Механическая вентиляция это вентиляция – как она работает и где ее можно установить?
Лекция 8 Механическая вентиляция
Системы механической вентиляции применяются там, где недостаточно естественной вентиляции. В механических системах используется оборудование и приборы (вентиляторы, фильтры, воздухонагреватели и т.д.), позволяющие перемещать, очищать и нагревать воздух. Такие системы вентиляции могут удалять или подавать воздух в вентилируемые помещения не зависимо от условий окружающей среды.
Системы механической вентиляции также могут быть канальными и бесканальными. Наиболее распространены канальные системы. Затраты электроэнергии на их работу могут быть довольно большими. Такие системы могут подавать и удалять воздух из локальных зон помещения в требуемом количестве, независимо от изменяющихся условий окружающей воздушной среды.
Преимуществом механической вентиляции перед естественной является возможность обеспечения стабильного требуемого воздухообмена независимо от времени года, наружных метеорологических условий, а также скорости и направления ветра. Она позволяет обрабатывать подаваемый в помещения воздух, доводя его метеорологические параметры до значений, требуемых стандартом, и очищать от вредных примесей воздух перед выбросом в атмосферу. К недостаткам механической системы вентиляции можно отнести высокие расходы электроэнергии, однако эти расходы быстро окупаются.
Если выделяющиеся в помещении тепло, влага, газы, пыль, запахи или пары жидкостей поступают непосредственно в воздух всего помещения, то устанавливают общеобменную вентиляцию. Общеобменные вытяжные системы относительно равномерно удаляют воздух из всего обслуживаемого помещения, а общеобменные приточные системы подают воздух и распределяют его по всему объему вентилируемого помещения. В этом случае рассчитывается объём вытяжного воздуха таким образом, чтобы после его замещения приточным загрязнение воздуха упало бы до величин предельно допустимой концентрации (ПДК).
Обычно из помещения извлекается такое же количество воздуха, какое в него и подаётся. Однако бывают случаи, когда общий приток воздуха не равен вытяжке. Так, например, из помещений, в которых выделяются пахучие вещества или ядовитые газы, извлекается больше воздуха, чем подаётся через приточную систему, для того, чтобы вредные газы и запахи не распространялись по всему зданию. Недостающий объём воздуха подкачивается через открытые проёмы наружных ограждений или из соседних помещений с более чистым воздухом.
Общеобменная приточная вентиляция
Приточные системы служат для подачи в вентилируемые помещения чистого воздуха взамен удаленного. Приточный воздух в необходимых случаях подвергается специальной обработке (очистке, нагреванию, увлажнению и т.д.).
Схема приточной механической вентиляции (рис. 1) включает: воздухозаборное устройство 1; фильтр для очистки воздуха 2
Помещения могут быть оборудованы только системами приточной вентиляции. В таких случаях в помещение подается определенное расчетом количество воздуха. Удаление воздуха может происходить неорганизованно через неплотности в строительных ограждениях или через специально для этих целей предусмотренные отверстия.
Рис. 1. Схема приточной вентиляции
В установившемся состоянии количество приточного воздуха всегда равно количеству удаляемого воздуха независимо от суммарной площади неплотностей или отверстий в строительных конструкциях. Приточными системами, как правило, оборудуются наиболее «чистые» помещения, так как воздух движется из этих помещений, а не наоборот.
studfiles.net
24.Естественная и механическая вентиляция. Вытяжная и приточная вентиляция, местная вентиляция
Естественнуювентиляциюиспользуют для обеспеченияблагоприятныхусловий труда в помещениях, гдевыделяетсязначительное тепло и не требуетсяспециальнойподготовкивоздухаилиподачиего к определеннымместам. Воздухообменпроисходит за счетразностиплотностейвоздухавнутри и снаружипомещения, чтообусловливаетсяразностьюего температур и вызываетпоступление холодного воздуха в помещение и вытеснениеизнего теплого воздуха (тепловойнапор)..
Естественнаявентиляцияпроизводственныхпомещенийможетбытьнеорганизованной (инфильтрация) и организованной (аэрация).
Естественная вентиляция, зависящая от температуры наружного воздуха и скорости ветра, не всегда может обеспечить нужный воздухообмен. Поэтому там, где необходимо удалить из помещения строго определенное количество воздуха и заменить его таким же по объёму количеством, широко используют механическую вентиляцию.
При механической вентиляции в цех или непосредственно к рабочему месту подают необходимое количество воздуха заранее заданной температуры и влажности, чтобы обеспечить условия для нормального технологического процесса или выполнить требования, предъявляемые санитарными нормами..
В механических системах вентиляции используются оборудование и приборы (вентиляторы, электродвигатели, воздухонагреватели, пылеуловители, автоматика и др.), позволяющие перемещать воздух на значительные расстояния. Затраты электроэнергии на их работу могут быть довольно большими. Такие системы могут подавать и удалять воздух из локальных зон помещения в требуемом количестве, независимо от изменяющихся условий окружающей воздушной среды.
Местной вентиляцией называется такая вентиляция, при которой воздух подают на определенные места (местная приточная вентиляция) и загрязненный воздух удаляют только от мест образования вредных выделений (местная вытяжная вентиляция).
Местная вентиляция требует меньших затрат, чем общеобменная вентиляция. В производственных помещениях при выделении вредных газов, влаги, теплоты и т. д. обычно применяют смешанную систему вентиляции — общую во всем объеме помещения и местную (местные притоки) для подачи свежего воздуха к рабочим местам.
Приточная вентиляция обеспечивает только подачу чистого воздуха в помещение; удаление воздуха из него происходит в основном через неплотности в ограждающих конструкциях и открывающиеся двери, за счёт возникающего избыточного давления.
Вытяжная вентиляция предназначена для удаления воздуха из вентилируемого помещения и создания в нём разрежения, за счёт которого в это помещение через неплотности в ограждениях и двери может поступать воздух снаружи и из соседних помещений
25.Определение требуемого воздухообмена. Основы расчета естественной и механической вентиляции.
Для определения требуемых воздухообменов применяют различные методики, выбор которых зависит от реальних условий труда и характеристики помещений:
Если в помещении выполняются работы не связанные с выделением вредных веществ, то в этом случае воздухообмен определяется по удельному воздухообмену на одного работающего:
,
гдеN – количествоработающих в помещениичеловек,
L1 – удельныйвоздухообмен, м3/час на 1-го человека, которыйпринимается по следующимданным: до 20 человек – >= 30 м3/час на одного человека; от 20 до 40 человек – >= 20 м3/час на одного человека; свыше 40 человек – допускаетсяпроветривание.
Еслиосновнойвредностью в помещенииявляетсяизбыточное тепло (освещение, производительноеоборудование), то расчетпроисходит по формуле:
,
где– разностьинтенсивноститеплопоступлений и интенсивноститеплопотерь,
c – удельнаятеплоемкостьвоздуха,
–плотностьвоздуха,
–разность
температур удаляемого и приточноговоздуха.
Если в помещениивыделяютсявредныевеществаилипыль, то воздухообменможетбытьопределен по формуле:
,
гдеG – интенсивностьпоступлениявредныхвеществ в помещение (определяется по справочникам),
k1 – концентрацияданнойвредности в приточномвоздухе (k1=<0,3 ПДК рабочейзоны),
k
В некоторыхслучаях для административных, культурно-зрелищныхобъектоввоздухообменопределяется по обменууглекислогогаза:
,
–интенсивностьвыделенияCO2 в помещении
.
Эта величина зависит от возраста людей
и от характеравыполняемойработы.
Например, при тяжелойработевзрослыйчеловеквыделяет,
а при легкой –
,
в состояниипокоя –
.
Для детей, в состояниипокоя –
;
k1 – зависит от видаместности: для сельской – , для поселков и мелкихгородов, для средних и крупных;
k2 – допустимаяконцентрацияCO2,для жилых зданий , для учреждений.
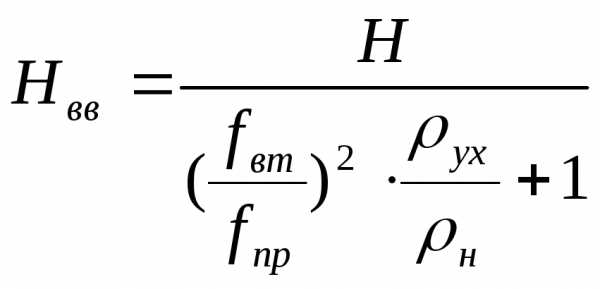
Для расчетовестественноговоздухообмена за счет теплового напораопределяютвысотурасположенияплоскостиравных давлений воздухавнутри и внепомещения — нейтральную зону, относительнокоторойбудутраспределятьсядавлениявовходных и выходныхвентиляционныхустройствахпроизводственногопомещения (форточки, фрамуги, фонари и т. п.),
(1)
или
,
(2)
гдеHвв,
Нвн — расстояние вниз и вверх от нейтральнойзоны,
м; Н — расстояниемежду центрами входных
и выходныхустройств, м; fnp,
fвт—суммарныеплощадиприточных
и вытяжныхотверстий, м
— плотностьнаружного и уходящеговоздуха,
кг/м3.
Внутреннееизбыточноедавление
по направлению вверх от
выбраннойгоризонтальнойплоскостиувеличивается
на ivшчинуризб.пр = Hвн(
),
а по направлению вниз уменьшается
на величину Ризб.ух=Нвв(
)
. Здесь
—
средняяплотностьвоздуха в помещении,
зависящая от среднейтемпературыtср.п,
равной
(3)
где
—
температура воздуха в рабочейзоне,
нормируемая ГОСТ 12.1.005 — 76;tух — температура уходящегоизпомещениявоздyxa.
Избыточноедавление в приточных и вытяжныхотверстияхравнодинамическому напору, за счеткотороюнаружныйвоздухпоступает в помещениеилипроисходитвыбросизнегозагрязненноговоздyxa, а именно
Ризб.пр=Нвн(
н
—
ср.п)
= (
н/2
пр).
(4)
Откуда
, (5)
где
пр—скоростьвоздуха
в приточныхустройствах.
Количествовоздуха, котороепоступит за счетестественной тяги, составляет
Lnp=3600
npfnp
,
( 6)
где
пр — коэффициентрасходавоздуха, зависящий
от углараскрытияфорточек (фрамуг)
.
При
= 30°
= 0,56, при
=
45″
= 0,48.
Аналогичноопределяютскорость и количествоуходящегоизпомещенийвоздуха.
Чтобыуменьшитьощущениесквозняка, площадинижнихотверстий (фрамуги, форточки) рекомендуетсяпринимать на 20% большеплощадейверхних (аэрационныефонари). Ветровоедавление на форточки и фрамуги определяют
Рв=±КаРдин.в=
± Ka(
H/2)
,
(7)
где
дин.в — динамическийнапор, создаваемыйветром,
Па;
B—
скоростьветра, м/с;
ка—аэродинамическийкоэффициентздания, зависящий от егоконструкции. Знак
« + » означает, чтопомещениенаходится с наветреннойстороныздания по отношению к господствующемуветру, а знак «-» — с подветреннойстороны.
При расчете механической вентиляции на планах помещений наносят трассу воздуховодов вентиляционной системы, намечают места установки вентиляционного оборудования и составляют расчетную схему
На каждомучасткевентиляционнойсистемыуказываютегодлинуl и расходвоздухаL. Все участкинумеруют. Затемприступают к аэродинамическомурасчетусистемы, которыйсостоит в определениисечениявоздуховодов и потерьдавления на каждомучастке. При расчетахследуетиметьввиду, чтоскоростивоздуха на участкахдолжны плавно уменьшаться по мере отдаления от вентилятора.
Потеридавления в системевоздуховодовопределяют,
где
– потеридавления на участке от трения
о стенкивоздуховода, Па;
–потеридавления
на местныесопротивления на участке,
Па.
Величина потерь на трение,
где
– коэффициентшероховатостивоздуховода;
l, d – длина и диаметрвоздуховода, м;
—
плотностьвоздуха,
;
–скоростьвоздуха, м/с.
Для упрощениярасчетоввводятудельныепотеридавл. на 1м трубопровода – Rуд.
Диаметрвоздуховодавыбираютисходяизколичествавоздуха и егоскорости на участке. Потеридавления на участкедлинойl. .
studfiles.net
Механическая вентиляция — Большая Энциклопедия Нефти и Газа, статья, страница 1
Механическая вентиляция
Cтраница 1
Механическая вентиляция более совершенна по сравнению с естественной вентиляцией, но требует значительных капитальных и эксплуатационных затрат. [2]
Механическая вентиляция — это такая вентиляция, при которой вбз-дух подается ( приточная) или удаляется ( вытяжная) с помощью специальных устройств — компрессоров, насосов и др. При механической вентиляции воздух можно пропускать через специальную систему фильтров и очищать, а в удаляемом воздухе можно улавливать вредные примеси. [3]
Механическая вентиляция устраняет недостатки естественной вентиляции. При механической вентиляции воздухообмен достигается за счет напора, создаваемого центробежным или осевым вентилятором. [5]
Механическая вентиляция имеет ряд преимуществ в сравнении с аэрацией. При механической вентиляции имеется возможность обрабатывать как вводимый, так и удаляемый воздух. [6]
Механическая вентиляция обеспечивает воздухообмен в рабочих помещениях вентиляторами или другими устройствами. Она имеет ряд преимуществ по сравнению с аэрацией. При механической вентиляции возможно обрабатывать как вводимый, так и удаляемый воздух: очищать, нагревать, увлажнять. Требуемый воздухообмен не зависит от наружных метеорологических условий и стабилен в любое время года. Недостатком механической вентиляции является значительная затрата энергии на ее осуществление: считается, что около 4 % производимой в стране энергии расходуется на вентиляцию. [7]
Механическая вентиляция по сравнению с естественной имеет ряд преимуществ: большой радиус действия вследствие значительного давления, создаваемого вентилятором; возможность изменять или сохранять необходимый воздухообмен независимо от температуры наружного воздуха и скорости ветра; подвергать вводимый в помещение воздух предварительной очистке, осушке или увлажнению, подогреву или охлаждению; организовывать оптимальное воздухораспре-деление с подачей воздуха непосредственно к рабочим местам; улавливать вредные выделения непосредственно в местах их образования и предотвращать их распространение по всему объему помещения, а также возможность очищать загрязненный воздух перед выбросом его в атмосферу. К недостаткам механической вентиляции следует отнести значительную стоимость сооружения и эксплуатации ее и необходимость проведения мероприятий по борьбе с шумом. [9]
Механическая вентиляция — вентиляция, с помощью которой воздух подается в производственные помещения или удаляется из них по системам вентиляционных каналов с использованием для этого специальных механических побудителей. [11]
Механическая вентиляция может быть приточная и вытяжная. Устройствами, обеспечивающими движение воздуха при механической вентиляции, являются центробежные или осевые вентиляторы ( фиг. [12]
Механическая вентиляция обеспечивает поддержание постоянного воздухообмена независимо от внешних метеорологических условий за счет комплекса систем воздуховодов и механических вентиляторов. Воздух, поступающий в помещение, при необходимости подогревается либо охлаждается, увлажняется либо осушается. Обеспечивается очистка воздуха, выбрасываемого наружу. Механическая вентиляция может быть приточной или вытяжной, а также приточно-вытяжной. [14]
Механическая вентиляция может быть приточной или вытяжной, а также приточно-вытяжной. [15]
Страницы: 1 2 3 4 5
www.ngpedia.ru
Механическая вентиляция — Мегаобучалка
Вентиляция с механическим побуждением может быть общеобменной и местной. Общеобменная механическая вентиляция может быть бесканальной и канальной. Наиболее распространена канальная вентиляция, она характеризуется тем, что при ней смена воздуха осуществляется принудительно осевыми или центобежными вентиляторами или эжекторными установками, перемещающими воздух по специальным каналам.
Общеобменная приточная механическая вентиляция. Эту систему вентиляции (рисунок 4) часто совмещают с системой центрального отопления. При низких температурах наружного воздуха в совмещенных системах отключение приточной механической вентиляции не допускается из-за возможного выхода из строя приборов отопления. Причиной этого являются большие потери тепла, не компенсируемые приточной вентиляцией. При общеобменной приточной системе вентиляции вне здания устраивают воздухоприемное устройство (шахту) для забора чистого воздуха. Воздухоприемное устройство может быть размещено над землей и над кровлей. Приемные отверстия (проемы) для забора наружного воздуха систем с механическим побуждением следует размещать на высоте не менее 2 м, а при размещении их в зеленой зоне — не менее 1 м от уровня земли до низа проемов. Приемные устройства для наружного воздуха следует размещать в местах, где отсутствуют загрязнения вредными газами и парами, выделяющимися в воздух в процессе эксплуатации или при аварии емкостей и аппаратов, исключена возможность попадания искр или предусмотрена защита от них.
Приемные устройства для приточных вентиляционных систем, систем кондиционирования воздуха и воздушного отопления, предназначенных для обслуживания помещений с производствами категорий А, Б и Е. Допускается проектировать общими в любом сочетании. Приемные устройства систем, обслуживающих помещения с производствами категорий В, Г и Д или вспомогательные помещения предприятий, проектируют отдельно.
Приемные устройства для наружного воздуха, подаваемого в помещения с электрическим оборудованием, смежные с помещениями с производствами категорий А, Б и Е, в которых применяются горючие газы (в том числе сжиженные), следует располагать в местах, где исключено образование взрывоопасных концентраций этих газов в воздухе.[3]
Местная приточная механическая вентиляция. Местная приточная механическая вентиляция (воздушное душирование) в ограниченной зоне создает условия воздушной среды, отличающиеся от тех, которые имеются в цехе. Воздушное душирование с подачей воздуха на места постоянного пребывания работающих следует предусматривать:
а) при тепловом облучении интенсивностью 350 Вт/м2 (300 ккал/м2 • ч) и более — с подачей наружного воздуха для поддержания параметров воздушной среды (температуры и скорости движения воздуха;
б) при открытых производственных процессах, сопровождающихся выделением вредных веществ, и невозможности устройства укрытий или местной вытяжной вентиляции для удаления вредностей — с подачей наружного воздуха для поддержания параметров воздушной среды.
Воздушные души устраивают для уменьшения вредного влияния теплоизлучения оборудования, нарушающего теплообмен организма человека, а также для разбавления загрязнений до допустимой концентрации. Эта система вентиляции нужна, если общеобменная вентиляция не может обеспечить необходимых санитарно-гигиенических условий труда на рабочих местах. Ее устраивают у рабочих мест в горячих цехах (кузнечных, термических, у прессов горячего прессования, литейных, сушильных).
Общеобменная вытяжная механическая вентиляция. Удаление воздуха из помещений системами местной и общеобменной вентиляции следует предусматривать непосредственно от мест выделения вредностей или из зон наибольшего загрязнения воздуха в помещениях с таким расчетом, чтобы потоки наиболее загрязненного воздуха не проходили через зону дыхания людей, находящихся на рабочих местах, или через зоны частого их пребывания. Для удаления вредных, пожаро- и взрывоопасных веществ (газов, паров и пыли), а также тепла и водяных паров от мест их образования и выделения следует проектировать системы местных отсосов (рисунок 5).
Рисунок -5 – Схема механической общеобменной вытяжной вентиляции:
1- станки; 2- стружко-пылеприемник; 3,4 – шиберы; 5- паро- газо-пылеприемник, удаляющий загрязнения из верхней зоны помещения; 6- магитсральные воздуховоды; 7- циклон; 8- вентилятор; 9- вытяжная шахта; 10- бункер
Местная вытяжная механическая вентиляция. Эту вентиляцию устраивают если необходимо предотвратить поступление образующихся при производственных процессах вредных и опасных выделений (газов, паров или пыли) в воздух всего производственного помещения. Выделяемые от технологического оборудования избыточное тепло, пары и пыль при поступлении в рабочую зону в больших количествах могут служить причиной заболеваний, отравлений и поражений организма, причиной пожара и взрыва, а в отдельных случаях — причиной травматизма.
Местную вытяжную вентиляцию предусматривают у станков, прессов, ванн, аппаратов, в различных соединениях трубопроводов и в других местах образования вредных выделений путем устройства различных специальных укрытий, вытяжных камер, кабин, шкафов, зонтов, панелей, бортовых и кольцевых отсосов (рисунок 6).
Местная — локализующая система вентиляции исключает распространение вредностей по помещению. Благодаря ей вредности удаляют у мест их образования путем устройства совершенных укрытий у производственных установок с обязательной компенсацией удаляемого воздуха. Местные отсосы, удаляющие вредные вещества 1-го и 2-го классов опасности от технологического оборудования, следует блокировать с этим оборудованием таким образом, чтобы оно не могло работать при бездействии местной вытяжной вентиляции. Если остановка производственного процесса при выключении местной вытяжной вентиляции невозможна или при остановке оборудования (процесса) продолжается выделение вредных веществ в воздух помещений в количествах, превышающих ПДК, установленные для рабочей зоны, предусматривают установку резервных вентиляторов для местных отсосов с автоматическим переключением.
Общеобменная приточно-вытяжная механическая вентиляция. Эта система характеризуется наличием двух систем вентиляции — приточной и вытяжной (рисунок 7). Общеобменная приточно-вытяжная вентиляция может быть без рециркуляции (разомкнутой) и с рециркуляцией (замкнутой). Разомкнутая система имеет две отдельные системы — приточную и вытяжную, из которых одна система вентиляции подает в помещение чистый воздух, а вторая одновременно удаляет из него загрязненный с предварительной его очисткой и обезвреживанием перед выбросом в атмосферу. Разомкнутые приточно-вытяжные системы вентиляции применяют в помещениях с производствами категорий А, Б, Е и в помещениях, в которых выделяются вредные пары и газы 1-го и 2-го классов опасности.
Приточно-вытяжная система в сообщающихся между собой помещениях должна быть устроена таким образом, чтобы исключалась возможность поступления воздуха из помещений с большим выделением вредностей или с наличием токсических, взрывоопасных газов, паров или пыли в помещения, где этих загрязнений меньше или нет. С этой целью в помещениях, где выделяются вредные пары и газы, приток предусматривают меньшим, чем количества удаляемого воздуха, чтобы вызвать подсос воздуха из помещений, где нет вредных выделений.
Назначение приточных систем вентиляции — возмещать воздух, удаляемый общеобменной вытяжной вентиляцией, местными отсосами и расходуемый на технологические нужды (горение, компрессорные установки, пневмотранспорт).
Приточно-вытяжная система вентиляции с рециркуляцией представляет собой замкнутую приточно-вытяжную вентиляцию, в которой воздух, отсасываемый вытяжной системой, вторично подается в помещение приточной системой вентиляции с частичной подачей свежего воздуха не менее 10—15 % подаваемого объема. Вентиляцию с рециркуляцией устраивают только в помещениях, где отсутствуют вредные, токсические, пожаро- и взрывоопасные загрязнения. Не допускается устраивать вентиляцию с рециркуляцией в помещениях с пожаро- и взрывоопасными производствами категорий А, Б, Е и в помещениях с вредными выделениями паров и газов 1-го и 2-го классов опасности.[9]
Аварийная механическая вентиляция. Аварийная вентиляция устраивается в помещениях (дополнительно к обычной рабочей вентиляции), в которых существует опасность прорыва в помещение большого количества ядовитых пожаро- и взрывоопасных веществ. Аварийная вентиляция должна, как правило, предусматриваться вытяжной.
Системы аварийной вытяжной вентиляции в помещениях с производствами категорий А, Б и Е следует предусматривать с механическим побуждением, вентиляторами во взрывобезопасном исполнении и электродвигателями, соответствующими требованиям «Правил устройства электроустановок». В помещениях с производствами категорий В, Г и Д допускается применять системы аварийной вентиляции с естественным побуждением при условии обеспечения требуемой ее производительности при любых параметрах наружного воздуха.
Если свойства взрывоопасных газов или паров таковы, что перемещение их вентиляторами недопустимо, следует предусматривать системы аварийной вентиляции при помощи эжекторов. Для одноэтажных зданий, имеющих аэрационные фонари, допускается проектировать системы приточной аварийной вентиляции, если при аварии в помещение поступают газы или пары легче воздуха.
Выброс воздуха необходимо проектировать с учетом возможности максимального рассеивания вредных и взрывоопасных веществ в атмосфере. Не следует допускать выброс воздуха в непроветриваемые участки прилегающей территории. Аварийная вентиляция должна быть сблокирована с газоанализаторами, настроенными на допустимую концентрацию вредных веществ. Система аварийной вентиляции должна включаться автоматически при остановке любой из основных систем вентиляции. Кроме того, запуск вентиляторов и открывание проемов для удаления воздуха аварийной вентиляцией следует, как правило, проектировать дистанционными или из доступных мест как изнутри, так и снаружи помещений.[9]
megaobuchalka.ru
