Установка обрешетки под металлочерепицу – правильный шаг и расчет количества
как правильно сделать монтаж, шаг
Понравилась статья? Следите за новыми идеями из мира дизайна интерьеров, а так же полезных советов в нашем канале. Подписывайтесь на нас в Яндекс.Дзене. Подписаться.
Обрешетка под металлочерепицу служит непосредственным основанием для этого материала. А поскольку при ее устройстве существует масса тонкостей и нюансов, желательно доверить ее установку профессиональным монтажникам. Перед укладкой кровельного покрытия необходимо позаботиться о создании оптимальных условий для надежного и прочного настила.
А каким образом этого можно достичь, мы и попытаемся до вас донести в данной статье.
Правила устройства обрешетки под металлочерепицу
Перед тем, как правильно сделать обрешетку под металлочерепицу, следует детально изучить постулаты обустройства обрешетки, поскольку для каждого типа кровли потребуется набитие обрешетки с различным шагом.
Как правило, доски для контробрешетки под металлочерепицу имеют разную толщину. К примеру, при покупке досок для обрешетки в 30 мм толщиной, по факту будут получены элементы, ширина которых будет колебаться относительно заявляемой в пределах плюс минус 5 мм.
Подобное явление можно наблюдать практически всегда. Исключением, пожалуй, можно считать только калиброванную строганную доску. Поэтому, выполняя подготовку к тому, чтобы выполнить монтаж обрешетки под металлочерепицу, следует вначале произвести калибровку досок.
Данная процедура необходима для того, чтобы на стыках или смежных рядах обрешетки не попадались значительно отличающиеся по толщине доски, поскольку их установка приведет к перепадам, которые будут препятствовать укладке металлочерепицы.
Доска в 30мм толщиной необходима для запаса, так как допуски распиловщиков способны существенно снизить ее толщину. А из-за того, что по этой доске в будущем планируется ходить, необходимо чтобы она могла выдержать вес человека крупной комплекции.
Совет! Полуобрезную или необрезную доску при установке обрешетки под металлочерепицу использовать не рекомендуется.
Обрешетка крыши, готовая к укладке металлочерепицы
Расчет шага досок обрешетки под покрытие из металлочерепицы производят по следующим правилам:
- Шаг обрешетки под металлочерепицу подбирают в соответствии с видом металлочерепицы, потому что под различные профили необходим разный шаг.
- Расстояние между брусьями обрешетки обычно указано в инструкции к определенному типу кровли, его считают от низа первой доски до верхней точки второй.
- Значение шага между двумя первыми досками обрешетки должно быть меньшим.
- Кроме того, на шаг обрешетки для металлочерепицы может оказывать влияние как уклон ската крыши, так и величина выступа кровельного материала за первый брусок обрешетки.
- На выполнение расчета шага обрешетки, помимо прочего, может влиять отсутствие или наличие водостока, который тоже может иметь различную конфигурацию. При креплении водостока на лобовую доску, он прибавит к выступу дополнительно 30мм. Помимо прочего, важную роль отыгрывает диаметр водосточного желоба: при желобе 90мм в диаметре потребуется выступ одного размера, при 120мм в диаметре – совсем другого.
- Отсчет выступа материала для кровли выполняют от лобовой доски, если же она отсутствует – от стропильного среза. Чем круче наклон кровельного ската, тем ниже потребуется опустить металл, чтобы добиться необходимой длины выступа. Неправильный расчет может привести к тому, что для металлочерепицы обрешетка будет располагаться не там, где следует выполнять крепление металлочерепицы саморезами.
- Для правильного расчета расстояния между первой и второй доской, нужно уложить на стропило уровень 120-150см длиной, затем измерить расстояние от верхней точки первой волны до нижней части металлочерепичного листа, после чего сделать отметку.
- Затем необходимо выдвинуть уровень подобно листу кровли, после чего приставить угольник к лобовой доске и отложить на нем точку требуемого выступа, а далее довести уровень до этой точки. От края лобовой доски следует провести вертикальную линию до установленного уровня и выполнить отметку. Между обеими сделанными метками останется определенное расстояние между верхом второй и низом первой доски обрешетки с учетом уклона ската и выступа материала кровли.
- Самую первую доску необходимо выполнять толще других во избежание получения висящего выступа при закреплении кровельного материала.
- Остальные доски обрешетки при изготовлении кровли отмеряют от верхней точки второй доски через одинаковые промежутки в соответствии с кровельным профилем. Отметки для обрешетки следует наносить через каждые два стропила, поскольку доска может в итоге оказаться кривой, и потребуется ее натяжка по нанесенным меткам.
- По завершению устройства 3-4 рядов системы обрешетки остальные доски можно уложить на скат и затем брать элементы со ската. Это обеспечит некоторое удобство.
- В одном ряду доски обрешетки необходимо соединять на стропиле. Не следует укладывать доски основания под кровельный материал внахлест, как, например, при настиле шифера. Помимо этого, разбежку стыков потребуется выполнять по стропилам. Не рекомендуется всю обрешетку стыковать на одном стропиле, в противном случае конструкция не обеспечит достаточной жесткости.
Совет! При наличии ендов, расчет и укладку обрешетки производят сверху вниз, причем следует учитывать продолжительность хвоста материала кровли. В редких случаях наличие длинного хвоста потребует установку дополнительной доски для обеспечения жесткости крепления планки конька.
Инструкция по монтажу обрешетки под металлочерепицу
Теперь представим пошаговую инструкцию того, как сделать обрешетку под металлочерепицу:

Металлочерепица: обрешетка укладывается по следующей схеме
- Подбирают брус для стропил размером обычно не меньше 50*150 мм, а под обрешетку используют доски сечением не меньше 25*100 мм. Для выполнения контробрешетки подойдет доска 25*50 мм.
- Шаг стропил для укладки такой обрешетки выполняют в пределах 600-900 мм.
- Прибивают начальную доску строго вдоль карнизного свеса таким образом, чтобы она за него не выступала, четко по прямой линии. Толщину первой доски делают на 10-15 мм больше в сравнении с остальными, что требуется для компенсации разности уровней точек опоры первого и последующих черепичных модулей.
- Шаг обрешетки металлочерепица предполагает такой, чтобы расстояние от доски, которая выходит на карниз, было на 50 мм меньшим, чем между всеми последующими – в 300 либо 400 мм. Шаг между остальными досками обрешетки делают равным шагу профиля укладываемой металлочерепицы, то есть 350 либо 450 мм.
- Чтобы проверить правильность расстояния от первой до второй доски обрешетки, на земле раскладывают два дощатых обрезка в параллельном друг другу положении и на определенном расстоянии (или наживляют их прямо на обрешетку), после чего накладывают на них элемент черепицы и таким образом определяют, достаточным ли является выступ черепицы для обеспечения нормального стока воды. Выступ больше положенного может привести к переливам воды через желоб, тогда как слишком маленький – приведет к задуву воды между желобом и лобовой доской. Помимо этого, есть вероятность деформации листов под чрезмерной снеговой нагрузкой.
- Всю разметку выполняют при помощи рулетки, начиная с первой доски, которая выходит на карниз.
- Далее выполняют крепление торцевых и коньковых планок.
- Ветровую доску устраивают выше обрешетки на высоту металлочерепичного листа. Высота листа в зависимости от вида черепицы колеблется от 35 до 55 мм.
- Для надежного крепления конька, в местах его присоединения прибивают дополнительные доски 25*100 мм, что требуется для упрощения его дальнейшей установки.
При планировании организованного водостока с кровли, перед монтажом кровельного покрытия потребуется установка кронштейнов для прикрепления желобов. Карнизную планку также монтируют перед установкой металлочерепицы по кровельному свесу.
В начале определяют места прикрепления кронштейнов. Их устанавливают с шагом в 500-600мм относительно друг друга и крепят на нижнюю доску обрешетки.
Сначала монтируют крайние кронштейны так, чтобы уклон желоба составлял 5 мм на 1 м длины, после чего натягивают шнур для ровной установки остальных кронштейнов.
Вставляют желоб и закрепляют его на кронштейнах, крепят к обрешетке карнизную планку таким образом, чтобы нижним краем планки перекрывался край желоба. Это обеспечит сток конденсата в желоб с планки. По длине нахлест карнизных планок должен составлять не меньше 100 мм.
Правильно устроенная обрешетка для металлочерепицы позволит без лишних усилий выполнить настил кровельного покрытия и обеспечить надежную защиту от влаги.
Обрешетка под металлочерепицу: монтаж, шаг, расчет
Содержание статьи
Монтаж обрешетки под металлочерепицуНа сегодняшний день металлочерепица является одним из самых современных и практичных кровельных материалов. Срок ее эксплуатации зависит не только от качества листов, но и правильности их укладки. И в этом случае многое будет зависеть от того, насколько грамотно выполнена обрешетка под металлочерепицу, какой шаг выдержан при ее реализации.
Обрешетка – основа для монтажа кровельного материала. Конструкция позволяет равномерно распределить вес на несущие стены дома, стропильную систему. Если установка обрешетки выполнена правильно, то строение не даст трещин в стенах, а его усадка будет равномерной.
Кровельные работы характеризуются рядом важных особенностей и чёткой последовательностью действий. Без ознакомления с этими предписаниями создать действительно надёжную и красивую кровлю будет весьма затруднительно.
Устройство обрешетки
Обрешетка для металлочерепицы представлена конструкциями 2-х типов: решетчатыми и сплошными. При выборе учитывается как волна профиля, так и размер листа. Если речь идёт о сплошном каркасе под черепицу, то доски идут вплотную друг к дружке с зазором в 1 см (для обеспечения внутренней вентиляции).
Виды обрешеткиКак правило, применяется решетчатый настил. Он гораздо практичнее и экономичнее сплошного. Для создания деревянной конструкции требуется меньше строительного материала, да и вес получается небольшим.
Рекомендации по монтажу обрешетки крыши
Специалистам известно, что монтаж обрешетки под металлочерепицу осуществляется 3-3.5 мм гвоздями, длина их должна быть в 2 раза больше, чем толщина обрешеточных досок. Каждый лист крепится парой гвоздей у краев, предельно близко к стропильной оси.
Обратите внимание! Самое пристальное внимание необходимо уделить ряду досок, расположенному у карниза. Они должны фиксировать как можно надёжнее, поскольку по ним будут выравниваться остальные элементы. Первые 2-е рейки следует устанавливать с минимальным шагом
.
Крепление реек у карнизаДля контроля по уровню необходимо закрепить несколько деревянных обрезков на устройстве контробрешетки. Профильный лист укладывается сверху. Корректировать его расположение необходимо таким образом, чтобы определить выступ в конструкции металлочерепицы.
Специалисты настоятельно рекомендуют устанавливать обрешетку исключительно по факту завершения гидроизоляционных работ. Крайне важно обеспечить хорошую вентиляцию кровли. На этапе монтажа обрешетки следует пользоваться гидроизоляционным материалом, дабы нивелировать вероятность образования влаги и конденсата на кровельном материале с изнаночной стороны.
Размер самих листов никакой роли не играет. Металлочерепица со стороны теплоизоляционной прослойки исключит опасность скопления нежелательной влаги, что очень часто случается вследствие атмосферных колебаний.
Рекомендации по выбору материала
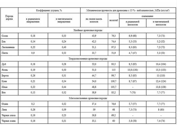
В преобладающем большинстве случаев обрешетка крыши под металлочерепицу выполняется на основе пихтовых, елевых или сосновых пиломатериалов. Если в вашем регионе преобладают лиственные породы деревьев, можно воспользоваться и ими. Профессионалы отдают предпочтение сосне. Она характеризуется прекрасным запасом по прочности, оптимальной твёрдостью, податливостью к обработке и кровля при этом обходится дешевле по цене.
Используемая древесина для обрешеткиПри выборе пиломатериалов рекомендуем ориентироваться на решения, где отсутствуют следы жизнедеятельности насекомых, нет намёка на гниль, а структура древесины хорошо высушена. Размер самих досок может быть разным, а вот их толщина должна быть одинаковой. Сырая древесина с высокой вероятностью перекосится, растрескается или закрутится уже через 2-3 месяца.
Размер досок для каркаса может варьироваться в больших пределах. Какой выбрать? – Все зависит от объекта строительства и его архитектурной сложности. Если речь идёт о простой крыши, подойдут доски 25х100 мм. Декоративная металлочерепица с толстой оцинковкой увереннее лежит на деревянных брусках 32х100 мм. Конструкции, где проектом предусмотрен большой шаг стропильной системы, потребуют бруса 40х60 мм.
Определяемся с инструментами
Требуемые инструменты для монтажаХороший инструмент – залог качества работ. Для монтажа обрешетки следует подготовить следующие приспособления:
- строительный уровень и рулетка;
- ножовка по дереву;
- столярный молоток среднего размера;
- болгарка;
- аккумуляторный шуруповерт;
- карандаш.
Профессионалы рекомендуют предварительно подготовить несколько шаблонов, поскольку работать с ними на порядок эффективнее, чем замерять каждый раз по новой.
Расчётные данные
Расчет обрешетки под металлочерепицу требуется для уточнения общего количества материала, необходимого для создания конструкции. Очень важно учитывать не только расчёт шага отдельных элементов, но и размер ската. У конька карниза фиксация кровельного материала осуществляется 2-я досками, благодаря чему настилу придется необходимая прочность.
Расчет обрешетки под металлочерепицуУчастки, где имеет место быть соединение с трубами, следует в обязательном порядке усилить (ровно, как и зоны расположения вентиляционных коробов, слуховых окон). К итоговому значению прибавляют 10%, поскольку размер пиломатериалов в процессе подгонки будет изменяться. Запас в случае с деревом просто необходим.
Как определить шаг обрешетки
Как правильно определить шаг для обрешетки? В первую очередь следует отметить, что монтаж кровельного материала проводится только на гладкое основание. Следовательно, металлочерепица лучше всего прилегает на откалиброванные доски.
шаг обрешеткиПрофессиональные мастера советуют использовать обрезную доску размером 3х10 см или же брус 4х6 или 5х5 см. Если черепица весит много, то целесообразно применять брус большей толщины и меньший шаг стропил. Помимо этого учитывается конкретный тип профиля, длина волны.
Устройство обрешетки под металлочерепицу может быть с разным шагом, поскольку профиль с волнами у каждого производителя отличается. Для несложных загородных объектов средней высоты достаточно листов в 0.4-0.5 мм толщиной, при этом размер обрешеточной доски может не превышать 25х100 мм. Шаг стропильной системы делают в пределах 0.6-0.9 м.
Аналогичное расстояние между обрешеткой используется и для материала, толщиной от 0.5 мм. Что касается стропильного шага превышающего 1 м, то он применяется в порядке исключения из правил.
Последовательность монтажных работ
монтаж обрешетки крыши под металлочерепицуСхема обрешетки под металлочерепицу состоит из нескольких шагов:
- Монтируется стропильная система.
- Основание покрывается слоем гидроизоляции (закрепить его можно при помощи степлера). Соседние полотна должны перекрывать на 10-15 см.
- На стропильные ноги осуществляется набивка контробрешетки.
- Руководство по установке включает в себя обязательный монтаж стартовой доски. Следует отметить, что первая доска должна изначально быть толще остальных в среднем на 2 см.
- Для разметки шага используют заготовленные шаблоны или же рулетку с карандашом.
- Пошаговая инструкция предполагает фиксацию кровельного материала саморезами (для каждого элемента – 2 гвоздя).
- Фронтальные доски располагают несколько выше по уровню, чем листы металлочерепицы (в большинстве случаев на 3-5 см).
Крепление кровельных элементов к основанию обрешетки
Основание под металлочерепицу своими руками реализовать достаточно просто, особенно, если чётко соблюдать последовательность действий, представленную выше. Для стандартной двускатной крыши кровельные листы фиксируются у торца, если выбор пал на шатровую конструкцию. Замок для каждого черепичного листа покрывается следующим.
Фиксация кровельного материала осуществляется кровельными шурупами. Производительность труда можно увеличить, если воспользоваться электродрелью с соответствующей насадкой. На 1 кв. м. приходится не более 8 шурупов.
Как крепить кровельные элементыНа участках, где листы перекрываются между собой (на 2.5 см), их необходимо установить по рисунку. Фиксация в нахлестах предполагает на каждой 2-й волне под основанием поперечного рисунка. Свой процесс необходимо организовать таким образом, чтобы минимизировать передвижение по профилю. Наступать можно исключительно на волновые прогибы.
Под коньком устанавливаются уплотнительные ленты, они же располагаются на участках стыков. Если применяется гидроизоляционный материал, ленту можно не применять. Представленная выше схема крепления справедлива для всех видов металлочерепицы. В некоторых случаях инструкция может корректироваться, но здесь все зависит от конкретного производителя.
Обрешетка под металлочерепицу видео инструкция
Рекомендации профессионалов о том, как сделать обрешетку под металлочерепицу своими руками, а также как крепить кровельный материал на такую конструкцию, представлены на видео ниже.
Если есть такая возможность, монтажные работы лучше делегировать специалистам. Качество кровельных мероприятий в значительной степени определяет срок эксплуатации крыши. В доме всегда должно быть тепло, уютно и спокойно, вне зависимости от погоды за окном. А с капризами природы легко справиться, если «крыша» над головой не протекает.
ahbanya.ru
Обрешетка крыши под металлочерепицу — как сделать? Расстояние между обрешеткой под металлочерепицу.
Кровля будет служить довольно долго и надежно убережет от осадков обитателей здания, если правильно соблюдена технология ее монтажа.
В частных домах наиболее распространен двускатный тип кровли, как самый надежный и практичный, однако, прежде чем будет уложен самый верхний слой и он же самый главный, потребуется выполнить качественную обрешетку на стропилах, воспринимающую все нагрузки.
Обрешетка крыши под металлочерепицу

Различают два типа каркаса под кровлю:
- Сплошной – доски, на которые будет опираться металлочерепица, укладывают с шагом не более чем в сантиметр;
- Решетчатый настил – для укладки используются деревянные балки, укладываемые на стропила с шагом около 350 мм;
Первый вариант используется довольно редко, так как расходы времени и материала значительно возрастают, при том, что эффективность не отличается, для такой конструкции используется брус 50х50 мм.
Решетчатый настил выполняется из брусьев с ребрами в 25 или 30 мм, при этом, в обоих случаях, ширину пролетов между стропилами необходимо подбирать исходя из уже имеющейся в наличии столярки.
Укладка начинается с контробрешетки – к стропилам, с наружной стороны крепится гидроизоляционная пленка, при помощи степлера, поверх нее монтируются доски при помощи саморезов или гвоздей. Таким образом обеспечивается необходимый вентиляционный зазор, что исключает образование конденсата.
В местах мансардных и слуховых окон, ендов и дымоходов, контробрешетка укладывается сплошным настилом, для компенсации жесткости. Укладка обрешетки начинается сверху от конька, брусья крепятся к стропилам с помощью саморезов, а в самом низу, после окончания монтажа, устанавливается карнизная планка.
Как сделать обрешетку под металлочерепицу?

Прежде чем вид здания облагородится новой кровлей из металлочерепицы, всегда имеющей парадный вид, потребуется выполнить подготовительные работы и в частности, сделать обрешетку на стропилах, на которую будут опираться листы металлического профиля.
Для обрешетки используют деревянные доски, как обрезные, так и не обрезные, крепящиеся к стропилам саморезами.
В отличие от шифера, который обладает лучшими теплоизоляционными способностями, металл очень хорошо проводит тепло, и при отоплении чердака без должной гидро и теплоизоляции, можно получить большое количество конденсата, скатывающегося по внутренней стороне кровли.
Для неотапливаемых чердаков сперва закрепляют на стропилах полиэтиленовую гидроизоляцию и сверху на нее укладывают деревянную обрешетку из досок 30х100 с шагом в 350 мм.
Укладка начинается сверху от конька и внизу оканчивается установкой карнизной планки. Для неотапливаемых чердаков, со свободным доступом воздуха, обрешетку допускается укладывать без гидроизоляции.
Расстояние между обрешеткой под металлочерепицу

Установка обрешетки под металлочерепицу – это один из наиболее важных этапов при монтаже кровли, так как от правильности выполнения технологии зависит, насколько долго и качественно она будет эксплуатироваться.
Выполняется обрешетка из деревянного бруса с шириной 100 мм и высотой в 30-35 мм. Приобретение необходимого количества материала необходимо выполнить до установки стропил, и исходя из длины приобретенного бруса, определить количество стропильных пролетов и их длину.
Перед монтажом обрешетки выполняется гидроизоляция из полиэтилена, прикрепляемая степлером к стропилам, а поверх нее укладывается контробрешетка создаваемая из брусьев 50х50 мм, крепимых к стропилам саморезами.
На контробрешетку укладываются доски обрешетки с шагом около 350 мм. Укладка начинается сверху от конька, для крепежа используют саморезы или оцинкованные гвозди, постепенно спускаясь к карнизу.
Также вам будет полезно:
После окончания монтажа обрешетки, нижняя граница стропил окантовывается карнизной планкой, защищающей древесину от попадания воды.
Также посмотрите видео ролик по установке обрешетки под металлочерепицу
Твитнутьurokremonta.ru
