон (см. таблицу 2) | |
| Древесина вдоль волокон | (0,1…0,12) . 10 5 |
| » поперек волокон | (0,005…0,01) . 10 5 |
| Каучук | 0,00008 . 10 5 |
| Текстолит | (0,06…0,1) . 10 5 |
| Гетинакс | (0,1…0,17) . 10 5 |
| Бакелит | (2…3) . 10 3 |
| Целлулоид | (14,3…27,5) . 10 2 |
Примечание : 1. Для определения модуля упругости в кгс/см 2 табличное значение умножается на 10 (более точно на 10.1937)
2. Значения модулей упругости Е для металлов, древесины , каменной кладки следует уточнять по соответствующим СНиПам.
Нормативные данные для расчетов железобетонных конструкций:
Таблица 2. Начальные модули упругости бетона (согласно СП 52-101-2003)
Таблица 2.1. Начальные модули упругости бетона согласно СНиП 2.03.01-84*(1996)

Примечания : 1. Над чертой указаны значения в МПа, под чертой — в кгс/см 2 .
2. Для легкого, ячеистого и поризованного бетонов при промежуточных значениях плотности бетона начальные модули упругости принимают по линейной интерполяции.
3. Для ячеистого бетона неавтоклавного твердения значения Е b принимают как для бетона автоклавного твердения с умножением на коэффициент 0,8.
4. Для напрягающего бетона значения Е b принимают как для тяжелого бетона с умножением на коэффициент a = 0,56 + 0,006В.
5. Приведенные в скобках марки бетона не точно соответствуют указанным классам бетона.
Таблица 3. Нормативные значения сопротивления бетона (согласно СП 52-101-2003)
Таблица 4. Расчетные значения сопротивления бетона (согласно СП 52-101-2003)
Таблица 4.1. Расчетные значения сопротивления бетона сжатию согласно СНиП 2.03.01-84*(1996)

Таблица 5. Расчетные значения сопротивления бетона растяжению (согласно СП 52-101-2003)
Таблица 7.1. Расчетные сопротивления для арматуры класса А согласно СНиП 2.03.01-84* (1996)

Таблица 7.2. Расчетные сопротивления для арматуры классов В и К согласно СНиП 2.03.01-84* (1996)

Нормативные данные для расчетов металлических конструкций:
Таблица 8. Нормативные и расчетные сопротивления при растяжении,
kupildoma.ru
статьи -Прочность бетона
08.03.2011
Важнейшим свойством бетона является прочность. Лучше всего бетон сопротивляется сжатию. Поэтому конструкции проектируют таким образом, чтобы бетон воспринимал сжимающие нагрузки. И только в некоторых конструкциях учитывается прочность на растяжение или на растяжение при изгибе.
Прочность при сжатии. Прочность бетона при сжатии характеризуется классом или маркой (которые определяют в возрасте 28 суток). В зависимости от времени нагружения конструкций прочность бетона может определяться и в другом возрасте, например 3; 7; 60; 90; 180 суток.
В целях экономии цемента, полученные значения предела прочности не должны превышать предел прочности, соответствующей классу или марке, более чем на 15%.
Класс представляет собой гарантированную прочность бетона в МПа с обеспеченностью 0,95 и имеет следующие значения: Вb1; Вb1,5; Вb2; Вb2,5; Вb3,5; Вb5; Bb7,5; Вb10; Вb12,5; Вb15; Вb20; Вb25; Вb30; Вb35; Вb40; Вb50; Вb55; Вb60. Маркой называется нормируемое значение средней прочности бетона в кгс/см2 (МПах10).
Тяжелый бетон имеет следующие марки при сжатии: Мb50; Мb75; Мb100; Мb150; Мb200; Мb250; Мb300; Мb350; Мb400; Мb450; Мb500; Мb600; Мb700; Мb800.
Между классом бетона и его средней прочностью при коэффициенте вариации прочности бетона n = 0,135 и коэффициенте обеспеченности t = 0,95 существуют зависимости:
Вb = Rbх0,778, или Rb = Вb/ 0,778.
При проектировании конструкций обычно назначают класс бетона, в отдельных случаях — марку. Соотношение классов и марок для тяжелого бетона по прочности на сжатие приведены в табл. 1.
Прочность при растяжении. С прочностью бетона на растяжение приходится иметь дело при проектировании конструкций и сооружений, в которых не допускается образование трещин. В качестве примера можно привести резервуары для воды, плотины гидротехнических сооружений и др. Бетон на растяжение подразделяют на классы: Вt0,8; Bt1,2; Bt1,6; Вt2; Bt2,4; Вt2,8; Вt3,2 или марки: Рt10; Bt15; Bt20; Bt25; Bt30; Bt35; Вt40.
Прочность на растяжение при изгибе. При устройстве бетонных покрытий дорог, аэродромов назначают классы или марки бетонов на растяжение при изгибе.
Классы: Вbt0,4; Вbt0,8; Вbt1,2; Bbt1,6; Вbt2,0; Вtb2,4; Вbt2,8; Вbt3,2; Вbt3,6; Вbt4,0; Bbt4,4; Вbt4,8; Вbt5,2; Вbt5,6; Вbt6,0; Вbt6,4; Вbt6,8; Вbt7,2; Вbt8.
Таблица 1. Соотношение классов и марок при сжатии для тяжелого бетона
Класс | Rb ,МПа | Марка | Класс | Rb, МПа | Марка |
|
|
|
|
|
|
|
|
|
|
|
|
|
|
|
|
|
|
|
|
|
|
|
|
|
|
|
|
|
|
|
|
|
|
|
|
|
|
|
|
|
|
|
|
|
Марки: Рbt5; Рbt10; Рbt15; Рbt20; Рbt25; Рbt30; Рbt35; Рbt40; Рbt45; Рbt50; Рbt55; Рbt60; Рbt65; Рbt70; Рbt75; Рbt80; Рbt90; Рbt100.
Технологические факторы, влияющие на прочность бетона. На прочность бетона влияет ряд факторов: активность цемента, содержание цемента, отношение воды к цементу по массе (В/Ц), качество заполнителей, качество перемешивания и степень уплотнения, возраст и условия твердения бетона, повторное вибрирование.
Активность цемента. Между прочностью бетона и активностью цемента существует линейная зависимость Rb = f(RЦ). Более прочные бетоны получаются на цементах повышенной активности.
Содержание цемента. С повышением содержания цемента в бетоне его прочность растет до определенного предела. Затем она растет незначительно, другие же свойства бетона ухудшаются. Увеличивается усадка, ползучесть. Поэтому не рекомендуется вводить на 1 м3 бетона более 600 кг цемента.
Водоцементное отношение. Прочность бетона зависит от В/Ц. С уменьшением В/Ц она повышается, с увеличением — уменьшается. Это определяется физической сущностью формирования структуры бетона. При твердении бетона с цементом взаимодействует 15-25% воды. Для получения же удобоукладываемой бетонной смеси вводится обычно 40-70% воды (В/Ц = — 0,4…0,7). Избыточная вода образует поры в бетоне, которые снижают его прочность.
При В/Ц от 0,4 до 0,7 (Ц/В = 2,5… 1,43) между прочностью бетона Rв , МПа, активностью цемента Rц, МПа, и Ц/В существует линейная зависимость, выражаемая формулой:
Rb = A Rц (Ц/В – 0,5).
При В/Ц < 0,4 (Ц/В > 2,5) линейная зависимость нарушается. Однако в практических расчетах пользуются другой линейной зависимостью:
Rb = A1 Rц (Ц/В + 0,5).
Ошибка в расчетах в этом случае не превышает 2-4 % вышеприведенных формулах: А и А1 — коэффициенты, учитывающие качество материалов. Для высококачественных материалов А = 0,65, А1 = 0,43, для рядовых — А = 0,50, А1 = 0,4; пониженного качества — А = 0,55, А1 = 0,37.
Прочность бетона при изгибе Rbt, МПа, определяется по формуле:
Rbt =A` R` ц (Ц/В — 0,2),
где Rц — активность цемента при изгибе, МПа;
А’ — коэффициент, учитывающий качество материалов.
Для высококачественных материалов А’ = 0,42, для рядовых — А’ = 0,4, материалов пониженного качества — А’ = 0,37.
Качество заполнителей. Не оптимальность зернового состава заполнителей, применение мелких заполнителей, наличие глины и мелких пылевидных фракций, органических примесей уменьшает прочность бетона. Прочность крупных заполнителей, сила их сцепления с цементным камнем влияет на прочность бетона.
Качество перемешивания и степень уплотнения бетонной смеси существенно влияют на прочность бетона. Прочность бетона, приготовленного в бетоносмесителях принудительного смешивания, вибро — и турбосмесителях выше прочности бетона, приготовленного в гравитационных смесителях на 20-30%. Качественное уплотнение бетонной смеси повышает прочность бетона, так как изменение средней плотности тонной смеси на 1% изменяет прочность на 3-5%.
Влияние возраста и условий твердения. При благоприятных температурных условиях прочность бетона растет длительное время и изменяется по логарифмической зависимости:
Rb(n) = Rb(28) lgn / lg28,
где Rb(n) и Rb(28) — предел прочности бетона через n и 28 суток, МПа; lgn и lg28 — десятичные логарифмы возраста бетона.
Эта формула осредненная. Она дает удовлетворительные результаты для бетонов, твердеющих при температуре 15-20 °С на рядовых среднеалюминатных цементах в возрасте от 3 до 300 суток. Фактически же прочность на разных цементах нарастает поразному.
Рост прочности бетона во времени зависит, в основном, от минерального и вещественного составов цемента. По интенсивности твердения портландцементы подразделяют на четыре типа (табл. 2).
Интенсивность твердения бетона зависит от В/Ц. Как видно из данных, приведенных в табл. 3, более быстро набирают прочность бетоны с меньшим В/Ц.
На скорость твердения бетона большое влияние оказывает температура и влажность среды. Условно-нормальной считается среда с температурой 15-20 °С и влажностью воздуха 90-100%.
Таблица 2. Классификация портландцементов по скорости твердения
Тип цемента | Минеральный и вещественный составы портландцементов | К = Rbt(90) / Rbt(28) | К =Rbt(180) / Rbt(28) |
I | Алюминатный (С3А = 1 2%) | 1-0,5 | 1,0-1,1 |
II | Алитовый (С3S> 50%, С3А =8) | 1,05-1,2 | 1,1-1,3 |
III | Портландцемента сложного минерального и вещественного состава (пуццолановый портландцемент c содержанием в клинкере С3А = 1 4%, шлакопортландцемент с содержанием шлака 30-40%) | 1,2-1,5 | 1,3-1,8 |
IV | Белитовый портландцемент и шлакопортландцемент с содержанием шлака более 50% | 1,6-1,7 | 1,55 |
| Для сравнения предел прочности бетона, определенный по формуле:Rb(n) = Rb(28) lgn / lg28 | 1,35 | 1,55 |
Таблица 3. Влияние В/Ц и возраста на скорость твердения бетона на цементе III типа
В/Ц | Относительная прочность через сут. | |||||
1 | 3 | 7 | 28 | 90 | 360 | |
| 0,24 | 0,48 | 0,70 | 1 | 1,15 | 1,38 |
| 0,17 | 0,43 | 0,66 | 1 | 1,19 | 1,47 |
| 0,11 | 0,37 | 0,64 | 1 | 1,21 | 1,55 |
| 0,08 | 0,33 | 0,64 | 1 | 1,35 | 1,67 |
| — | 0,33 | 0,58 | 1 | 1,35 | 1,77 |
Как видно из графика, приведенного на рис. 1, прочность бетона в 28-суточном возрасте, твердевшего при 5 °С, составила 68%, при 10°С — 85%, при 30 °С — 115% от предела прочности бетона, твердевшего при температуре 20 °С. Те же зависимости наблюдаются и в более раннем возрасте. То есть интенсивнее набирает прочность бетон при более высокой температуре и, напротив, медленней — при ее понижении.
При отрицательной температуре твердение практически прекращается, если не снизить температуру замерзания воды введением химических добавок.
Рис. 1. Рост прочности бетона при разной температуре
Твердение ускоряется при температуре 70-100 °С при нормальном давлении или при температуре около 200 °С и давлении 0,6-0,8 МПа. Для твердения бетона требуется среда с высокой влажностью. Для создания таких условий бетон укрывают водонепроницаемыми пленочными материалами, покрывают влажными опилками и песком, пропаривают в среде насыщенного водяного пара.
Повторное вибрирование увеличивает прочность бетона до 20%. Оно должно выполняться до конца схватывания цемента. Повышается плотность. Механические воздействия срывают пленку гидратных новообразований и ускоряют процессы гидратации цемента.
contros.ru
4.2.5.2 Прочность бетона
Важнейшим свойством бетона является прочность. Лучше всего он сопротивляется сжатию. Поэтому конструкции проектируются таким образом, чтобы бетон воспринимал сжимающие нагрузки. В отдельных конструкциях учитывается прочность на растяжение или на растяжение при изгибе.
Прочность бетона характеризуется классом или маркой. Класс представляет собой нормируемое значение гарантированной прочности бетона, МПа, с доверительной вероятностью 0,95 с учетом однородности бетона. Маркой называется нормируемое значение средней прочности бетона, кгс/см2 (10-1МПа), без учета однородности бетона.
Прочность бетона назначается чаще всего в возрасте 28 суток. В зависимости от времени нагружения конструкций может назначаться и в другом возрасте. Например, 4; 7; 60; 90; 180 суток. Так, для бетона гидротехнических речных сооружений прочность назначается в возрасте 180 суток.
В целях экономии цемента полученные значения прочности бетона не должны превышать предел прочности, соответствующий классу или марке более чем на 15 %.
Прочность бетона определяется по результатам испытания контрольных образцов, форма и размеры которых приведены в таблице 4.20.

а)
б)

в)

г)
Рисунок 4.9 – Схемы испытания образцов при определении прочности бетона: а – на сжатии; б – на осевое растяжение; в – на раскалывание; 1 – образцы-цилиндры;
2 – образцы-кубы; 3 – образцы призмы из тяжелого бетона; г – на растяжение при изгибе
Метод | Форма образца | Формулы для определения предела прочности | Размеры образца, мм |
Определение прочности на сжатие и на растяжение при раскалывании | Куб Цилиндр |
где R – предел прочности бетона на сжатие, МПа; Р – разрушающее усилие, Н; F – площадь рабочего сечения образца, мм2; a – масштабный коэффициент | Длина ребра: 70; 100; 150; 200; 300; Диаметр d: 70; 100; 150; 200; 300; |
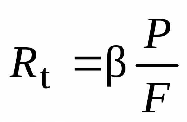
Определение прочности на осевое растяжение | Призма квадратного сечения Цилиндр Восьмерка |
где Rt– предел прочности бетона на растяжение, МПа; P – разрушающее усилие, Н; F – площадь рабочего сечения образца, мм2; b – масштабный коэффициент | 70х70х280; 100х100х400; 150х150х600; 200х200х800; Диаметр d: 70; 100; 150; 200; 300; Высота h = 2d Поперечное сечение восьмерок: 70х70; 100х100; 150х150; 200х200 |
Определение прочности на растяжение при изгибе и при раскалывании | Призма квадратного сечения | Растяжение при изгибе
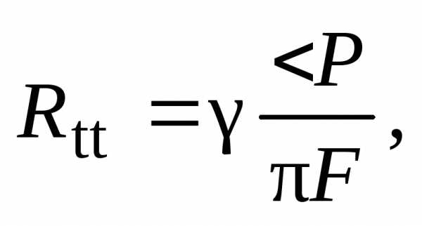
Растяжение при раскалывании
где Rtbи Rtt– пределы прочности на растяжение при изгибе и растяжении при раскалывании, МПа; P – разрушающее усилие, Н; F – площадь рабочего сечения образца, мм2; a, b, d и g – масштабные коэффициенты | 70х70х280; 100х100х400; 150х150х600; 200х200х800; |
Наименьший размер образца примерно в три раза должен превышать наибольшую крупность заполнителя.
Образцы изготавливаются и испытываются сериями. Количество образцов в серии зависит от внутрисерийного коэффициента вариации Vs и принимается 2 при Vs 5 % и менее, 3 или 4 при Vs более 5 до 8 % и 6 при Vs более 8 %. Если коэффициент вариации не определялся, его принимают 13,5 %, и прочность бетона устанавливается испытанием 6 образцов.
За базовый образец при всех видах испытаний принимается образец с размером рабочего сечения 150х150 мм. При испытании образцов с другим рабочим сечением в формулы для определения прочности бетона, приведенные в таблице 4.20, вводятся масштабные коэффициенты по таблице 4.21.
Таблица 4.21 – Масштабные коэффициенты
Форма и размеры образцов, мм | Значение масштабного коэффициента при испытани | ||||
на сжатие, для всех видов бетона, кроме ячеистого α | на растяжении при раскалывании g | на растя- жение при изгибе тяжелого бетона d | на осевое растяжение b | ||
для тяжелого бетона | для мелко- зернистого бетона | ||||
Куб (ребро) или квадратная призма (сторона): 70 100 150 200 300 Цилиндр (диаметр х высота): 100х200 150х300 200х400 300х600 | 0,85 0,95 1,00 1,05 1,10 1,16 1,20 1,24 1,28 | 0,78 0,88 1,00 1,10 — 0,98 1,13 — — | 0,87 0,92 1,00 1,05 — 0,99 1,08 — — | 0,86 0,92 1,00 1,15 -1,34 — — — — | 0,85 0,92 1,00 1,08 — — — — — |
Прочность на сжатие. По прочности на сжатие тяжелые бетоны подразделяются на классы: B3,5; B5; B7,5; B10; B12,5; B15; B20; B20,5; B25; B27,5; B30; B35; B40; B50; B55; B60; B70; B75; B80; B85; B90; B95; B100; B105; и марки: M50; M75; M100; M150; M200; M250; M300; M350; M400; M450; M500; M600; M700; M800; M900; M1000.
Между классом бетона и его средней прочностью при коэффициенте вариации прочности бетона n = 13,5 % (0,135) и коэффициенте доверительной вероятности t = 0,95 существуют зависимости
B = R × 0,778 или R = B/0,778.
Например, для бетона класса В20 среднее значение предела прочности контрольных образцов R = 20/0,778 = 25,71 МПа.
При проектировании конструкций чаще всего назначается класс бетона, в отдельных случаях – марка. Соотношение классов и марок для тяжелого бетона по прочности на сжатие приведены в таблице 4.22.
Таблица 4.22 – Соотношение классов и марок при сжатии для тяжелого бетона
Класс | R МПа | Марка | Класс | R МПа | Марка | Класс | R МПа | Марка |
B3,5 B5 B7,5 B10 B12,5 | 4,6 6,5 9,8 13,0 16,5 | M50 M75 M100 M150 M150 | B15 B20 B25 B30 B35 | 19,6 26,2 32,7 39,2 45,7 | M200 M250 M300 M400 M450 | B40 B45 B50 B55 B60 | 52,4 58,9 65,4 72,0 78,6 | M500 M600 M700 M700 M800 |
Согласно СНБ 5.03.01-02 «Бетонные и железобетонные конструкции» тяжелые бетоны подразделяются на классы, значения которых приведены в таблице 4.23.
Прочность на растяжение. С прочностью бетона на растяжение приходится иметь дело при проектировании конструкций и сооружений, в которых не допускается образование трещин. В качестве примера можно привести резервуары для воды, плотины гидротехнических сооружений. Бетон на растяжение подразделяется на классы: Bt0,4; Bt0,8; Bt1,2; Bt1,6; Bt2; Bt2,4; Bt2,8; Bt3,2; Bt3,6; Bt4,0; Bt4,4; Bt4,8.
Таблица 4.23 – Прочностные характеристики бетонов (СНБ 5.03.01-02)
Характеристика, единица измерения | Класс бетона по прочности на сжатии | ||||||||||||||
С8/10 | С12/15 | С16/20 | С20/25 | С25/30 | С30/37 | С 35/45 | С40/50 | С45/55 | С50/60 | С55/67 | С60/75 | С70/85 | С80/95 | С90/105 | |
Нормативное сопротивление бетона осевому сжатию fск, МПа | 8 | 12 | 16 | 20 | 25 | 30 | 35 | 40 | 45 | 50 | 55 | 60 | 70 | 80 | 90 |
Гарантированная прочность бетона fGc cube, МПа | 10 | 15 | 20 | 25 | 30 | 37 | 45 | 50 | 55 | 60 | 67 | 75 | 85 | 95 | 105 |
Средняя прочность на осевое сжатие fcm, МПа | 16 | 20 | 24 | 28 | 33 | 38 | 43 | 48 | 53 | 58 | 63 | 68 | 78 | 88 | 98 |
Средняя прочность бетона на осевое растяжение fctrn, МПа | 1,2 | 1,6 | 1,9 | 2,2 | 2,6 | 2,9 | 3,2 | 3,5 | 3,8 | 4,1 | 4,2 | 4,4 | 4,6 | 4,8 | 5,0 |
Нормативное сопротивление бетона осевому растяжению, соответствующее 5 % квантилю статистического распределения прочности fctk, 0,05, МПа | 0,85 | 1,1 | 1,3 | 1,5 | 1,8 | 2,0 | 2,2 | 2,5 | 2,7 | 2,9 | 3,0 | 3,1 | 3,2 | 3,4 | 3,5 |
95 % квантиль статистического распределения прочности бетона на осевое растяжение fctk, 0,95, МПа | 1,55 | 2,0 | 2,5 | 2,9 | 3,3 | 3,8 | 4,2 | 4,6 | 4,9 | 5,3 | 5,5 | 5,7 | 6,0 | 6,3 | 6,8 |
Прочность на растяжение при изгибе. При устройстве бетонных покрытий дорог и аэродромов назначается прочность бетона на растяжение при изгибе. Бетон на растяжение при изгибе подразделяется на классы: Btb0,4; Btb0,8; Btb1,2; Btb1,6; Btb2,0; Btb2,4; Btb2,8; Btb3,2; Btb3,6; Btb4,0; Btb4,4; Btb4,8; Btb5,2; Btb5,6; Btb6,0; Btb6,4; Btb6,8; Btb7,2; Btb8.
Технологические факторы, влияющие на прочность бетона. На прочность бетона влияет ряд факторов: активность цемента, содержание цемента, отношение воды к цементу по массе (В/Ц), качество заполнителей, качество перемешивания и степень уплотнения, возраст и условия твердения бетона, повторное вибрирование, минеральные и химические добавки.
Активность цемента. Между прочностью бетона и активностью цемента существует линейная зависимость R =f (Rц). Более прочные бетоны получаются на цементах повышенной активности.
Содержание цемента. С повышением содержания цемента в бетоне его прочность растет до определенного предела. Затем она возрастает незначительно, другие же свойства бетона ухудшаются. Увеличивается усадка, ползучесть. Поэтому не рекомендуется вводить на 1 м3 бетона более 600 кг цемента.
Водоцементное отношение. Прочность бетона зависит от В/Ц. С уменьшением В/Ц она повышается, с увеличением – уменьшается. Это определяется физической сущностью формирования структуры бетона. При твердении бетона с цементом взаимодействует 15–25 % воды. Для получения же удобоукладываемой бетонной смеси вводится обычно 40–70 % воды (В/Ц = 0,4…0,7). Избыточная вода образует поры в бетоне, которые снижают его прочность.
Прочность бетона R, Мпа, при твердении в нормально-влажностных условиях выражается формулой

где Rц – активность цемента, МПа; К – коэффициент, принимаемый для бетона на щебне 3,5; на гравии – 4; В/Ц – водоцементное отношение: n – коэффициент, принимаемый для тяжелого бетона;
Зависимость между прочностью бетона при сжатии R и цементно-водным соотношением Ц/В = R (Ц/В) графически выражается S-образной кривой (рисунок 4.9).
Заменяя ее двумя прямыми, получим следующее уравнение:
R = ARц(Ц/В ± b),
где R – прочность бетона при сжатии, МПа; А – коэффициент, учитывающий качество материалов; Rц – активность цемента, МПа; Ц и В – расходы цемента и воды, кг; b – постоянный коэффициент, определяемый опытным путем.

Рисунок 4.9 – Фактическая зависимость прочности бетона от Ц/В
Эта формула выражает основной закон прочности бетона, в которой учитываются качества материалов (А), активность цемента (Rц) и пористость цементного камня (Ц/В).
При Ц/В от 1,43 до 2,5 (В/Ц = 0,4 …0,7) между прочностью бетона R, МПа, активностью цемента Rц, МПа, и Ц/В существует линейная зависимость, выражаемая формулой
R = ARц(Ц/В – 0,5).
При Ц/В > 2,5 линейная зависимость нарушается. Однако в практических расчетах пользуются другой линейной зависимостью:
R = A1Rц(Ц/В + 0,5).
Ошибка в расчетах в этом случае не превышает 2–4 %.
В вышеприведенных формулах: А и А1 – коэффициенты, учитывающие качество материалов. Для высококачественных материалов A = 0,65, А1 = 0,43; для рядовых A = 0,50, А1 = 0,40; для пониженного качества A = 0,55, А1 = 0,37.
Прочность бетона при изгибе Rtb, МПа, определяется по формуле
Rtb = A′Rц ′(Ц/В – 0,2),
где R‘ц – активность цемента при изгибе, МПа; A‘ – коэффициент, учитывающий качество материалов. Для высококачественных материалов A‘ = 0,42, для рядовых – A‘ = 0,4, материалов пониженного качества – A‘ = 0,37.
По вышеприведенным формулам при известной активности цемента и цементно-водного (водоцементного) отношения можно определить прочность бетона в 28-суточном возрасте. По ней же, если задана прочность бетона, можно вычислить активность цемента.
Качество заполнителей. Неоптимальность зернового состава заполнителей, применение мелких заполнителей, наличие глины и мелких пылевидных фракций, органических и других вредных примесей уменьшает прочность бетона. Прочность крупных заполнителей, сила их сцепления с цементным камнем влияет на прочность бетона.
Качество перемешивания и степень уплотнения бетонной смеси существенно влияют на прочность бетона (см. 4.2.3). Прочность бетона, приготовленного в бетоносмесителях принудительного смешивания, вибро- и турбосмесителях, выше прочности бетона, приготовленного в гравитационных смесителях, на 20–30 %. Качественное уплотнение бетонной смеси повышает прочность бетона, так как изменение средней плотности бетонной смеси на 1 % изменяет прочность на 3–5 %.
Влияние возраста и условий твердения. При благоприятных температурных условиях прочность бетона растет длительное время и изменяется по логарифмической зависимости

где Rn и R28 – предел прочности бетона через n и 28 суток, МПа; lgn и lg28 –
десятичные логарифмы возраста бетона.
Эта формула осредненная. Она дает удовлетворительные результаты для бетонов, твердеющих при температуре 15–20 °С на среднеалюминатных цементах в возрасте от 3 до 300 суток. Фактически же прочность на разных цементах нарастает по-разному.
Интенсивность твердения бетона зависит от В/Ц. Как видно из данных, приведенных в таблице 4.24, более быстро набирают прочность бетоны с меньшим В/Ц.
Таблица 4.24 – Влияние В/Ц и возраста на скорость твердения бетона на цементе
studfiles.net
6, 7. Прочность бетона. Классы бетона по прочности на сжатие и растяжение. (Кубиковая и призменная прочность бетона).
R – кубиковая прочность бетона на сжатие, определяется на образцах кубов с ребром 10,15 или 20 см. В качестве эталона, в настоящее время, применяются кубы с ребром 15 см. Если принять прочность бетона, измеренную на эталонных кубах заR, то прочность кубов с ребром 10 см. составляет 1,1 R, прочность кубов с ребром 15 см – 1,0 прочность с ребром 20 см. — 0,9 R. В некоторых странах Запада прочность бетона определяется на цилиндрах с высотой Н=2Ø, Ø = 15,92см, А ≈ 200см2 .
Rв – призменная прочность бетона, определяется на образцах-призмах, с соотношением высоты к основаниюh / a= 4.
Зависимость прочности бетона от высоты призмы.
В общем случае зависимость между кубиковой и призменной прочностью выражается эмпирической формулой (2.1)
Rв=R(0,77 – 0,00125R) (МПа)
Rв= (0,75 – 0,8) R (МПа)
d
Rвt – прочность бетона на растяжение, определяется на бетонных образцах – восьмерках или путем раскалывания кубов или цилиндров.Схемы испытаний для определения
При испытании восьмёрок, прочность на растяжение равна
Rbt=P/A, гдеА– площадь расчетного сечения.
При испытаниях цилиндров или кубов прочность определяется по формулам
Rbt=P/в2,Rbt=P/ld,
Где l – длина цилиндра,в – размер ребра куба,
d– диаметр цилиндра.

28 су т.
Прочность на растяжение зависит от кубиковой прочности и может определяться по формуле.Нарастание прочности бетона во времени
Прочность не остается неизменной с течением времени или при изменении условий твердения. При благоприятных условиях прочность с течением времени может возрасти до двух раз, при неблагоприятных условиях рост прочности замедляется или полностью приостанавливается. Рост прочности бетона со временем может определяться по формуле.
Rt=R28lgt/lg28
R28 – прочность бетона после 28суток твердения,
t– время, в сутках.
Формула может быть представлена в ином, упрощенном виде
Rt = 0,7R28lgt
Важнейшими расчётными характеристиками прочностных свойств бетона является его расчётное сопротивление сжатию и растяжению, характеризуемое классом бетона.
Классом бетона на сжатие «В» называется временное сопротивление осевому сжатию бетонных кубов с ребром 15см., испытанных через 28 суток твердения приt=20±2°cпо гост с учётом статистической изменчивости.
8. Силовые деформации бетона. Диаграмма при осевом сжатии. Параметры диаграммы. Модуль деформации бетона.
Силовые деформации – это деформации под воздействием силовых факторов, приложенных однократно или в течение времени.
Рассматривается опытный образец (призма) с приборами для измерения деформаций. К призме порциями прикладывается постепенно увеличивающаяся нагрузка, вплоть до разрушения образца. На каждом этапе дается определенная выдержка (15-20 мин.) и измеряются продольные деформации бетона. База прибора (длина на которой измеряются продольные деформации) составляет 100-200мм для механических приборов и 20-50мм для электротензодатчиков.
Отношение величин поперечных деформаций к продольным даёт значение коэффициента Пуассона. Деформации достигнутые при разрушении называются предельными. При нагружении образцов с постоянной скоростью деформирования можно наблюдать нисходящую ветвь диаграммы.
Зависимость деформаций бетона от напряжений при сжатии.
Различают три модуля деформируемости бетона:
касательный модуль E=tgα0
секущий модуль E!b=tgα1
начальный модуль Eb=tgα
1 – Касательная из начала координат
2 – Секущая из нала координат и точки А
3 – Касательная в точке А.
В практических расчётах ЖБК используют секущий модуль, который через поправочные коэффициенты получают из начального модуля. Используя чертеж 3.1, выразим напряжения в какой-либо точке (А) используя полные и упругие деформации бетона. В соответствии с законом Гука, можно записать выражение для напряжений в точке А.
σb = εel∙Eb = εb∙E!b
отсюда находится выражение для модуля упруго-пластичности
E!b=εel∙Eb/εb
если обозначить εel/εb=b(коэффициент упруго-пластичности), то
E!b= b ∙Eb
При растяжении коэффициент упруго-пластичности btблизок к 0,5 при напряжениях в растянутом бетоне, стремящихся к предельным значениям.
bt 0,5 при σbt Rbt ТогдаEbt = bt∙Eb.
Отсюда можно определить предельную растяжимость бетона
εlimbt=Rbt/E!bt=Rbt/bt∙Eb=Rbt/0,5∙Eb=2 Rbt/Eb
Предельные деформации бетона — это деформации перед разрушением образца. В сжатых элементах при кратковременных испытаниях предельные деформации составляют lim= (80 — 300)·10-5, в среднем 250·10-5. В растянутых элементах lim= (10 — 25) ·10-5, в среднем 15·10-5.
При длительном действии нагрузки предельные деформации могут превышать кратковременные деформации в 1,5 — 3 раза.
studfiles.net
особенности, график и от чего зависит?
Основная характеристика бетона, которая определила его широкое распространение — это высокая прочность. Материал набирает любую прочность в реальных условиях, так как есть много причин, которые способствуют недобору величины, соответствующей бетону определенной марки. Знание этих причин и их особенностей способствует формированию бетонных фундаментов, конструкций с максимальными эксплуатационными показателями.

Процесс набора
Физико-химические реакции гидратации создают новые монолитные соединения, которые придают материалу свойства искусственного камня. Новое качество формируется в течение многих суток (окончательно примерно через полгода) и в идеале прочностные свойства бетонной конструкции должны соответствовать бетону определенного класса и марки. По времени процесс вызревания камня имеет две последовательные стадии: начальная — схватывание, и завершающая — твердение. По его завершении бетон может нагружаться.
Вернуться к оглавлениюСхватывание
Схема возможного расслоения бетонной смеси: а — в процессе транспортирования и уплотнения, б — после уплотнения; 1 — направление, по которому отжимается вода, 2 — вода, 3, 4 — мелкий и крупный заполнители.Бетоном пользуются не сразу после затвердения, так как может потребоваться некоторое количество времени, чтобы довезти материал до объекта. Смесь должна оставаться подвижной, чему способствует механическое перемешивание раствора в миксере автосмесителя. Тиксотропия позволяет сохранить основные свойства смеси до ее заливки, откладывая старт начальной стадии созревания. Однако следует знать, что если время затянуть или температура поднимется, развивается необратимый процесс «сваривания» раствора, в результате которого занизятся его характеристики.
Длительность схватывания находится в зависимости от температуры воздуха — от 20 мин. до 20 часов. Наибольшая продолжительность данного процесса зимой при температурных значениях около 0 град. Заливка фундамента в этот период будет сопровождаться удлинением интервала начала схватывания от 6 до 10 часов, а сама стадия растянется на 15 – 20 ч.
Оптимально заливать бетон в форму при 20 градусах. Тогда при условии, что раствор затворен за час до заливки, схватывание начнется через один час и завершится через 60 мин. Жаркая погода способствует практически моментальному схватыванию раствора за 10 – 20 мин.
Вернуться к оглавлениюТвердение
Оптимальное течение гидратации при твердении раствора: температурный коридор от 18 до 20 град., влажность близкая к 100%. Отклонения от данных параметров в значительной степени изменяют скорость твердения камня. Полное вызревание бетона длиться несколько лет.
Вместе с тем на этой стадии скорость твердения закономерно изменяется со временем. К примеру, для бетона М300 к концу 3-го дня она достигает 50%, на 14–й день составляет до 90%, а на 28 день — 100%. Далее через три месяца прочность повышается еще на 20%, а через 3 года может стать на 100% больше, чем была к концу 28 суток после затворения.
Вернуться к оглавлениюОсобенности набора прочности
Снижение температурных показателей среды ведет к замедлению твердения. Нулевая отметка на термометре останавливает процесс из-за замерзания воды в камне (снижается качество бетона), а подъем значений снова его возобновляет. Смесь начинает высыхать при недостатке или отсутствии влаги, однако это может замедлить и остановить правильное твердение, что воспрепятствует набору заданного свойства бетоном. А вот автоклавное отвердение смесей значительно ускоряется при повышенных значениях температурно-влажностного режима: 80 – 90 град. и 100% влажности, что ведет к ускоренному росту прочностных показателей. За счет влаги в воздухе может сокращаться интервал набора прочности раствором, который уложен открыто.
Бетоны более высоких марок (состоят из большего количества цемента лучшего качества) твердеют и набирают прочность быстрее, поэтому обрабатывать их следует более оперативно. В интервале с 3-х по 10-е сутки после укладки нормативный набор прочности бетона обеспечивается близкими к идеальным условиями выдержки. В теплую погоду раствор укрывается влагоемкими материалами, через которые камень увлажняется круглосуточно 6 – 7 раз, и перекрывается плотной пленкой.
В солнечную погоду он укрывается от прямых лучей. Зимой бетон может искусственно прогреваться изнутри, утепляться, обогреваться тепловыми генераторами, чтобы предотвратить замерзание воды, и изолируется от осадков. Важным параметром для продолжения работ является нормативно-безопасный срок набора прочностных свойств. Таблица 1 показывает зависимость от марки бетона и среднесуточной температуры значений прочностных показателей бетонов через соответствующее количество суток.
Таблица 1

Нормативно-безопасным сроком созревания бетонов можно считать значение 50%, а безопасным — от 72% до 80% от марочного значения, что, к примеру, важно знать при работах на фундаменте.
Вернуться к оглавлениюОт чего зависит набор прочности?
Факторы, которые управляют набором прочностных свойств камня, включают: сколько времени прошло после заливки, температурно-влажностный режим выдерживания, качество (активность) и марку цемента, соотношение воды и цемента в растворе, пропорции компонентов в смеси, способ уплотнения, технологию перемешивания, способ и скорость укладки, качество и регулярность увлажнения, наличие пластификаторов (добавок-ускорителей твердения) в смеси зимой и пр. Поднятие марки бетона зависит от увеличения доли и более высокой марки цемента в смеси, пропорций компонентов. Марка прямо влияет на набор прочности бетона. Для низких марок критическая прочность имеет большее значение. Таблица 2 отражает данную закономерность.
Таблица 2
Поэтому прочностью фундамента из бетона высокой марки определяется надежность, долговечность конструкции здания. Камень в холодную погоду приобретает прочность благодаря собственному тепловыделению, но для нормализации графика формирования камня целесообразно применять соответствующие добавки, ускоряющие твердение и снижающие температуру остановки гидратации. С ними смесь набирает марочную прочность уже через 14 суток. Удачным решением также станет изменение составляющих в бетоне. К примеру, глиноземистый цемент набирает прочностные показатели даже в морозы, так как выделяет примерно в 7 раз больше собственного тепла по сравнению портландцементом.
В наборе этого свойства существенную роль играют форма и фракция зерен натуральных наполнителей. Их неправильная форма и повышенная шероховатость обеспечивают лучшие условия сцепления и качество бетона. Известно, что увеличение доли воды в бетонной смеси способно привести к расслоению массы материала. Следствием этого также становится то, что при относительном увеличении доли воды в растворе на 60% от оптимального значения (в/ц = 0,4) происходит недобор прочности на 50% от марочной. Однако при соотношении вода/цемент 1/4 период отвердения (упрочнения) сокращается в два раза.
Чтобы ускорить процесс и минимизировать выдержку бетона, целесообразно применять пескобетоны с низким соотношением вода/цемент. Неуплотненный бетонный раствор имеет шансы вызреть только до 50% от нормативной прочности даже при оптимальном соотношении вода/цемент. Вместе с тем ручное уплотнение способно повысить его прочность на 30 – 40%, а вибротрамбовка повышает прочность до нормативных 95 – 100%.
Вернуться к оглавлениюГрафик набора прочности
Важно знать график набора прочности бетона для прогнозирования последствий изменения температурных условий твердения, которые приводят к увеличению времени выдерживания.
График 1

График 1 показывает на примере бетона М400 через сколько суток смесь при фиксированных температурных значениях набирает определенный процент прочности (за сто процентов взят набор марочной прочности за 4 недели). Температурный режим 30 град. является оптимальным для набора нормативной прочности (97%) за 11 дней, а при показателе в 5 град. значение безопасной прочности не будет достигнуто камнем и за 14 дней. В такой ситуации следует разогревать, утеплять укладку. В соответствии с кривыми определяются сроки распалубки при превышении прочностью 50% марочного значения.
Вернуться к оглавлениюВывод
В реальности прочностные показатели бетонных конструкций могут изменяться по очень многим причинам. Важно обеспечить оптимальные параметры для реализации по времени графика роста прочностных свойств, соответствующих марке бетона.
kladembeton.ru





– ширина, высота и расстояние между
опорами, мм;