Нормы расхода бетона на 1 м3 конструктивного объема – 6
Сборник 6 «Бетонные и железобетонные конструкции монолитные»
1.6. В нормах приведены усредненные марки электродов.1.7. Затраты на установку металлоконструкций и стальных сердечников, применяемых в качестве жесткой арматуры, следует определять по соответствующим нормам Сборника 9 «Металлические конструкции».
1.8. В нормах учтено возведение конструкций на высоте (глубине) до 15 м от поверхности земли (за исключением конструкций специальных сооружений). При определении затрат на производство работ на отметках выше (ниже) 15 м от поверхности земли заработную плату и затраты труда следует корректировать коэффициентами, приведенными в Технической части (разд. 3, п.п. 3.1-3.4).
Нормы на возведение конструкций специальных сооружений (градирен, силосов, элеваторов, шахтных копров и атомных станций) не подлежат корректировке.
1.10. Затраты на установку анкерных болтов и закладных изделий для крепления строительных конструкций следует определять по табл. 9.
Затраты на установку анкерных болтов и закладных изделий для крепления оборудования следует определять в соответствии с Указаниями по применению расценок на монтаж оборудования.
1.11. Нормы на устройство емкостных сооружений водопровода и канализации следует применять также и при определении затрат на аналогичные по техническим требованиям и условиям сооружения (резервуары для нефтепродуктов и т.п.).
1.12. Приведенные в § 15 нормы на приготовление бетонов и растворов в построечных условиях допускается применять в исключительных случаях при удалении строительной площадки от бетонных заводов (бетонорастворных узлов) на расстояния, не допускающие транспортирования бетонов и растворов.
2. Правила исчисления объемов работ
2.1. Объем железобетонных и бетонных фундаментов под здания, сооружения и оборудование должен исчисляться за вычетом объемов стаканов, ниш, проемов, колодцев и других элементов, не заполняемых бетоном (за исключением гнезд сечением до 150х150 мм для установки анкерных болтов).
2.2. Объем подколенников следует определять, считая от верхнего уступа фундаментов.
2.3. Объем колонн следует определять по их сечению, умноженному на высоту. При этом высота колонн принимается от верха фундамента (подколонника): а) при ребристых перекрытиях — до низа плит; б) при безбалочных перекрытиях — до низа капителей (вутов).
При наличии консолей их объем включается в объем колонн.
2.4. Объем балок следует определять по их сечению, умноженному на длину, при этом:
а) длина балок, опирающихся на колонны или прогоны, принимается равной расстоянию между внутренними гранями колонн или прогонов; длина балок, опирающихся на стены, определяется с учетом длины опорных частей, входящих в стены;
б) сечение балок принимается: при отдельных балках — по полному сечению, а при балках с монолитными плитами — без толщины плиты. Объем вутов включается в объем балок.
2.5. Объем плит следует определять с учетом опорных частей, входящих в стены. При наличии в безбалочных перекрытиях вутов объем их включается в объем плит.
2.6. Объем ребристых перекрытий следует определять по суммарному объему балок и плит, а безбалочных перекрытий — по объему плит и капителей.
Объем стен и перегородок следует определять за вычетом проемов по наружному обводу коробок, объем бункеров — как сумму объемов стенок бункеров в примыкающих к ним поддерживающих балок.
2.7. Объем бетона конструкций, для которых применяются нормы с жесткой арматурой, следует определять за вычетом объемов, занимаемых жесткой арматурой (стальными сердечниками), а при замкнутых сечениях — также с учетом объемов, не заполняемых бетоном.
Объем жесткой арматуры следует исчислять делением массы металла, т, на плотность (7,85 т/м3).
2.8. Массу арматуры, устанавливаемой в конструкциях атомных электростанций, следует принимать по проектным данным без учета монтажной арматуры, предусмотренной в нормах табл. 34.
3. Коэффициенты к сметным нормам
files.stroyinf.ru
Расчет расхода материалов на 1м3 бетона
Основные компоненты
Бетон — важный элемент современного строительства. Без него не обходится возведение ни загородного коттеджа, ни крупного общественного здания. Этот материал изготавливают из воды, цемента и наполнителей. При помощи него выполняется создание фундамента, изготовление стяжки и кирпичная кладка. Долговечность и прочность конструкции зависит непосредственно от состава, плотности смеси, качества компонентов, условий выдержки, дозировки и подвижности компонентов. Если замес приготовлен неверно, то постройка подвергается риску разрушения. Чтобы строительство было эффективным, требуется точно рассчитать все расходные материалов. Это дает возможность избежать затруднительных переделок и задержек, выполнить всю работу качественно и в срок.

Расчет — наиболее важная часть строительства, так как его стоимость составляет 1/3 от стоимости строительства дома.
Особенно важно при проектировании дома рассчитать количество строительных материалов для фундамента, поскольку его стоимость доходит до трети стоимости всего дома.
Чтобы обеспечить высокое качество, необходимо тщательно определить расход компонентов на 1 м ³ (кубический м — это объем куба со сторонами в 1 м). Так, например, чтобы определить количество кубических метров, надо перемножить длину, ширину и высоту. Если длина составляет 4 м, ширина — 15 м, а высота — 1 м, то умножаем 1 на 15 и на 4. Произведение величин — 60 м³ (кубических метров, кубометров). Для приготовления понадобится следующее:
- цемент;
- вода;
- песок;
- щебень, гравий;
- бетономешалка;
- ведра;
- бадья большого размера, литровая кружка;
- листок бумаги, калькулятор.
Схема соотношения воды и цемента для приготовления.
При приготовлении расход материалов измеряют лопатой или ведром. Но даже при таком простом способе существуют свои условия добавления необходимого количества строительных ингредиентов и смешивания. Для того чтобы определить правильное количество ингредиентов, необходимо знать их характеристики. Стоит учитывать, какой марки и с какими свойствами бетон необходимо получить. От этого будет зависеть количественное соотношение компонентов на 1 м&³. Итак:
- Для песка важны объем, вес, крупность, пустотность, примеси органических и глинистых веществ, влажность.
- Для щебня — прочность, масса, влажность, пустотность, загрязненность, содержание игловатых и пластинчатых зерен.
- Для цемента — его активность, вес, начало и окончание схватывания.
- Для самой смеси — объемная масса, подвижность, прочность, водонепроницаемость, водоотделение.
Чтобы получить бетон определенной марки, необходим следующий набор материалов: 30 кг цемента, 90 кг песка, 150 кг щебня. Количество воды выражается в частях, то есть 15 л воды для данной смеси фиксируется как отношение, равное 0,5.
Гравий: отличия от щебня.
Особенности приготовления цементного раствора.
Неразрушающий контроль бетона. Подробнее>>
Расход цемента
| вид изделия | бетон, марка | цемент, марка | расход |
| простые изделия | М100 | 300/ 400 | 225 кг |
| железобетонные изделия | М150М200М300 | 300/400400500/600 | 265 кг310-380 кг380 кг |
| армированные | М400/500 | 600 | 480-530 кг |
Расход количества материалов также зависит и от воды. Соотношение воды на 1м3 при гравийном заполнителе составляет:
| бетон, марка М | цемент, марка М | водоцементное соотношение |
| 100 | 200250300 | 0,680,750,8 |
| 150 | 200250300400500600 | 0,50,570,660,70,720,75 |
| 200 | 200250300400500600 | 0,350,430,530,580,640,66 |
| 250 | 200250300400500600 | 0,250,360,420,490,560,6 |
| 300 | 250300400500600 | 0,280,350,420,490,54 |
| 400 | 400500600 | 0,330,380,46 |
Расход компонентов
Таблица расхода материалов на 1м3.
Далее можно приступать к определению необходимого количества на 1м3 гравия (щебня) и песка. Для этого из одного кубического метра вычитают сумму объемов цемента и воды. В итоге получается количество, приходящееся на песок и наполнители. Но здесь надо учесть, что песок бывает различной крупности (крупный, средний, мелкий, очень мелкий, тонкий), что влияет на соотношение компонентов.
Для определения правильного расхода материалов нужно учитывать процентное соотношение от общего количества:
| размер щебня, мм | песок, % | вода, м³ |
| 10 | 56 | 230 |
| 15 | 52 | 220 |
| 20 | 49 | 200 |
| 25 | 46 | 195 |
| 40 | 41 | 185 |
| 50 | 39 | 177 |
| 70 | 35 | 167 |
Формула расхода материалов на 1м3.
Абсолютный объем щебня и песка высчитывается исходя из приведенных процентных соотношений по формуле: объем щебня равен произведению объема смеси на процентное соотношение щебня (песка), поделенному на 100. Пример подсчета материалов на 1м3. Например, необходимо получить бетон марки 200. Размер щебня — 40 мм, масса — 2,6 кг/л, для смеси водоцементное отношение — 0,57, плотность песка — 2,63 г/см³, плотность цемента — 3,1 г/см³. При этом расход цемента равен объему воды, то есть 325 кг. Необходимые данные нужно брать по таблицам.
Далее следует вычислить объем песка и щебня. Получается 710 л: 290 л песка, 420 — щебня. Затем определяются общие расходы: для щебня — 1092 кг, для песка — 763 кг. Итак, расход компонентов на 1 м³ составляет: вода — 185 л, цемент — 325 кг, щебень — 1092 кг, песок — 763 кг. Общая масса составляет 2363 кг/м³. Конечно, для точных расчетов материала необходимы определенные навыки, которые быстро приходят с практикой.
При расчете необходимо учитывать типы и особенности состава:
- крупнопористый состоит из крупных заполнителей, воды и связующего. Заполнители используются самые различные: гравий, щебень, керамит, шлаковая пемза, топливные шлаки и другие. Песок отсутствует;
- легкие разделяются на несколько подвидов: керамзитобетон, который в качестве наполнителя имеет крупный керамзит или пемзу (пемзобетон), и шлакобетон, в состав которого входят металлургические и топливные шлаки, клинкерные аналоги, зола, горелые породы. Значительно улучшает качество смеси введение в нее извести, можно добавлять каменную муку, глину.
Полезные советы
Состав смеси и расход материалов на 1 м3- таблица.
Расход цемента на 1 м³ производится с точностью до 1 кг, а расход щебня — до 5 кг. Только при таком подсчете можно определить прочность, жесткость и подвижность, и тем надежнее и плотнее он будет;
Чтобы цемент расходовался экономнее, его марка должна быть выше марки бетона, который необходимо получить на выходе.
При добавлении воды в раствор его объем уменьшается, поэтому при расчете цемента требуется весь объем умножить на коэффициент 1,3. Так, на 1 м³ кирпичной кладки обычно требуется 0,3 м³ раствора (около 100 кг). Так, расход цемента будет равен 100 кг на 1 м³ стены.
Самой оптимальной пропорцией для 1 м³ является: 0,5 м³ песка, 0,8 м³ гравия или щебня и определенное количество цемента. К примеру, для бетона марки М200, который широко используют для формирования дорожек и заливки фундамента, необходимо 280 кг цемента. Для бетона М300, который применяют при создании лестниц, стен, плит перекрытий, необходимо 380 кг.
1pobetonu.ru
Расчет расход материалов на 1 м3 бетона
Приступая к замешиванию цементного раствора необходимо рассчитать расход материалов на 1 м³ бетона и соединить их между собой согласно технологии. При составлении пропорций нужно брать во внимание несколько важных моментов, которые были апробированы на практике.
Блок: 1/6 | Кол-во символов: 264
Источник: http://tehno-beton.ru/beton/betonirovanie/rasxod-materialov-na-1-m3.html
Таблица пропорций расхода компонентов бетона на 1 м3 смеси на основе портландцемента М400
| Компоненты бетонного раствора | Марка бетонного раствора | |||||
| М100 | М200 | М300 | М400 | М500 | М600 | |
| Цемент, кг | 183 | 263 | 338 | 444 | 500 | 533 |
| Песок, кг | 842 | 738 | 642 | 533 | 500 | 480 |
| Щебень, кг | 1282 | 1265 | 1250 | 1200 | 1150 | 1120 |
| Вода, л | 92 | 131 | 170 | 222 | 250 | 266 |
| Пропорции Ц:П:Щ:В | 1:4,5:7:0,5 | 1:2,8:4,8:0,5 | 1:1,9:3,7:0,5 | 1:1,2:2,7:05 | 1:1:2,3:0,5 | 1:0,9:2,1:0,5 |
Таблицы расхода компонентов бетона только на основе цемента М400 приведены не случайно. На сегодняшний день, частному застройщику будет проблематично приобрести цементы других марок упакованных в бумажные мешки. Цементы других марок, как правило, реализуются оптовыми партиями «насыпью» или расфасованными в мягкую тару – биг беги.
Блок: 2/2 | Кол-во символов: 770
Источник: http://salecement.ru/skolko-nuzhno-materialov-na-1-kub-betona/
Информация по назначению калькулятора
Онлайн калькулятор расчета и подбора составов тяжелых бетонов на цементном вяжущем с применением крупного и мелкого заполнителей. С учетом пластифицирующих добавок, метода уплотнения и подвижности бетонной смеси. Расчет примерный, и может отличаться от реального, в зависимости от применяемых материалов, их влажности и других характеристик. Для более точного определения пропорций необходимо производить пробный замес.
Для расчета пропорций на один замес в бетоносмесителе, необходимо указать количество бетона равное рабочему объему бетоносмесителя (60-70% от общего).
Блок: 2/4 | Кол-во символов: 614
Источник: http://stroy-calc.ru/raschet-betona
Этапы приготовления раствора
После того, как определился расход материалов на 1 м3 бетона, можно приступать к основным работам. При индивидуальном строительстве бетонную смесь производят из компонентов, которые отмеряются ведрами.

Приготовление раствора ручным методом
Отмеряя нужное количество, стоит позаботиться о сухости лопаты и ведра для сухой смеси. Чтобы получить более точные пропорции, песок или щебень в ведре нужно немного придавить и сделать плотнее по краю емкости. Отмеренные компоненты рекомендуется перемешивать в объемной таре. При этом в смеси делаются небольшие углубления, куда засыпается также отмеренный цемент. Поможет определить количество всех компонентов, а также вес бетона в 1м3 – таблица. Все составляющие тщательно перемешиваются до получения однородной по цвету массы. Затем в образованной смеси необходимо сделать отверстие в виде конуса и залить туда воду. С краев смесь ссыпается к середине. При этом вода постепенно впитывается. После растворения первой порции жидкости, вливается дополнительное количество воды. Это делается до тех пор, пока раствор не станет требуемой консистенции.

Приготовление в бетономешалке
Замес раствора в бетономешалке состоит из следующих этапов:
- Заливается посчитанное количество воды. Около 10 % оставляется на добавление позже.
- Добавляется цемент.
- Сыпется песок. Производится замешивание в течение нескольких минут.
- Добавляются добавки: армирующие смеси или пластификаторы.
- Засыпается наполнитель из щебня или гравия.

Особенности монтажа фундамента
При необходимости добавления воды, замешивается небольшое количество цемента и воды отдельно, а затем добавляются в основную смесь. Замес в бетономешалке длится не дольше чем 20 минут, чтобы смесь не схватилась внутри оборудования.

Варианты приготовления смеси
Полезная информация! Специалисты не рекомендуют делать слишком жидкий раствор. При этом в материале могут образоваться пустоты, что сильно повлияет на показатель прочности.
Блок: 3/5 | Кол-во символов: 1935
Источник: https://HomeMyHome.ru/tablica-proporcii-betona-na-1m3.html
Основные компоненты
Бетон – важный элемент современного строительства. Без него не обходится возведение ни загородного коттеджа, ни крупного общественного здания. Этот материал изготавливают из воды, цемента и наполнителей. При помощи него выполняется создание фундамента, изготовление стяжки и кирпичная кладка. Долговечность и прочность конструкции зависит непосредственно от состава, плотности смеси, качества компонентов, условий выдержки, дозировки и подвижности компонентов. Если замес приготовлен неверно, то постройка подвергается риску разрушения. Чтобы строительство было эффективным, требуется точно рассчитать все расходные материалов. Это дает возможность избежать затруднительных переделок и задержек, выполнить всю работу качественно и в срок.

Расчет – наиболее важная часть строительства, так как его стоимость составляет 1/3 от стоимости строительства дома.
Особенно важно при проектировании дома рассчитать количество строительных материалов для фундамента, поскольку его стоимость доходит до трети стоимости всего дома.
Чтобы обеспечить высокое качество, необходимо тщательно определить расход компонентов на 1 м ? (кубический м – это объем куба со сторонами в 1 м). Так, например, чтобы определить количество кубических метров, надо перемножить длину, ширину и высоту. Если длина составляет 4 м, ширина – 15 м, а высота – 1 м, то умножаем 1 на 15 и на 4. Произведение величин – 60 м³ (кубических метров, кубометров). Для приготовления понадобится следующее:
- цемент;
- вода;
- песок;
- щебень, гравий;
- бетономешалка;
- ведра;
- бадья большого размера, литровая кружка;
- листок бумаги, калькулятор.
Схема соотношения воды и цемента для приготовления.
При приготовлении расход материалов измеряют лопатой или ведром. Но даже при таком простом способе существуют свои условия добавления необходимого количества строительных ингредиентов и смешивания. Для того чтобы определить правильное количество ингредиентов, необходимо знать их характеристики. Стоит учитывать, какой марки и с какими свойствами бетон необходимо получить. От этого будет зависеть количественное соотношение компонентов на 1 м&?. Итак:
- Для песка важны объем, вес, крупность, пустотность, примеси органических и глинистых веществ, влажность.
- Для щебня – прочность, масса, влажность, пустотность, загрязненность, содержание игловатых и пластинчатых зерен.
- Для цемента – его активность, вес, начало и окончание схватывания.
- Для самой смеси – объемная масса, подвижность, прочность, водонепроницаемость, водоотделение.
Чтобы получить бетон определенной марки, необходим следующий набор материалов: 30 кг цемента, 90 кг песка, 150 кг щебня. Количество воды выражается в частях, то есть 15 л воды для данной смеси фиксируется как отношение, равное 0,5.
Блок: 2/5 | Кол-во символов: 2739
Источник: http://o-cemente.info/raschet-rashoda-betona/raschet-rashoda-materialov-na-1m3-betona.html
Технические характеристики и свойства бетона
Бетон образуется при смешивании двух компонентов: воды и цемента. При этом получается твердый цементный камень.

Замес раствора требует основательного подхода
Для более крепкого состава требуется добавление специальных наполнителей. Гравий, песок и щебень позволяет создать материал, как бы усиленный арматурой. Это влияет на улучшение прочности. При этом ослабевает свойство деформации. Без дополнительных компонентов в цементном составе образуются микротрещины.

Самый простой ручной замес
В зависимости от прочности бетона, он делится на определенные классы. Числовое значение марки и разновидность по классам определяет, для какого типа конструкции подходит данный материал.

Замешанный раствор выкладывается в более мелкую тару
Марка бетона определяется еще на этапе составления проекта.
Марки бетона и сферы их применения
Различные марки смесей применяются для определенных разновидностей строений. Расход бетона на 1 м3 бетона зависит от разнообразных факторов. При выборе песка необходимо учитывать состав его примесей и размер частиц. Для щебня значение имеет показатель плотности и содержание посторонних включений.

Свойства смеси
Марка бетона имеет значение для вида работ, для которых будет готовиться раствор. Различные виды используются для заливки фундамента, возведения стен и для бетонной стяжки.

Для разных работ требуется определенная марка
Для высококачественного затвердевания монтажные работы нужно проводить при плюсовых температурах. В течение 12 часов после заливки раствор затвердевает. Через две недели материал набирает большую часть своей прочности, а через месяц конструкция полностью готова к эксплуатации.

Подача готового раствора
Полезная информация! Не производятся работы при отрицательных температурах, так как вода в составе смеси заледенеет и утратится прочность материала.
Основные составляющие бетонного раствора
Воспользовавшись таблицей пропорции бетона на 1м3, необходимо уделить внимание составным компонентам раствора. Значение имеют их качественные характеристики:
- Цемент не должен иметь большой срок хранения. Оптимальный показатель – менее четырех месяцев. Мешки с сырьем не должны иметь затвердевших элементов.

Упаковка цемента
- Воду следует использовать только пресную.

Используется чистейшая вода
- В песке не должно быть примесей глины. Такая смесь будет иметь желтоватый цвет. Для раствора лучше использовать серый или белый песок.

Для строительных работ подходит определенный тип песка
Сколько весит куб песка? Какие существуют виды? Сколько весит один куб? Сколько помещается в кузове КАМАЗа? Подробнее читайте в отдельной публикации нашего портала.
- Щебень не должен содержать дополнительных включений. Оптимальным вариантом считается использование щебня с гранитным содержанием.

Структура щебня
Для бетонного раствора может применяться известняк или гравий. Гранит характеризуется небольшим поглощением воды и морозостойкостью. Чтобы улучшить некоторые характеристики бетона в смесь добавляются специальные добавки:
- Пластификаторы позволяют повысить пластичность материала. Гидроуплотнители защищают конструкцию от лишней влажности.
- Обеспыливатели позволяют повысить прочность сырья и уменьшить риск его истирания.
- Противоморозные добавки позволяют использовать смесь при низких температурных значениях.
- Замедлители затвердевания помогают регулировать время застывания состава.

Специальные добавки позволяют сделать состав прочнее
Расход материала: таблица пропорции бетона на 1 м3
На качество использованного бетона оказывает влияние марка цемента и назначение конструкции. Таблица пропорции бетона на 1м3 позволяет определиться с необходимым расходом материала.

Таблица расчета пропорций
Для производства бетона разных марок потребуется различное количество составляющих компонентов. Для примера можно рассчитать состав бетона м200 на 1 м3. На 10 ведер цемента понадобится 35 ведер песка, а щебня 26 ведер. Воды понадобится 5 ведер. Зная плотность каждого вещества можно вычислить его вес в ведре.

Вариант расчета в ведрах
Видео: соотношение компонентов бетона М300
Особенности приготовления раствора для фундамента
При строительстве небольших объектов стоит рассчитывать материал по ведрам. Подобный метод пригодится, если раствор используется небольшими порциями.

Расчет пропорций для качественного основания
Определяя состав бетона для фундамента, пропорции можно взять из нижеприведенной таблицы. При этом бетон подбирается для фундамента в ведрах. Показатели будут отличаться в зависимости от используемых марок.

Вариант заливки для фундамента
Важно! Основную крепость фундаменту придает заполнение в виде щебня или гравия. Нельзя использовать различные виды речной или морской гальки, так как она обладает отполированной поверхностью, что затрудняет хорошее сцепление с раствором.
Калькуляторы расчета весового и объемного количества ингредиентов бетона для заливки фундамента
Бетон М200 (класс прочности В15)
Бетон М300 (класс прочности В22.5)
Блок: 2/5 | Кол-во символов: 4907
Источник: https://HomeMyHome.ru/tablica-proporcii-betona-na-1m3.html
Какие материалы понадобятся на кубометр бетона?
Главная » Материалы для дачи.
Для тех, кто не любит большого количества букв, изложим примерный расход материалов на кубометр бетона самой популярной марки М-200:
- Цемент – 320 кг;
- Воды – 160 л;
- Песок – 763 кг;
- Щебень – 1100 кг.
Для тех, кто никуда не торопится, рассмотрим этот вопрос более подробно. Точно установленный расход материалов на 1 м3 бетона позволяет не только проследить за качеством раствора, но и выполнить следующие задачи:
- Определение потребности в материалах;
- Планирование складирования и хранения;
- Планирование расхода.
Почему значения, указанные вначале названы приблизительными? Потому что конкретные параметры расхода материалов зависят от конкретных требований, предъявляемых к конечному раствору.
Первоначально, нам необходимо определится с расходом цемента, так как это основной (наиболее дорогой) компонент бетонного раствора. Для бетона М-100 понадобится примерно 225 кг цемента марки 300 или 400 на 1 кубометр раствора. Для бетона М-150: 265 кг. Для бетона М-200: 320 кг. Для М-300: 380. Далее уже идут специфические армированные бетоны повышенной прочности, которые используются для решения специальных задач. Для них требуется цемент марки 600, и расход его составит около 500 кг.
Количество воды на кубометр бетона зависит от водоцементного соотношения, рекомендуемого при тех или иных обстоятельствах. В интернете можно легко найти соответствующие таблицы (выдержка из СНиП), где указано оптимальное водоцементное соотношение при требуемой прочности раствора. Скажем, для бетона марки М-200, данный показатель составляет 0,5 – 0,65. То есть (при значении коэффициента – 0,5), на каждые 2 кг цемента необходим 1 л воды. Для бетона М-100 водоцементное соотношение равно 0,68 – 0,8. Для марки М-300: 0,53 – 0,64.
Далее, следует песок и щебень, объем которых на кубометр раствора вычисляется методом исключения. То есть, из 1 м3 мы вычитаем объем цемента и воды, благодаря чему получаем необходимый объем песка или щебня. Для этого, очевидно, нам необходимо знать плотность цемента и воды. Если с последней проблем нет (напомним, на всякий случай, что плотность воды — 1 г / см3), то плотность цемента придется узнавать на упаковке или в интернете. Вычислить объем, зная массу и плотность труда не составит (еще раз напомним, что это отношение массы к плотности).
После этого, вычитаем полученное значение из кубометра и получаем объем песка или щебня. В зависимости от того, какой именно песок и щебень будет использоваться, может быть вычислена масса этого компонента.
- Асбоцемент: преимущества и недостатки
- Готовим опилкобетон
samanka.ru
Блок: 3/5 | Кол-во символов: 2617
Источник: http://vest-beton.ru/stati/rashod-cementa-peska-i-cshebnya-na-1m3-betona.html
Общие сведения по результатам расчетов
- Количество цемента
- Количество воды
- Количество мелкого и крупного заполнителей
- Плотность бетонной смеси
- В/Ц
- Пропорции
- Стоимость
— Общее расчетное количество необходимого цемента на весь объем.
— Общее расчетное количество необходимой воды на весь объем.
— Общее количество мелкого и крупного заполнителей на весь объем в килограммах.
— Плотность бетонной смеси в сыром состоянии.
— Водоцементное соотношение бетонной смеси.
— Относительное соотношение компонентов бетонной смеси. Ц — часть цемента; П — часть мелкого заполнителя; Щ – часть крупного заполнителя; В – часть воды.
— Стоимость каждого материала и общая на весь объем.
Блок: 4/4 | Кол-во символов: 695
Источник: http://stroy-calc.ru/raschet-betona
Полезные советы

Состав смеси и расход материалов на 1 м3- таблица.
Расход цемента на 1 м³ производится с точностью до 1 кг, а расход щебня – до 5 кг. Только при таком подсчете можно определить прочность, жесткость и подвижность, и тем надежнее и плотнее он будет;
Чтобы цемент расходовался экономнее, его марка должна быть выше марки бетона, который необходимо получить на выходе.
При добавлении воды в раствор его объем уменьшается, поэтому при расчете цемента требуется весь объем умножить на коэффициент 1,3. Так, на 1 м³ кирпичной кладки обычно требуется 0,3 м³ раствора (около 100 кг). Так, расход цемента будет равен 100 кг на 1 м³ стены.
Самой оптимальной пропорцией для 1 м³ является: 0,5 м³ песка, 0,8 м³ гравия или щебня и определенное количество цемента. К примеру, для бетона марки М200, который широко используют для формирования дорожек и заливки фундамента, необходимо 280 кг цемента. Для бетона М300, который применяют при создании лестниц, стен, плит перекрытий, необходимо 380 кг.
Блок: 5/5 | Кол-во символов: 1085
Источник: http://o-cemente.info/raschet-rashoda-betona/raschet-rashoda-materialov-na-1m3-betona.html
Видео: изготовление бетонной смеси

Экономьте время: отборные статьи каждую неделю по почте
Блок: 5/5 | Кол-во символов: 89
Источник: https://HomeMyHome.ru/tablica-proporcii-betona-na-1m3.html
Количество использованных доноров: 6
Информация по каждому донору:
- http://salecement.ru/skolko-nuzhno-materialov-na-1-kub-betona/: использовано 1 блоков из 2, кол-во символов 770 (3%)
- http://tehno-beton.ru/beton/betonirovanie/rasxod-materialov-na-1-m3.html: использовано 2 блоков из 6, кол-во символов 1225 (5%)
- http://vest-beton.ru/stati/rashod-cementa-peska-i-cshebnya-na-1m3-betona.html: использовано 2 блоков из 5, кол-во символов 9346 (40%)
- http://o-cemente.info/raschet-rashoda-betona/raschet-rashoda-materialov-na-1m3-betona.html: использовано 2 блоков из 5, кол-во символов 3824 (16%)
- http://stroy-calc.ru/raschet-betona: использовано 2 блоков из 4, кол-во символов 1309 (6%)
- https://HomeMyHome.ru/tablica-proporcii-betona-na-1m3.html: использовано 3 блоков из 5, кол-во символов 6931 (30%)
garantspb.com
Расход воды на 1 м3 бетона
Удобоукладываемость бетонной смеси | Наибольшая крупность зерен, мм | |||||||
гравия | щебня | |||||||
осадка конуса, см | жесткость, с | 10 | 20 | 40 | 70 | 20 | 40 | 70 |
| 20 — 30 | 175 | 160 | 145 | 135 | 175 | 160 | 145 |
| 15 — 20 | 180 | 170 | 155 | 140 | 185 | 170 | 155 |
| 10 — 15 | 175 | 160 | 145 | 140 | 185 | 175 | 170 |
1 — 3 | | 190 | 175 | 160 | 145 | 190 | 175 | 160 |
4 — 6 | | 200 | 185 | 170 | 155 | 200 | 185 | 170 |
7 — 10 | | 205 | 195 | 180 | 165 | 210 | 195 | 180 |
Примечания
Таблица действительна при использовании портландцемента или шлакопортландцемента и песка средней крупности водопотребностью 7 %.
При применении мелкого песка водопотребностью свыше 7 % расход воды увеличивается на 5 л на каждый дополнительный процент.
При применении крупного песка водопотребностью ниже 7 % расход воды уменьшается на 5 л на каждый процент уменьшения.
При расходе портландцемента 450 — 500 кг расход воды увеличивается на 10 л на каждые 100 кг цемента.
4. Вычисляем расход цемента на кг/м3 бетона по уже известным водопотребности бетонной смеси и водоцементному отношению по формуле:
,
где В расход воды, кг/м3; В/Ц отношение массы воды к массе цемента.
5. По табл. 4 определяем коэффициент раздвижки зерен () щебня (гравия) для пластичных смесей.
6. Определяем пустотность щебня по формуле:
,
где щ(г) истинная плотность щебня (гравия), кг/м3; н.щ(г) насыпная плотность щебня (гравия), кг/м3.
Таблица 4
Значение коэффициента для подвижных бетонных смесей
Расход цемента, кг/м3 | Значение коэффициента раздвижки зерен () в пластичной бетонной смеси на песке средней крупности с водопотребностью 7 % при В/Ц | |||||
0,3 | 0,4 | 0,5 | 0,6 | 0,7 | 0,8 | |
250 | | | 1,22 | 1,26 | 1,32 | 1,38 |
300 | | 1,28 | 1,30 | 1,36 | 1,42 | |
350 | 1,23 | 1,32 | 1,38 | 1,44 | | |
400 | 1,31 | 1,40 | 1,46 | | | |
Примечания
При применении мелкого песка с водопотребностью свыше 7 % коэффициент уменьшается на 0,03 на каждый дополнительный процент водопотребности песка.
При применении крупного песка с водопотребностью ниже 7 % коэффициент увеличивается на 0,03 на каждый дополнительный процент водопотребности песка.
При других значениях Ц и В/Ц находят интерполяцией. Для жестких бетонных смесейпринимается равным в зависимости от расхода цемента:до 400 кг1,05-1,1;400 – 500 кг– 1,1-1,2;500 — 600 кг– 1,2-1,25.
7. Рассчитываем расход заполнителей (песка, щебня, гравия) в кг на 1 м3 бетона, исходя из двух условий:
а) сумма абсолютных объемов всех компонентов бетона равна 1 м3 уплотненной смеси, т.е.:
,
где Ц, В, П, Щ(Г) расход цемента, воды, песка и щебня (гравия), соответственно, кг/м3; ц, в, п, щ(г) истинная плотность этих материалов, соответственно, кг/м3;
б) цементно-песчаный раствор заполнит все пустоты в крупном заполнителе с некоторой раздвижкой зерен, т.е.:
,
где н.щ(г) насыпная плотность щебня (гравия), кг/м3; Vпуст.щ(г) пустотность щебня (гравия) в рыхлом состоянии; коэффициент раздвижки зерен.
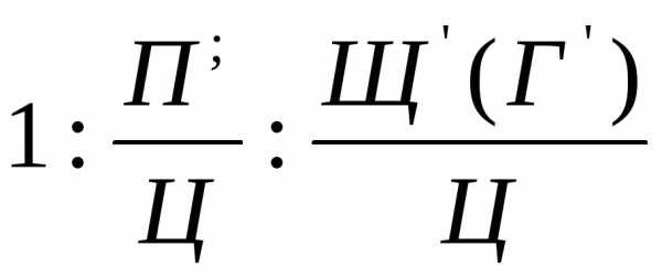
Решая совместно два уравнения, находим формулу для определения расхода щебня в кг на 1 м3 бетона:
.
Расход песка рассчитываем по формуле:
.
8. Зная расход компонентов Ц, В, П, Щ(Г) на 1 м3 бетонной смеси, вычисляем ее расчетную плотность по формуле:
;
и коэффициент выхода бетона Вб
,
где Ц, В, П, Щ(Г) расход сухих компонентов на 1 м3 бетона, кг; н.ц, н.п, н.щ(г) насыпная плотность сухих материалов, кг/м3.
Значение коэффициента выхода бетона обычно находится в пределах Вб = 0,6 — 0,75.
9. Расчет состава бетонной смеси на лабораторный замес определяют с учетом влажности заполнителей:
а) определяем расход воды в компонентах бетонной смеси по формулам:
,
,
где Щ(Г) и П расход сухих компонентов на 1 м3 бетона, кг; Wщ(г) и Wп – влажность щебня (гравия) и песка, соответственно, %;
б) пересчитаем расход воды на бетонную смесь с учетом влажности материалов:
,
где В – ориентировочный расход воды, принятый в п. 3, кг.
в) пересчитаем расход заполнителей:
;
;
.
10. Рассчитанный состав бетонной смеси выражаем в виде соотношения

при определенном водоцементном отношении (В/Ц) и активности цемента (Rц , МПа).
Примечания
Рассчитанный состав бетонной смеси выражают в виде соотношения по массе. При этом массу цемента принимают за единицу, поэтому соотношение между составными частями бетона имеет вид 1:Х:Y при определенном В/Ц и Rц.
Например, 1:2:4 по массе при В/Ц = 0,6 и Rц = 40 МПа.
studfiles.net
Норма расхода цемента на 1м3 бетона различных классов
В специальных строительных институтах опытным путем были установлены марки раствора и классы бетона, также соответствующие прочности материала на сжатие.
Классы бетона и марки строительных растворов зависят от марки цемента, а также от количества используемой воды.
Поэтому еще одной из важнейших характеристик при изготовлении является водоцементное соотношение, то есть пропорция воды и цемента, требуемая для получения того или иного класса бетона или марки раствора.
Марки цемента и классы бетона

Портландцемент
Товарный цемент подразделяется на марки, соответствующие прочности цементного камня на сжатие.
Самые распространенные марки цемента – М400 и М500.
При строительном проектировании количество необходимого бетона, а также строительного раствора рассчитывается в кубических метрах.
А учитывая то, что для выполнения работ разной степени ответственности и назначения требуются разные классы бетона и марки раствора, для правильного определения цены строительства всегда нужно знать, какое количество компонентов содержится в одном кубическом метре такого материала.
Особенно это относится к цементу. Если песок и щебень, добываемые карьерным способом, чаще всего находятся вблизи мест строительства, а их добыча малозатратна, то цена изготовления цемента и его доставки на объект, наоборот, может составлять большую часть стоимости готового изделия.
Норма расхода цемента на 1м3 бетона
Самые распространенные строительные растворы – это цементно-песчаный, а также цементно-известковый (тот же цементно-песчаный, но с добавлением гидратной извести). Марки строительного цементно-песчаного раствора по прочности и их рецептура приведены в таблице:
Таблица 1
Область применения раствора разных марок
Строительные растворы на портландцементе применяются в строительстве достаточно широко. Так, например, используются растворы с маркой:
- М50…М75 используются для кирпичной кладки и обычной штукатурки
- М100…М300 для стяжек полов, а также для высокопрочной штукатурки бетонных конструкций или наружных поверхностей кирпичной и каменной кладки, для замоноличивания стыков сборных конструкций
Норма расхода цемента на 1 м3 бетона марки 400 и др
Прочность бетона определяется его классом. Класс также определяет цели, в которых будет использоваться бетон того или иного состава. Наиболее распространенные классы и соответствующий им состав бетонной смеси (норма расхода цемента на 1м3 бетона) приведены в таблице:
Таблица 2
Цементный раствор
Раньше прочность бетона, также, как и раствора определялась его маркой, значение марки соответствовало сжимающей нагрузке в килограммах, действующих на 1 см2, при которой образец, изготовленный из такого бетона, начинал разрушаться.
Действующие в настоящее время Строительные нормы и правила заменили марки бетона на классы.
Так, классу В15 соответствовала старая марка М200, классу В22.5 – марка М300, классу В30 – марка М400.
Например, норма расхода цемента на 1м3 бетона марки 400 (класса В30), который не слишком распространен в строительстве, составляет при марке цемента М500 – около 410 кг.
Область применения бетона разных марок
Применение бетона по классам:
- В7.5…В12.5 — для стяжек и выравнивания полов
- В15…В22.5 — для фундаментов, монолитных стен, перекрытий, колонн, балок и ригелей, армирующих поясов в каменных стенах
- В25…В30 для фундаментов и перекрытий, работающих в условиях динамических нагрузок, а также для авиационных взлетных полос
Так, например, норма расхода цемента на 1м3 бетона для фундамента при его бетонировании составит от 400 до 450 кг в зависимости от марки используемого цемента.
Бетон для фундамента
Изготовление бетона и раствора вручную является, хотя и простым, но достаточно трудоемким процессом, упростить который поможет использование бетономешалки.
Еще лучше при индивидуальном строительстве воспользоваться услугами специальных организаций, производящих бетоны и растворы различных марок и классов, доставляющих его прямо на строительную площадку.
При самостоятельном изготовлении бетона или строительного раствора следует тщательно следить за проектными рекомендациями по его прочности, а также соблюдать рецептуру и пропорции.
Не рекомендуется выполнение работ при минимальной суточной температуре ниже 5 градусов по Цельсию.
Иначе составы на основе цемента могут не достигнуть заданной прочности, получатся рыхлыми и неустойчивыми к нагрузкам и атмосферным воздействиям, а работа потребует переделки или дорогостоящего усиления несущей способности изготовленной строительной конструкции.
Как рассчитать бетон — на видео:
Заметили ошибку? Выделите ее и нажмите Ctrl+Enter, чтобы сообщить нам.
foxremont.com
Расход материалов на 1 м3 бетона
Состав бетона на 1м3, расход цемента и других материалов для фундамента.
Состав бетона на 1м3, расход цемента и других материалов для фундамента.
Чтобы обеспечить бетонному раствору высокое качество, необходимо тщательно рассчитать расход всех используемых материалов, которые потребуются для изготовления куба бетона. Также, необходимо выяснить характеристики применяемых компонентов и определить марку , которая потребуется для осуществления строительных или ремонтно-восстановительных работ.
Свойства готовой бетонной смеси также будут иметь немалое значение. Только определив все эти факторы на начальном этапе подготовки , вы сможете гарантировать рациональный расход всех компонентов и качество итоговой химической, производственной, жаростойкой, высокопрочной, влагостойкой, упрочняющей или любой другой бетонной смеси для пола или для перекрытия. В этой статье я расскажу вам, какие факторы влияют на состав в ведрах или мешках, с точки зрения количественного соотношения определенных его компонентов.
1. Чтобы определить оптимальный состав в соответствии с ГОСТ или СНиП, нужно изначально выяснить, каким будет расход цемента на кубометр бетонной смеси. И здесь стоит четко себе представлять, какое бетонное изделие вы планируете получить в итоге. Надеюсь, вы уже выяснили, что входит в состав , поскольку далее мы будем выяснять, как рассчитать норму этих строительных материалов как для тощего, так и для крепкого бетона, не используя калькулятор.
Если речь идет о простых бетонных изделиях, можно использовать М100, для которого понадобится цемент марок 300-400. Номинальный расход цемента на куб в этом случае будет составлять 225 килограмм.
Если вы планируете произвести железобетонное изделие, рекомендованной маркой бетона является М150. Цемент будет все таких же марок 300-400, но уровень расхода возрастет до 265 килограмм.
Также, можно использовать бетон М200 (цемент 400-й марки с расходом на уровне 310 килограмм) и бетон М300 (цемент 500 или 600 марки, с расходом на уровне 380 килограмм).
Если вам необходимо получить напряженный армированный бетон, то выбирайте марку М400 либо М500, для которых характерна марка цемента 600 и расход на уровне 480-530 килограмм.
2. Состав бетона для фундамента будет зависеть от количества используемой воды. Этот коэффициент также носит название «водоцементное соотношение на 1м3» (не путать с 1 м2).
Для М100, который включает в себя цемент 200-й марки, водоцементное соотношение составляет 0,68 (0,75 и 0,8 для цемента марок 200 и 300, соответственно).
Для М150, также включающего в себя цемент 200-й марки, водоцементное соотношение будет составлять 0,5 (0,57 и 0,66 для цемента марок 250 и 300, соответственно).
Для М250, включающего в себя цемент 200-й марки, водоцементное соотношение составит 0,35 (0,43, 0,53, 0,58, 0,64 и 0,66 для цемента 250, 300, 400, 500 и 600 марок, соответственно).
Для М400, имеющего в составе цемент 400-й марки, водоцементное соотношение составит 0,33 (0,38 и 0,46 для цемента 500 и 600 марок, соответственно).
3. Следующий этап – определение объема щебня или песка. Расход материалов типа песка или щебня на кубометр бетона не менее важен, чем расход цемента . Чтобы узнать расход песка, нужно из кубометра вычесть сумму объемов воды и цемента, вычислив необходимое количество данных компонентов. При этом стоит учитывать, что песок может иметь разную крупность, что тоже будет оказывать влияние на состав и процентное соотношение его компонентов.
Указанный объем вычисляется по следующей формуле: объем песка или щебня равен произведению объема всей смеси на соотношение песка или щебня в смеси в процентах, разделенное на 100.
4. Давайте произведем расчет составляющих компонентов на кубометр бетона М200. Условия нашей задачи будут следующими.
Размер щебня – 40 миллиметров. Плотность песка – 2,63 грамма на кубический сантиметр. Водоцементное соотношение – 0,57. Плотность цемента – 3,1 грамма на сантиметр кубический.
Масса щебня – 2,6 килограмм на литр.
5. Расход цемента определяется равным водному объему (расход воды равен расходу цемента), а это значит, что нужное нам количество цемента по объему составит 325 килограмм. Далее высчитываем объем песка и щебня, который составит 710 литров (1000(185+(325:3,1)). Объем песка, очищенного от грунта, в нашем случае будет равняться 290 литрам ((710*41):100). Что касается объемного соотношения щебня, то по аналогичным расчетам оно составит 420 литров. Общие расходы составляют 763 килограмма для песка и 1092 килограмма для щебня. Делаем вывод о том, что в кубометре бетона нам необходимо применение 325 килограмм цемента, 763 килограмма песка, 185 литров воды и 1092 килограмма щебня.
Аналогично составляются пропорции. Объемная масса составит 2362 килограмма на кубометр. Расход бетона подразумевает проведение совершенно других расчетов с использованием таблиц.
При подборе компонентов, правильного их количества и процентного соотношения, а также в последующем проектировании и производстве изделий, следует учитывать тот факт, что итоговый материал может также включать в себя пластификаторы, арматуру, фибру, грунтовку. Их расчет лучше проводить с помощью специальной программы или карты добавок. Похожая статья:
Расход цемента на 1 м3 бетона
domisad.org
Ориентировочный состав бетонных смесей. Расход материалов | РАСХОД СТРОИТЕЛЬНЫХ МАТЕРИАЛОВ
Марка бетона | Расход материалов (в кг) на 1м3 бетона | Подвижность смеси, см | Удобоуклады- ваемость, с | |||
цемент | щебень | песок | вода | |||
Для портландцемента марки М-300 | ||||||
М-100 | 200 | 1200 | 800 | 155 | 1…2 | 35…25 |
210 | 1218 | 745 | 165 | 3…5 | 20…15 | |
220 | 1210 | 748 | 175 | 6…8 | 15…10 | |
235 | 1198 | 740 | 185 |
vest-beton.ru
Расход бетона на 1 м2 стяжки
Расход цемента на 1 м2 стяжки: как правильно сделать расчет материала
Расчет расхода цементной стяжки на 1 м2 является обязательной процедурой, которая позволяет определить точное соотношение компонентов, в частности цемента. Именно правильность полученных показателей дает возможность создать основу, отличающуюся надежностью и долговечностью. Также расход определяет финансовые затраты, которые потребуются на приобретение материалов.

Нюансы расчета
Необходимо учитывать, что расчет стяжки производится с учетом входящих в ее состав компонентов. Основными веществами являются цемент и песок, к которым примешиваются необходимые добавки. Смесь изготавливается путем добавления воды. От полученного соотношения зависит конечный результат.
На расход материала также может влиять назначение покрытия:
- Создание поверхности, которая будет использоваться в техническом помещении. Это может быть пол в подсобке или гараже.
- Заливка чернового покрытия толщиной от 80 мм. Для этой цели лучше всего подходит бетонная смесь для стяжки пола, включающая в себя крупную фракцию. Для получения меньших показателей с задачей справляется и цементно-песчаный раствор, но при условии армирования.
- Финишный вариант, который служит основой для последующей облицовки декоративными материалами. Покрытие имеет толщину от 5 до 30 мм.
Главное – правильно определить назначение поверхности, чтобы создать действительно надежную конструкцию.
Процесс подготовки для определения расхода
Перед выполнением необходимых расчетов следует провести подготовку, которая поможет добиться точного результата:
- Из помещения удаляется все лишнее, основа должна быть полностью свободной. Если требуется, то снимается старое покрытие.
- Поверхность оценивается на возможные повреждения. При наличии трещин проводится замазка шпаклевкой.
- После первоначальной подготовки выставляется нулевой уровень. Согласно проведенным замерам перепадов высот определяется конечная толщина покрытия. Именно этот показатель является одним из основных, чтобы рассчитать расход цемента на стяжку при заливке на 1м2.
Определение уровня стяжкиНа заметку! Необходимо учитывать, что значения в 1 м ² при работе со стяжкой пола не совсем правильные, поскольку поверхность имеет третий показатель – толщину. Именно поэтому первоначально определяются кубические значения.
Технология расчета стяжки
Расчет расхода стяжки начинается с выбора оптимального состава для работы. В настоящее время существуют две большие группы: готовые смеси и растворы, требующие приготовления. Первая разновидность намного предпочтительнее, поскольку она уже имеет точное количество необходимых компонентов и добавок.
Расчет готовой сухой смеси
Ввиду того что готовая сухая смесь для стяжки позволяет получить более качественный результат, она становится все популярней. Необходимо учитывать, что характеристики готовых составов разнятся, поэтому следует заранее ознакомиться с продукцией.
Характеристики, которые прописываются на упаковке готовой смеси для стяжкиНа каждой упаковке имеются сведения о расходе материала на 1 м2 при толщине покрытия в 1 или 10 мм. Для получения значений, зависящих от реальной толщины, производятся следующие действия:
- Вычисляется общая площадь помещения путем умножения длины и ширины. При сложной конфигурации целесообразно обратиться к плану дома или квартиры.
- Толщина пола переводится в метры, показатели умножаются.
- Получившееся значение делится на 0,1.
Пример расчета:
Площадь помещения 10 м2. Нужная толщина – 0,05 м.
10*0,05 = 0,5/0,1 = 5.
Примерный расход готового состава на стяжку пола в 10 мм – 14,6 кг.
14,6*5 = 73 кг сухого вещества.
Таким образом, общее количество необходимого состава на 10 м2 при толщине в 50 мм – 0,5 куба. Вода добавляется исходя из условий, которые определяются каждым производителем индивидуально.
Расход традиционного раствора
Расход материала на стяжку пола, приготовленную своими рукамиДля расчета необходимого количества состава, приготовляемого своими руками, нужно сделать следующее:
- Определяется кубическая величина, для этого площадь умножают на толщину. К примеру, 30 м2*0,04 м = 1,2 м3.
- Расход цемента на 1 м2 стяжки высчитывается из расчета одна часть цемента на три части песка.
- Общее количество частей – 4, значит, 0,3 м3.
0,3 – это часть портландцемента на площадь 30 м2 при толщине в 40 мм. На песок приходится 0,9 м3.
- Исходя из примерных данных, один кубометр цемента равен 1300–1400 кг.
1300*0,3 = 390 кг.
- Один кубометр песка – это 1625 кг.
1625*0,9 = 1462 кг.
- Для получения раствора к сухим компонентам добавляется вода, ее количество варьируется от 0,3 до 0,5 л на 1 кг цемента.
Таким образом, на 30 м2 при покрытии в 40 мм потребуется 1852 кг сухой смеси и около 200 литров воды. Соответственно, на 1 м2 необходимо 61 кг состава и 6,5 литров жидкости.
© При копировании материала ссылка на сайт http://otdelkagid.ru обязательна!
otdelkagid.ru
Сколько расходуется цемента на 1 м2 половой стяжки
Довольно частым обустройством стяжки на полу с заливкой основания занимаются люди, не имеющие строительного образования. При этом очень важно учитывать, чему будет равен расход цемента на стяжку. Правильный расчет позволит сэкономить денежные средства, так как потеря материалов должна быть минимальной, плюс к тому, поверхность пола укладывается таким образом, чтобы она смогла выдержать все нагрузки. В случаях, когда цемента на м2 окажется слишком мало, стяжка будет крошиться, а если материалов избыточное количество, то значительно увеличатся финансовые затраты, но прочность основан
vest-beton.ru
