Как установить трехходовой клапан в системе отопления – Для чего нужен трехходовой клапан для отопления с терморегулятором?
Что такое трёхходовой клапан — виды и принцип работы. Жми!
Давать тепло в нужном месте – главное требование к системе отопления. В квартирах этот вопрос можно считать решенным.
В частных домах иногда хочется дополнительно оборудовать пол с подогревом. Причем не всегда электрическим. Вот здесь и начинаются проблемы.
Температура пола и радиатора обогрева не может быть одинаковой. Чтобы этого не происходило, в системе отопления устанавливается трехходовой клапан. Благодаря ему распределение тепловых потоков будет обеспечено. Пол теплый, радиаторы горячие – в доме тепло. Наличие такого устройства в системе ГВС (горячего водоснабжения) просто необходимо.
Устройство
Конструктивно он представляет два соединенных двухходовых крана в одном корпусе.
Но в отличие от них полностью водяной поток горячей воды не перекрывается, а регулируется интенсивность его прохождения. За счет этого меняется температура горячей воды.
Основные детали клапана:
- корпус;
- шток с запорной шайбой или металлический шарик;
- гайки крепления (муфты).
Клапаны со штоком позволяют автоматизировать управление посредством электромеханического привода. Это позволяет автоматически регулировать температуру воды. Шариковый клапан по принципу действия можно сравнить со смесителем на кухне. Они используются только в клапанах с ручным управлением.
Примите к сведению: выбирая кран, следует обратить внимание на материал, из которого сделан корпус. Латунный более легкий и долговечный в сравнении с чугунным.
Виды
Они различаются по способу управления.
Условно можно поделить на клапаны:
- с ручным управлением;
- с термоголовкой;
- с электроприводом;
- гидравлические;
- пневматические.
В частном доме наиболее приемлемым будет клапан с электроприводом.
Установленные внутри датчики выдают команду через контроллер на привод, если изменяются контролируемые параметры воды. В результате становится теплее, или наоборот, прохладнее.Термосмесительный эффект происходит автоматически. При этом не важно, какой котел установлен в системе – газовый или твердотопливный.
Совет мастера: не рекомендуется выбирать клапан с ручным управлением. В этом случае управлять обогревом дома будет затруднительно.
Если нет возможности в системе отопления установить регулируемый клапан, то лучшим решением в этом случае станет клапан с термоголовкой.
Работа
Принцип работы клапана заключается в смешивании потоков воды с разной температурой. Для чего это нужно делать?
Если не вдаваться в технические подробности, можно ответить так: для продления срока службы отопительного котла и его более экономичной работы.
Трехходовой клапан смешивает нагретую воду с остывшей после прохождения по отопительным приборам и направляет ее снова в котел для нагрева. На вопрос, какую воду нагреть быстрее и легче – холодную или горячую – в состоянии ответить каждый.
Одновременно со смешиванием клапан потоки еще и разделяет. Возникает естественное желание автоматизировать сам процесс управления. Для этого клапан оснащается термодатчиком с терморегулятором. В этом случае лучше всего здесь справляется электрический привод. От устройства привода зависит качество функционирования всей системы отопления.
Обратите внимание: автоматический трехходовой клапан, установленный в системе отопления позволяет получить до 50% экономии топлива.
Особенности монтажа
Термостатический смеситель устанавливают в систему отопления в смесительном узле при одно – или многоконтурном распределении тепла.
Таких контуров может быть несколько. Принципиальная схема не изменится. Добавятся лишь новые элементы.
Например, смесительный узел. Наличие дополнительного контура распределения теплоносителя является его главной отличительной особенностью. Зачем он нужен? Для подключения дополнительных теплопотребителей. Например, теплого пола.
При выполнении монтажных работ по установке клапана необходимо помнить, что он устанавливается перед насосом системы. От соблюдения этого требования зависит работоспособность всей системы.
Во время врезания клапана нужно следить, чтобы в него не попали отходы сварки (шлак, капли расплавленного металла). Так же необходимо предусмотреть возможность легкого снятия клапана в процессе его эксплуатации. Такое действие понадобится при периодической проверке его работоспособности.
Совет специалиста: монтаж системы отопления в доме должны проводить квалифицированные исполнители.
Выбор
Чтобы правильно выбрать клапан нужно учитывать очень много различных нюансов.
В первую очередь:
- количество контуров в отопительной системе;
- конструктивная особенность управления клапаном;
- диаметр входного патрубка;
- пропускная способность трубопроводов системы отопления;
- материал, из которого изготовлен клапан.
С количеством контуров системы отопления легко разобраться самостоятельно. С остальными моментами выбора все обстоит намного сложнее. Чтобы узнать, как устроен и работает трехходовой клапан, достаточно вникнуть в этот вопрос. А для того, чтобы правильно определить даже его размеры, необходимо иметь понятие в термодинамике.
Совет от редакции: лучше такой сложный вопрос, как выбор клапана, доверить специалисту. От правильно сделанного выбора будет зависеть работоспособность системы отопления.
По своей сути 3-ходовой клапан является вентилем с термостатической головкой.
При автоматизированном приводе управления он в состоянии распределять потоки горячей воды в нужном направлении и в необходимом количестве.
Вентили с подобной задачей справиться не в состоянии, что говорит о необходимости наличия трехходового клапана в системе отопления. Используя клапан в системе отпадает необходимость придумывать какой-то выносной пульт управления ею. Все делается без участия человека.
Смотрите видео, в котором опытный пользователь подробно разъясняет принцип работы и устройство трехходового клапана для системы отопления:
основные виды, принцип работы и схема установки
Только тщательно продуманная система обогрева дома позволит обеспечить комфортные условия проживания. Кроме теплогенератора, трубопровода и радиаторов, в ее состав входит и запорно-регулирующая арматура. Среди этих устройств особое внимание стоит уделить трехходовому клапану для отопления с терморегулятором. Схема его монтажа и принцип действия зависят от выбранной модели.
Основные виды
Внешне изделие напоминает тройник, но имеет совершенно иную конструкцию. Отличаются эти устройства и областью применения. Трехходовые клапаны принято классифицировать в зависимости от принципа действия:
-
Переключающие. - Смесительные.
- Разделительные.
Устройство первого типа легко отличить от остальных — оно оснащено дополнительным блоком, благодаря которому и выполняется переключение. Чаще всего эти клапаны используются в двухконтурных системах обогрева для перенаправления теплоносителя от бойлера к системе отопления и наоборот.
Остальные виды устройств предназначены для смешивания или разделения потоков соответственно. Так как визуально они похожи друг на друга, то на корпус клапана производителем наносится схема, с помощью которой и определяется назначение прибора.
трёхходовой клапан для систем отопления
Принцип действия и устройство
Сначала стоит разобраться с конструктивными особенностями трехходового клапана. Корпус прибора состоит из трех патрубков, между которыми расположена камера смешивания. В верхней части корпуса установлена термоголовка. Задачей этого элемента конструкции является контроль температурных параметров теплоносителя. Терморегулятор соединен с подпружиненным штоком, на котором находится два плоских клапана, имеющих круглое сечение. Их размер соответствует диаметру седел патрубков. Также возможно и другое конструктивное исполнение — вместо двух плоских клапанов установлен один шаровый.
Что касается принципа работы трехходового клапана в системе отопления, то разобраться в этом вопросе будет довольно просто. При увеличении давления на шток он опускается, и клапаны частично перекрывают поток теплоносителя в нижнем патрубке, одновременно открывая подачу в верхнем. При подъеме штока наблюдается обратный процесс. Осталось разобраться с особенностями управления трехходовым клапаном по температуре.

Вполне очевидно, что воздействующие на шток силы возникают благодаря работе терморегулятора. Внутри этого элемента конструкции находится тепловой датчик, заполненный особой жидкостью. Она обладает высоким показателем термочувствительности. При нагреве теплоносителя жидкость расширяется и поступает по капиллярной трубке в емкость, также расположенную в термоголовке. Это приводит к расширению самого резервуара, создающего давление на шток.
Чтобы прибор не реагировал на малейшие колебания температуры теплоносителя, необходимо предварительно настроить терморегулятор на нужную степень нагрева с помощью специальной шкалы. Таким образом, после реакции штока на изменение температуры теплоносителя открывается нижний вход подачи холодной воды. В результате жидкости смешиваются внутри прибора до заданных тепловых параметров.
Если же теплоноситель продолжает нагреваться, то шток может опуститься до нижней точки, полностью перекрыв подачу горячей жидкости, создавая одновременно максимальный поток холодной. Как только температурные показатели теплоносителя в системе достигнут нужного показателя, шток поднимется и перекроет патрубок с холодной жидкостью.
Это принцип работы смесительного клапана, а в разделительном все происходит наоборот — в прибор поступает один поток теплоносителя, а выходит из него уже два.
Трехходовой клапан. Устанавливаем правильно.
Типы приводов
Отличаться приборы могут и видом приводного механизма. Выбор конкретной модели влияет на удобство эксплуатации всей системы обогрева строения. Наибольшей популярностью пользуются приборы с термостатическим приводным механизмом и электроприводом.
Термостатический является наиболее простым. Принцип его работы основан на расширении жидкости, содержащей термоактивный элемент. Более сложная конструкция предполагает наличие выносного термодатчика, устанавливаемого в трубопровод. Для соединения датчика с приводом используется капиллярная трубка. Второй тип привода позволяет проводить тонкую настройку температурных показателей теплоносителя в системе обогрева.
В быту трехходовой кран с сервоприводом для отопления применяется довольно редко из-за своей стоимости. Управление приводным механизмом осуществляется контроллером, в котором установлены термодатчики. С помощью электрического приводного механизма можно программировать температурный режим работы системы обогрева в зависимости от времени суток.
Особенности выбора
На рынке можно найти большое количество моделей трехходовых клапанов от разных производителей. Это существенно затрудняет выбор конкретного прибора. Чтобы упростить задачу, стоит воспользоваться несколькими общими рекомендациями:
- Ориентироваться нужно на продукцию известных брендов.
- Максимальным сроком эксплуатации обладают приборы, изготовленные из латуни или меди.
- Клапаны с ручным управлением отличаются невысокой стоимостью, но при этом обладают слабым функционалом.
Однако этих рекомендаций недостаточно, чтобы определиться с конкретной моделью прибора. При его выборе крайне важно учитывать технические характеристики системы отопления, в которую он будет монтироваться. Среди них наиболее важными являются:
- Максимальная температура в точке установки клапана.
- Показатель давления в системе.
- Объем теплоносителя, проходящий через прибор.
9 Принцип работы трех ходовой вентиль
Эффективно работать сможет лишь тот клапан, который имеет достаточную пропускную способность. Этот параметр указывается в инструкции для всех моделей, его лишь нужно сравнить с производительностью системы подачи воды в доме. Вполне очевидно, что в помещениях с небольшой площадью использовать трехходовые клапаны с терморегулятором нецелесообразно.
Рекомендации по монтажу
Хотя процесс установки агрегата в систему обогрева может показаться простым, есть несколько нюансов, о которых стоит знать. Перед началом работ по установке следует внимательно изучить инструкцию, что позволит избежать большого количества проблем. В первую очередь это касается правильного расположения прибора. На его корпусе находятся стрелки, указывающие направление движения теплоносителя. Устанавливать устройство необходимо в соответствии с этими указаниями
Также нельзя монтировать прибор термоголовкой или приводом вниз. Перед тем как приступить к установке, нужно перекрыть подачу теплоносителя и проверить трубопровод на наличие остатков воды. Не менее важным пунктом является и выбор места монтажа, ведь к устройству необходимо обеспечить свободный доступ.

Установка смесительного клапана
Существует несколько схем монтажа, а их выбор зависит от способа присоединения системы отопления. Если условия функционирования теплогенератора допускают перегрев обратки, то появления избыточного давления не избежать. В такой ситуации необходимо установить перемычку, которая будет дросселировать чрезмерный напор теплоносителя. Она монтируется параллельно клапану.
Если прибор подсоединяется непосредственно к теплогенератору, то предстоит врезать балансировочный клапан. Именно такая схема подключения трехходового крана в системе отопления чаще всего используется в автономных системах обогрева. Следует помнить, что она не может гарантировать отсутствия циркуляции теплонесущей жидкости через источник. Для решения поставленной задачи к его контуру стоит подсоединить циркуляционный насос и гидравлический разграничитель.

Врезка разделительного прибора
Если температура теплогенератора выше, чем требуется потребителю, в систему монтируется разделительный клапан. В результате достигается постоянный расход теплоносителя в контурах котла и потребителя, но в последний не поступает перегретый теплоноситель. Для работы такой схемы потребуется насосная установка.
Таким образом, можно дать несколько рекомендаций по монтажу:
- Во время установки любого клапана перед изделием и после него должны быть вмонтированы манометры.
- Чтобы в прибор не попали различные примеси, перед ним нужно поставить фильтр.
- Корпус клапана не должен подвергаться никаким нагрузкам.
- Чтобы улучшить процесс регулирования, перед изделием можно установить дросселирующее приспособление.
Использование прибора позволяет рационально расходовать теплоноситель, обеспечив тем самым экономию энергоносителя. Кроме этого, изделие способно повысить безопасность эксплуатации теплогенератора. Но перед приобретением клапана следует убедиться в целесообразности его установки.
Термостатический смесительный клапан Afriso ATM
oventilyacii.ru
Трехходовой клапан для отопления: установка смесителя с терморегулятором
Трехходовой смесительный кран нужен в системе отопления для разделения, смешения, перенаправления потоков теплоносителя с различной температурой, чтобы на выходе получить оптимальную температуру в системе.
Устройство используется в смесительных и разделительных узлах отопительных систем. Теплообменник котла нагревает воду до определенной заданной температуры, которая поступает в систему без изменения температуры. Цель использования устройства – поддержание стабильной различной температуры в разных контурах, зачем и нужен клапан в системе, в которой присутствует как минимум 2 контура: малый котельной и большой для теплообменников.
Важно! Смесительный кран обязательно необходимо устанавливать, если котел работает на твердом топливе. В отопительных контурах с таким котлом наблюдаются существенные перепады температуры.
Устройство трехходового клапана и принцип работы
Клапан представляет собой тройник, в котором 2 отверстия входные, и одно – выходное. В первые два поступает горячий и холодный теплоноситель, который, смешиваясь до нужной температуры, через выходное отверстие идет в систему. Корпус трехходового клана изготавливается из металла: латунь, сталь, чугун, или из другого материала, покрытого антикоррозийным сплавом.
В качестве регулирующего элемента внутри корпуса установлен шар или шток, который выполняет функцию «выключателя»: когда температура потока выходит за рамки заданных, он перекрывает сообщение между каналами. Непосредственно управление работы происходит благодаря внешнему приводу. Виды трехходовых клапанов различаются исходя из его типа.
У шаровых клапанов большая пропускная способность по сравнению со штоковыми. Соответственно, у шарового крана внутри создается меньшее гидравлическое сопротивление.
Факт! Смесительный клапан может быть без управляющего элемента, его можно регулировать самостоятельно. У такого тройника обычно установлена специальная ручка. Это неудобно и может вызвать некорректную работу системы отопления. Лучше выбирать устройство с автоматическим управлением. Если есть желание обойтись без сервопривода, следует установить на кран вентиль с термоголовкой.
Принцип работы термовентиля: датчик приводит в движение запорное внутреннее устройства клапана при нарушении температурного режима теплоносителя. Минусы термостатического клапана: корректная работа только для простых контуров малых помещений.
Какие существуют виды трехходовых клапанов
h3_2
Конструкция устройства неизменна – металлический тройник. Различаются клапаны по типу управления:
- Гидравлический;
- С термоголовкой;
- Пневматический;
- Электрический (с электроприводом).
Принцип работы гидравлического привода: запорный механизм приводится в движение при помощи потока рабочей жидкости. Пневматический привод реагирует на перемену давления в системе.
Наиболее надежным считается кран с электрическим сервоприводом. Он обеспечивает точную автоматическую регулировку работы системы. Электрические датчики (преобразователи температуры) в постоянном режиме производят замеры параметров воды, проходящей через кран с сервоприводом. В случае критических изменений данных, датчики дают сигнал контроллеру, который приводит в движение запорный механизм.
Критерии выбора и принцип управления
Тип трехходового клапана зависит от будущих условий эксплуатации:
- Небольшие помещения. Если планируется подключение теплого пола, например, в ванной, кухне, туалете, то целесообразно применение устройства с термоголовкой. Это простая и подходящая для небольших контуров конструкция.
- Отопление на несколько помещений или на этаж в доме. В таких системах предусмотрено несколько контуров: низкотемпературный для полов, высокотемпературный для радиаторов и малый контур котла. Для разделения ставят трехходовой кран с гидравлическим или пневмоприводом. Принцип работы крана предельно простой: не дать смешиваться потокам из разных контуров.
- Многоконтурная сложная система. Если в доме или жилом комплексе планируется монтаж большого количества контуров, разветвленное радиаторное отопления, то необходимо установить трехходовые краны с сервоприводами. Причем следует разбить отопительную сеть на несколько зон, на каждую из которых монтировать электрический кран либо устроить крупный смесительный узел.
Совет! При выборе электрического клапана для сложного отопления, кроме управляющего элемента, необходимо ориентироваться и на сечение входящего патрубка. Чем оно меньше, тем больше гидросопротивление. Кран в этом случае может некорректно работать.
Установка трехходового клапана
В принципе, клапан любого механизма (термостатический, гидравлический, электрический и т.д.) устанавливается идентично.
В системе с одним теплым полом чаще всего смесительный кран устанавливается на линии обратного потока остывшего теплоносителя. Электрический и термостатический привод приведет в движение запорный механизм, открывающий «дорогу» поток, если теплоноситель будет достаточной температуры, то привод уменьшит количество обратки. В системе отопления, состоящей только из теплого пола, трехходовой кран работает для регулировки силы потоков.
Трехходовой кран отдельно для котла устанавливается для предотвращения попадания слишком холодного теплоносителя во входящий трубопровод. В противном случае, в теплообменнике будет образовываться конденсат, что приведет к поломке оборудования. Целесообразно применение нескольких трехходовых клапанов в многоконтурной системе отопления без коллекторного узла. Устанавливают кран на входящем трубопроводе в котел.
Независимо от вида клапана, его монтаж обеспечивает корректную работу систем с разными количествами контуров. Рекомендуется отдавать предпочтения кранам с электроприводом, он считается наиболее надежным. Принцип электрического управления сложнее, чем термо- или ручного. Целесообразно применять краны с сервоприводом с твердотопливными многофункциональными котлами.
Подключение клапана в систему отопления достаточно простое, но способно избавить от серьезных проблем в будущем.
domotopim.ru
Энциклопедия сантехника Трехходовой клапан
Клапан трехходовой смесительный. Схемы и описания. Принцип работы.
В данной статье мы рассмотрим все трехходовые клапаны. Рассмотрим схемы подключения. Объясню принцип действия клапана для каждой схемы. По данному материалу Вы сами научитесь подбирать трехходовые клапаны, для каждой конкретной цели.Также мы рассмотрим схемы и клапаны, которые способны стабилизировать заданную температуру воды, как для отопления, так и для водоснабжения. Рассмотрим схемы для теплых водяных полов.
И так приступим!!!
Регулирующий трехходовой клапан — это устройство, предназначенное для переключения или смешивания двух разных потоков в один общий поток. В принципе — это основная работа трехходового клапана.
Для чего это нужно?
1. Для того, чтобы иметь возможность переправлять потоки с разных трубопроводов. |
А если по конкретнее?
1. В системе водоснабжение, это получение потока воды с постоянно заданной стабильной температурой. |
В качестве регулирующего элемента в клапане, обычно, применяется либо шток специальной конструкции, который может двигаться в вертикальном направлении, либо шар, который может поворачиваться вокруг оси. При этом регулирующий элемент не осуществляет полное перекрытие клапана, а перераспределяет потоки жидкостей, тем самым производя их смешивание.
Имейте в виду, что на рынке продаются трехходовые клапаны, которые не способны стабилизировать выходную температуру. Это обычные краны, которые только меняют потоки, служат в качестве балансировочной настройки потоков. Перед тем как покупать убедитесь в функциональности данного клапана. Лучше по паспорту ознакомиться с характеристиками таких клапанов.
Пример обычных клапанов, не способных стабилизировать температуру:
Хотя такие клапаны часто ставят на смесительные узлы теплых полов. Также на такие клапаны могут быть установлены электроприводы для их регулирования в автоматическом режиме. Об этом подробнее:
Чертежная схема трехходового клапана:
Чтобы понять, как работает трехходовой клапан, разложим его на два балансировочных клапана:
Что такое балансировочный клапан Вы можете узнать здесь.

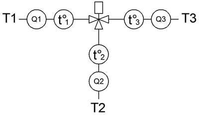
Чтобы проще было давайте назовем вход 1 — точкой 1 (Т1), вход 2 — точкой 2 (Т2), выход 3 — точкой 3 (Т3) и будем на схеме обозначать Т1, Т2, Т3. То есть:
Т1 - Вход 1 |
А проходы в виде балансировочных клапанов назовем Б1 и Б2.
Рассмотрим график обычного трехходового клапана без температурной стабилизации:

При повороте рукоятки трехходового клапана на 50%, входные клапаны становятся равны друг другу. И смешивание происходит равномерно. Если рукоятку повернуть до 100%, то по графику видно, что в точке 1 клапан поджат на 100% и поток в этом направлении не идет.
Это был общий график для всех трехходовых клапанов без стабилизации температуры. А поворот рукоятки у каждой модификации свой, поэтому я выразился в процентном соотношении. Такой трехходовой клапан является обычным балансировочным клапаном. Так как производится настройка проходимого сечения между двумя потоками. То есть настраивается баланс между двумя входными потоками.
Трехходовой клапан с поддержкой заданного уровня температуры или с функцией термостата.
Давайте теперь рассмотрим трехходовой клапан с функцией поддержания заданной температуры.
Чтобы это понять рассмотри такую схему:
Очень важно понять, что каждая точка имеет свое предназначение:
Т1 - Входящий поток высокой температуры. |
Обычно у большинство трехходовых клапанов со стабильным поддержанием заданной температуры точки имеют неизменные входы Т1, Т2, Т3. Эти точки всегда конкретные. Бывают, конечно, исключения, но для начала Вы должны осознать этот момент, что путать точки между собой нельзя. В схеме эти точки имеют конкретное значение.
Когда вы научитесь понимать принцип работы трехходовых клапанов, Вы сами сможете механическим путем проверить правильность заданных точек, либо прочитать это в паспорте.
И так вернемся к данной схеме:
Здесь t°1, t°2, t°3, в кружочке это термометры, которые показывают температуру проходящей жидкости.
Q1, Q2, Q3, — это расходомеры, которые показывают количество проходящего объема воды в единицу времени.
Q3=Q1+Q2
То есть количество проходящей жидкости в точке 3 всегда равно сумме проходящей жидкости в точке 1 и в точке 2.
(t3*Q3) = (t1*Q1) + (t2*Q2)
Следовательно:
t3 = ((t1*Q1) + (t2*Q2))/Q3
График регулирующего трехходового клапана с функцией термостата:

График построен при условии: Заданная температура настроена на 40 градусов.
Далее график для проходного сечения входных точек:

При условии, что в точке 2 температура неизменна и равна 20 градусам.
На графике видно, что температура входящего потока в точке 1 перекрывает сечение так, чтобы стабилизировать температуру на выходе в точке 3. При достижении температуры 40 градусов в точке 1, начинает прикрываться проходное сечение точки 1, тем самым уменьшая расход горячей воды в точке 1. Но, и в тоже, самое время начинает открываться точка 2, которая впускает холодный поток. Далее уже при 60 градусах, происходит интенсивное перемешивание двух поток на 50%. Тем самым разбавляя горячую воду с холодной, на выходе в точке 3, и получаем стабилизированную температуру.
Как работает трехходовой клапан?
То есть в трехходовом клапане с термостатом имеется такой механизм, который чувствуя выходную температуру стремиться производить балансирующую настройку входных потоков с целью стабилизировать выходную температуру. Открывая поток больше либо для точки 1, либо для точки 2.
Для водоснабжения это дает возможность иметь постоянно одну заданную температуру воды для горячего водоснабжения. В то время как водонагреватель в себе имеет воду с постоянно изменяющейся температурой.
Для систем отопления, это дает возможность иметь в некоторых контурах постоянно заданную температуру циркуляции. Например, для питания теплых полов с заданной температурой, или например, для стабилизации выходной температуры от котла или в котел.
Вот, например, клапан трехходовой esbe с функцией термостата:
Важный момент!
Большинство клапанов с функцией термостата имеют одну неприятную особенность, это проходное сечение входных точек. Они, как правило, сильно заужены. Это говорит об их значительном местном гидравлическом сопротивление. Даже если резьба у них 1″. Или внутренний проход трубки 25мм. У них проходное сечение от резьбы в 4 раза меньше, а то и больше. Для точки 2 вообще, проходное сечение еще меньше. Ну, это для клапанов, предназначенных для водоснабжения. Для водоснабжения, как правило, не нужен большой расход в точке 2. Поэтому в точке 2 проходное сечение, намного ниже. Но даже такой клапан, можно поставить на смесительный узел теплых полов. Но, по особой схеме подключения, о которой будет рассказано ниже.
Вообще этот клапан с термостатом является универсальным устройством. Его можно использовать как для водоснабжения, так и для отопления. Нужно только правильно подобрать параметры и правильно подключить. Об этом ниже.
Даже если Вам консультанты магазина говорят, что этот клапан нужен только для водоснабжения. Уверяю Вас, я знаю, как сделать так, чтобы и это устройство служило для отопления. Нужно соблюсти некоторые правила, о которых будет описано ниже.
Да и еще чуть не забыл!
На рынке существуют еще альтернативы трехходовым клапанам — это трехходовой термостатический клапан. Они их обзывают также, но несут в себе термостатический клапан. То есть, если посмотреть на схему, то выглядит это так:
В комплекте, должна быть термоголовка с выносным датчиком. Точка 2 и точка 3 — открыты постоянно. Регулируется только точка 1. Этот трехходовой клапан подойдет только для смесительного узла теплых полов. Если решитесь брать себе такой, то убедитесь, нет ли заужений в точке 2. Способен ли поток, проходящий из точки 2 в точку 3, пройти без значительного гидравлического сопротивления. Проверьте наличия проходимого сечения, нет ли там заужений. Если есть заужения, то примите это во внимания. И не стоит делать ставку на хороший проход в этих точках. Можно для смесительного узла сделать альтернативное кольцо циркуляции, о котором расскажу ниже.
Схема подключения трехходового клапана различны, но принцип работы для всех один.
Собираем схемы для водоснабжения.
Самая распространенная схема подключение трехходового клапана для стабилизации температуры воды — это:
Здесь обратные клапаны служат для того, чтобы не производить обратные потоки течения. То есть, чтобы из динамического перепада давления между холодной и горячей водой не происходило течение горячей воды в холодную и наоборот. Обычно это редкое явление и может его и не быть, но иногда случаются такие казусы.
О том, как работает обратный клапан, Вы можете узнать здесь.
Вот фото где смонтирована такая схема:

Регулирующая барашка спрятана под черной крышкой, которая снимается.
На сегодняшний день для водоснабжения существует пока одна распространенная схема для стабилизации температуры.
Собираем схемы, используя трехходовой клапан для отопления.
Для отопления существуют пока только три направления, где такой клапан необходим:
Рассмотрим схему. Трехходовой клапан для теплого пола:

Давайте обозначим сам смесительный блок:
Основная задача смесительного узла, сделать дополнительный контур с отдельным кольцом циркуляции. Поэтому у каждого смесительного блока имеются 4 точки. Два слева (С1, С2) это циркуляция для получение тепла по мере надобности. А два справа (С3, С4) это непосредственное соединение распределительного коллектора для питания отдельных контуров теплого пола. Таким образом, на выходе (С3, С4) имеется постоянная циркуляция теплоносителя. А на входе (С1, С2) происходит поток по мере надобности для поддержания температуры на заданном уровне.
Видеоурок по расчету смесительного узла
Перейти на курс
Схема смесительного узла с трехходовым клапаном с функцией термостата:

Стрелками обозначены направления потоков.
У Вас возникнут два вопроса! Зачем нужна «линия 2» и зачем нужен «перепускной клапан«?
По поводу перепускного клапана можно прочитать здесь.
Линия 2, нужна для того, чтобы увеличить расход насоса. Это сделано потому, что у большинства трехходовых клапанов имеются заужения в точке 2, которые создают гидравлическое сопротивления. Тем самым как не крути, а расход насоса будет маленьким, если не поставить «линию 2». А если расход насоса будет маленьким, то Вы получите не экономическую систему. Насос будет работать на большую нагрузку, что ведет к дополнительному расходованию электроэнергии. Также Вы не сможете прокачать большое количество контуров (например, 6-8 контуров).
Если Вы найдете трехходовой клапан, имеющий хороший проход в точке 2, то можно не ставить линию 2.
Не бойтесь про линию 1. На линии 1 всегда будет идти поток, даже, если Вы поставите на линию 2, трубу с максимальным диаметром. Например, 32мм. Обязательно проход линии 2 должен быть выполнен из оригинального диаметра, что и подходы к насосу.
При уменьшении потока или расхода на линии 1 до критического, может возникнуть ситуация, когда притока тепла в смесительный узел будет не достаточно. И контура теплого пола могут быть не достаточно нагретыми.
Если такое получается, и полы не могут нагреться, то это происходит по причине, того что маленькая циркуляция между точками С1 и С2. И соответственно тепла приходит не достаточно.
По каким причинам это происходит:
1. Недостаточно потока на линии 1, что приводит термостат на недостаточное открывания прохода точки 1. |
Если Вы подозреваете, что на линии 1 происходит не достаточный поток, то можно, либо заузить линию 2, либо поставить на линию 2, балансировочный клапан.
Балансировочным клапаном, Вы сможете настроить более точнее поток через клапан.

Обычно расход на циркуляции (С1, С2) всегда меньше расхода на циркуляции (С3, С4). Поджимая балансировочный клапан вы увеличиваете расход через линию 1, тем самым увеличивая расход на циркуляции (С1, С2). А также увеличиваете нагрузку на насос. Главное добиться хорошего баланса, между благоприятной нагрузкой на насос и циркуляции между (С1, С2).
Существует и такая схема:

Данная схема позволяет избавиться от балансировочного клапана. Только насос уже стоит за место линии 2. Имейте в виду, что при такой схеме выходной поток из смесительного узла будет равен температуре на вход к теплым полам. То есть точки С2 и С3 будут одинаковыми по температуре. Обратите внимание, что С3 и С4 поменял местами. То есть на данной схеме точка C3 внизу, а точка С4 наверху.
Вы можете, конечно, с экономить на материалах, и сделать теплый пол обычным трехходовым балансировочным клапаном, как на схеме:

К тому же обычные трехходовые балансировочные клапаны имеют хороший проход, что позволяет не использовать дополнительную «линию 2».
Но согласитесь, с поддержанием заданной температуры куда надежней для системы теплого пола.
Давайте рассмотрим схему, как подключить другой трехходовой клапан с термостатическим клапаном, у которого есть термоголовка с выносным датчиком.

Выносной датчик прикладывается к подающему трубопроводу точки С3. На данной схеме вход точки 2 можно заглушить, так как она при выносном датчике совсем не играет роли. Данная схема может быть заменена двухходовым термостатическим клапаном:

Существуют, конечно, еще всякие модификации схем, но мы их рассматривать не будем, так как другие схемы, которые я видел, меня не впечатлили особым функционалом в полезности их действия.
Ну ладно пару схем покажу, которые мне не особо нравятся:


Как можно использовать трехходовой клапан с термостатом для одного контура?
К примеру, возьмем ситуацию: У Вас в частном доме имеется одно маленькое место, где Вы хотите сделать теплый водяной пол. Например, это ванная комната. Чтобы не городить сверхтяжелый смесительный узел, вы можете сделать теплый пол всего из одного контура. Вот схема:

Есть некоторые условия! Длинна трубы, не должна превышать 30-40 метров. Все зависит от загруженности вашей системы контурами. Превысив длину трубы, Вы получите слишком большое гидравлическое сопротивление и жидкость в трубе просто будет очень слабо бежать. Трехходовой клапан с термостатом, нужно ставить на обратный остывший трубопровод. По направлению как указано на схеме. Поток идет от точки 1 к точке 3. Точка 2 глушится и остается свободной. Таким образом, получается автоматическая регуляция температуры теплого пола. Остывший термостат пытается открывать поток, тем самым увеличивая расход, а когда приходит горячий поток, то это означает, что труба нагрета и поток прикрывается, тем самым уменьшая расход.
Но, если у вас большая площадь пола, то можно сделать параллельно два одинаковых контура по длине не превышающих 30-40 метров. Очень важно сделать два одинаковых контура по длине, чтобы они имели одинаковое гидравлическое сопротивление. Тогда жидкость по обоим контурам будет протекать равномерно:

Трехходовой клапан для котла.
Ну и напоследок покажу, как соединить котел для того, чтобы на входящий трубопровод котла не входил холодный поток. А для чего это надо? Спросите Вы меня!
И я отвечу! Для того, чтобы не образовывался конденсат на входящем трубопроводе и не было больших перепадов температур, которые способны привести к деформации трубопровода на местах соединения.
Вот схема:

Обычно по такой схеме подключают твердотопливные котлы, где температура может колебаться от 50 до 90 градусов. По такой схеме выполняется условие, при котором на вход котла не может попасть температура ниже 50 градусов. Это дает маленький перепад температур, при котором меньше возникает конденсата и перегрузки по температурному воздействию.
Конденсат не желателен, так как он разрушает железные трубы. То есть трубы могут зарастать ржавчиной и быстро войти в негодное состояние. Трубы при конденсате быстро ржавеют.
Обычно такую схему ставят на твердотопливные котлы большой мощности от 30кВт.
Да и еще на рынке существуют трехходовые клапаны для больших расходов. Например, существует трехходовой клапан с электроприводом. Обычно в таких клапанах хорошая проходимость и хороший расход.
Подробнее: Трехходовой клапан с электроприводом ESBE
Также, если у вас стоит твердотопливный котел, и имеются пластиковые трубы, то в таких схемах рекомендуется ставить трехходовой клапан, с целью устранить попадания в пластиковые трубы высокой температуры, дабы сберечь трубы от разрушения. Для пластиковых труб температура 85 градусов и выше пагубно действует. Поэтому не рекомендуется превышать 85 градусов. А лучше термостат настроить на 75 градусов.
Вот схема, которая препятствует проходу высокой температуры от котла в систему с пластиковыми трубами:

Про гидрострелку будет описано в других статьях, скажу лишь, что гидрострелка, необходима для разделения потоков при возможности передачи тепла. То есть гидрастрела около себя образует два циркуляционных кольца, которые перемешиваться друг с другом.
Для этой схемы не подойдут клапаны с функцией термостата, так как они имеют очень маленький проход сечения. Имейте ввиду! Может Вы, и найдете клапаны с хорошей проходимостью. Но я так на всякий случай Вас предупреждаю. Чтобы Вы обратили внимание на хороший проход в этих клапанах, чтобы расход в системе отопления был достаточным.
А так, Вы, конечно, сможете найти клапаны с большим расходом. Но обязательно при покупке спрашивайте и изучайте характеристики клапанов по графикам расходов. Чтобы не возникли те самые заужения, которые будут уменьшать расход системы отопления.
О том, как сделать теплые водяные полы можно прочитать здесь.
На этом мы закончим. Надеюсь, данная статья помогла Вам понять принцип работы этих клапанов. А дальше Вы уже сами сможете подбирать клапаны для вашей конкретной цели.
Схема подключения трехходового клапана уже для Вас известна. Подбор трехходового клапана по характеристикам уже ложится на ваши плечи. Я надеюсь, что кто-то и сам сможет производить монтаж трехходового клапана. Так как установка трехходового клапана не таит в себе чудо секретов. Достаточно намотать его на лен или ленту фум и прикрутить к трубопроводу как указано на схемах.
Главное понять физику течений жидкости, а остальное приложится опытом!
Для тех, кто не понимает физику течения жидкостей, гидравлического сопротивления, то для Вас есть специально разработанный раздел Гидравлики и теплотехники. Этот раздел поможет Вам научиться производить гидравлические расчеты.
Если что-то не понятно пишите комментарии. Обязательно отвечу!
| Если Вы желаете получать уведомления о новых полезных статьях из раздела: Сантехника, водоснабжение, отопление, то оставте Ваше Имя и Email. | ||
Все о дачном доме
Водоснабжение
Обучающий курс. Автоматическое водоснабжение своими руками. Для чайников.
Неисправности скважинной автоматической системы водоснабжения.
Водозаборные скважины
Ремонт скважины? Узнайте нужен ли он!
Где бурить скважину — снаружи или внутри?
В каких случаях очистка скважины не имеет смысла
Почему в скважинах застревают насосы и как это предотвратить
Прокладка трубопровода от скважины до дома
100% Защита насоса от сухого хода
Отопление
Обучающий курс. Водяной теплый пол своими руками. Для чайников.
Теплый водяной пол под ламинат
Обучающий Видеокурс: По ГИДРАВЛИЧЕСКИМ И ТЕПЛОВЫМ РАСЧЕТАМ
Водяное отопление
Виды отопления
Отопительные системы
Отопительное оборудование, отопительные батареи
Система теплых полов
Личная статья теплых полов
Принцип работы и схема работы теплого водяного пола
Проектирование и монтаж теплого пола
Водяной теплый пол своими руками
Основные материалы для теплого водяного пола
Технология монтажа водяного теплого пола
Система теплых полов
Шаг укладки и способы укладки теплого пола
Типы водных теплых полов
Все о теплоносителях
Антифриз или вода?
Виды теплоносителей (антифризов для отопления)
Антифриз для отопления
Как правильно разбавлять антифриз для системы отопления?
Обнаружение и последствия протечек теплоносителей
Как правильно выбрать отопительный котел
Тепловой насос
Особенности теплового насоса
Тепловой насос принцип работы
Про радиаторы отопления
Способы подключения радиаторов. Свойства и параметры.
Как рассчитать колличество секций радиатора?
Рассчет тепловой мощности и количество радиаторов
Виды радиаторов и их особенности
Автономное водоснабжение
Схема автономного водоснабжения
Устройство скважины Очистка скважины своими руками
Опыт сантехника
Подключение стиральной машины
Полезные материалы
Редуктор давления воды
Гидроаккумулятор. Принцип работы, назначение и настройка.
Автоматический клапан для выпуска воздуха
Балансировочный клапан
Перепускной клапан
Трехходовой клапан
Трехходовой клапан с сервоприводом ESBE
Терморегулятор на радиатор
Сервопривод коллекторный. Выбор и правила подключения.
Виды водяных фильтров. Как подобрать водяной фильтр для воды.
Обратный осмос
Фильтр грязевик
Обратный клапан
Предохранительный клапан
Смесительный узел. Принцип работы. Назначение и расчеты.
Расчет смесительного узла CombiMix
Гидрострелка. Принцип работы, назначение и расчеты.
Бойлер косвенного нагрева накопительный. Принцип работы.
Расчет пластинчатого теплообменника
Рекомендации по подбору ПТО при проектировании объектов теплоснабжения
О загрязнение теплообменников
Водонагреватель косвенного нагрева воды
Магнитный фильтр — защита от накипи
Инфракрасные обогреватели
Радиаторы. Свойства и виды отопительных приборов.
Виды труб и их свойства
Незаменимые инструменты сантехника
Интересные рассказы
Страшная сказка о черном монтажнике
Технологии очистки воды
Как выбрать фильтр для очистки воды
Поразмышляем о канализации
Очистные сооружения сельского дома
Советы сантехнику
Как оценить качество Вашей отопительной и водопроводной системы?
Профрекомендации
Как подобрать насос для скважины
Как правильно оборудовать скважину
Водопровод на огород
Как выбрать водонагреватель
Пример установки оборудования для скважины
Рекомендации по комплектации и монтажу погружных насосов
Какой тип гидроаккумулятора водоснабжения выбрать?
Круговорот воды в квартире
фановая труба
Удаление воздуха из системы отопления
Гидравлика и теплотехника
Введение
Что такое гидравлический расчет?
Физические свойства жидкостей
Гидростатическое давление
Поговорим о сопротивлениях прохождении жидкости в трубах
Режимы движения жидкости (ламинарный и турбулентный)
Гидравлический расчет на потерю напора или как рассчитать потери давления в трубе
Местные гидравлические сопротивления
Профессиональный расчет диаметра трубы по формулам для водоснабжения
Как подобрать насос по техническим параметрам
Профессиональный расчет систем водяного отопления. Расчет теплопотерь водяного контура.
Гидравлические потери в гофрированной трубе
Теплотехника. Речь автора. Вступление
Процессы теплообмена
Тплопроводность материалов и потеря тепла через стену
Как мы теряем тепло обычным воздухом?
Законы теплового излучения. Лучистое тепло.
Законы теплового излучения. Страница 2.
Потеря тепла через окно
Факторы теплопотерь дома
Начни свое дело в сфере систем водоснабжения и отопления
Вопрос по расчету гидравлики
Конструктор водяного отопления
Диаметр трубопроводов, скорость течения и расход теплоносителя.
Вычисляем диаметр трубы для отопления
Расчет потерь тепла через радиатор
Мощность радиатора отопления
Расчет мощности радиаторов. Стандарты EN 442 и DIN 4704
Расчет теплопотерь через ограждающие конструкции
Найти теплопотери через чердак и узнать температуру на чердаке
Подбираем циркуляционный насос для отопления
Перенос тепловой энергии по трубам
Расчет гидравлического сопротивления в системе отопления
Распределение расхода и тепла по трубам. Абсолютные схемы.
Расчет сложной попутной системы отопления
Расчет отопления. Популярный миф
Расчет отопления одной ветки по длине и КМС
Расчет отопления. Подбор насоса и диаметров
Расчет отопления. Двухтрубная тупиковая
Расчет отопления. Однотрубная последовательная
Расчет отопления. Двухтрубная попутная
Расчет естественной циркуляции. Гравитационный напор
Расчет гидравлического удара
Сколько выделяется тепла трубами?
Собираем котельную от А до Я…
Система отопления расчет
Онлайн калькулятор Программа расчет Теплопотерь помещения
Гидравлический расчет трубопроводов
История и возможности программы — введение
Как в программе сделать расчет одной ветки
Расчет угла КМС отвода
Расчет КМС систем отопления и водоснабжения
Разветвление трубопровода – расчет
Как в программе рассчитать однотрубную систему отопления
Как в программе рассчитать двухтрубную систему отопления
Как в программе рассчитать расход радиатора в системе отопления
Перерасчет мощности радиаторов
Как в программе рассчитать двухтрубную попутную систему отопления. Петля Тихельмана
Расчет гидравлического разделителя (гидрострелка) в программе
Расчет комбинированной цепи систем отопления и водоснабжения
Расчет теплопотерь через ограждающие конструкции
Гидравлические потери в гофрированной трубе
Гидравлический расчет в трехмерном пространстве
Интерфейс и управление в программе
Три закона/фактора по подбору диаметров и насосов
Расчет водоснабжения с самовсасывающим насосом
Расчет диаметров от центрального водоснабжения
Расчет водоснабжения частного дома
Расчет гидрострелки и коллектора
Расчет Гидрострелки со множеством соединений
Расчет двух котлов в системе отопления
Расчет однотрубной системы отопления
Расчет двухтрубной системы отопления
Расчет петли Тихельмана
Расчет двухтрубной лучевой разводки
Расчет двухтрубной вертикальной системы отопления
Расчет однотрубной вертикальной системы отопления
Расчет теплого водяного пола и смесительных узлов
Рециркуляция горячего водоснабжения
Балансировочная настройка радиаторов
Расчет отопления с естественной циркуляцией
Лучевая разводка системы отопления
Петля Тихельмана – двухтрубная попутная
Гидравлический расчет двух котлов с гидрострелкой
Система отопления (не Стандарт) — Другая схема обвязки
Гидравлический расчет многопатрубковых гидрострелок
Радиаторная смешенная система отопления — попутная с тупиков
Терморегуляция систем отопления
Разветвление трубопровода – расчет
Гидравлический расчет по разветвлению трубопровода
Расчет насоса для водоснабжения
Расчет контуров теплого водяного пола
Гидравлический расчет отопления. Однотрубная система
Гидравлический расчет отопления. Двухтрубная тупиковая
Бюджетный вариант однотрубной системы отопления частного дома
Расчет дроссельной шайбы
Что такое КМС?
Конструктор технических проблем
Температурное расширение и удлинение трубопровода из различных материалов
Требования СНиП ГОСТы
Требования к котельному помещению
Вопрос слесарю-сантехнику
Полезные ссылки сантехнику
—
Сантехник — ОТВЕЧАЕТ!!!
Жилищно коммунальные проблемы
Монтажные работы: Проекты, схемы, чертежи, фото, описание.
Если надоело читать, можно посмотреть полезный видео сборник по системам водоснабжения и отопления
infobos.ru
термостатический смесительный клапан, принцип работы распределительного вентиля в системе отопления, схема подключения с электроприводом на теплый пол, как работает, зачем нужен запорный клапан
Содержание:
Надежная система отопления в частном доме является залогом комфортного в нем пребывания и здоровья жильцов. Нередко одних только радиаторов недостаточно для обеспечения качественного обогрева. В таком случае потребители предпочитают укладывать нагревательные элементы под стяжку пола. В случае с водяным теплым полом необходим трехходовой клапан, который позволяет регулировать уровень нагрева радиаторов и труб под стяжкой. Далее в статье расскажем, как работает трехходовой клапан в системе отопления, из каких деталей он состоит и как его правильно установить.

Конструкция
По строению трехходовой клапан включает два двухходовых крана, совмещенные в едином корпусе. При этом они регулируют интенсивность потока теплоносителя, чтобы можно было влиять на температуру горячей воды в радиаторах и трубах теплого пола.
Термостатический смесительный клапан состоит из таких элементов:
- металлический корпус;
- стальной шарик или шток с запорной шайбой;
- крепежные муфты.

Если клапан оборудован штоком, его можно подключить к электромеханическому приводу. Тогда управление потоком и температурой теплоносителя можно будет автоматизировать. Ручные клапаны обычно оснащают металлическими шариками. Принцип действия таких устройств напоминает работу кухонного смесителя.
Стоит отметить, что распределительный трехходовой клапан, корпус которого изготовлен из латуни, предпочтительнее, чем чугунный, поскольку он легче и заметно долговечнее.
Разновидности распределительных клапанов
Хотя назначение у всех клапанов одно и то же – распределять уровень нагрева теплоносителя в трубах, все-таки они отличаются по методам управления.
Различают такие виды устройств:
- ручные;
- с электрическим приводом;
- с термоголовкой;
- пневматические;
- с гидравликой.

Для частного жилого дома предпочтительным будет трехходовой клапан для отопления с электроприводом. Изменения в характеристиках теплоносителя вносятся благодаря специальным датчикам, которые через контроллер передают команды на электрический привод.
Нужный эффект по распределению температуры происходит автоматически, вне зависимости от того, какое отопительное оборудование установлено в доме – твердотопливный, газовый или электрический котел.
Обратите внимание, что специалисты рекомендуют остановить свой выбор на запорном трехходовом клапане с автоматикой, поскольку им намного легче оперировать. Как вариант, если встроить регулируемый клапан в готовую систему отопления нет физической возможности, можно остановиться на устройствах с термоголовками.
Принцип работы в системе отопления — как работает устройство
Если говорить упрощенно, то принцип работы трехходового клапана состоит в перемешивании воды, нагретой до разной температуры. При этом достигается экономия топлива, а котел работает более эффективно и не подвергается излишним нагрузкам.
Пока вода циркулирует по трубам отопления, она постепенно остывает. Поэтому отвечая на вопрос, зачем нужен трехходовой клапан на отопление, скажем, что он позволяет разбавить холодную и горячую воду, чтобы она быстрее и легче нагревалась котлом повторно.

Кроме того, потоки горячей воды распределяются по системе, а чтобы не заниматься этим вручную, устанавливают электрический привод. Он в автоматическом режиме управляет потоками, контролируя степень нагрева теплоносителя. От того, насколько качественной будет данная деталь, зависит долговечность и эффективность работы отопительной системы. Читайте также: «Выбираем трехходовой клапан esbe для отопления и теплого пола – виды кранов эсбе, характеристики».
Стоит отметить, что благодаря встроенному в отопительную систему трехходовому вентилю можно сэкономить порядка 50 % топлива.
Тонкости установки термостатического смесительного вентиля
Трехходовой смесительный клапан можно монтировать в системы отопления с одним или несколькими контурами, поместив его в смесительном узле. Примечательно, что схема подключения трехходового клапана на теплый пол не будет меняться в зависимости от числа контуров (прочитайте: «Как работает трехходовой смесительный клапан для теплого пола, виды, применение»). Единственное различие в том, что система будет оснащена дополнительными деталями.
Дополнительные контуры нужны как раз для того, чтобы подсоединить к отоплению трубы теплого водяного пола. Обратите внимание, что по схеме подключения теплого пола с трехходовым клапаном, он монтируется перед насосом, нагнетающим давление. Это обязательное условие для качественного функционирования отопительной системы.

При выполнении работ по врезке важно проконтролировать, чтобы клапан не засорился шлаками или брызгами расплавленного металла, оставленными сварочным аппаратом. Кроме того, клапан должен быть съемным, чтобы его можно было проверить и, в случае необходимости, заменить.
Если вы не обладаете соответствующими навыками, лучше доверить врезку распределительного клапана профессионалам.
Выбираем трехходовой клапан
Перед тем, как установить трехходовой клапан на теплый пол, его нужно правильно подобрать с учетом особенностей отопительной системы.
Факторы, влияющие на выбор данного приспособления, таковы:
- пропускная способность труб в отопительной системе;
- число контуров;
- материал внешнего корпуса клапана;
- строение и принцип управления прибором;
- сечение входного патрубка.

Что касается числа линий в отопительной системе дома, то в данном вопросе сложностей быть не должно. А вот все прочие факторы предполагают наличие у потребителя определенных технических знаний. Не имея представления об основных принципах термодинамики, сложно подобрать даже размер клапана. Поэтому чтобы не рисковать, рекомендуем проконсультироваться со специалистами, прежде чем приобретать какое-либо приспособление.
Поскольку трехходовой клапан, в сущности, является обычным краном с термостатической головкой, при наличии электропривода он может функционировать без вмешательства человека. При этом горячая вода циркулирует с такой интенсивностью, которая необходима для обеспечения необходимой температуры. Никакие дополнительные пульты управления для этого не нужны, а потребитель может не волноваться, что система отопления перегреется.
teplospec.com
Трехходовой клапан на системе отопления: подключение и принцип работы
Регулировка подачи тепла – это важнейшая составляющая любой системы отопления. Данную функцию выполняет тройник, предназначенный специально для перераспределения теплоносителя, – трехходовой клапан на системе отопления. Основными отличительными особенностями данного устройства являются простота в эксплуатации, функциональность и компактный размер.

Описание и назначение
Кран для системы отопления с тройным ходом монтируется непосредственно в отопительную систему для обеспечения возможности регулирования температуры воды. Применяют такие устройства в отопительных контурах, водопроводных системах, а также в системах горячего водоснабжения.
Изделие оснащено одним выходным патрубком и пробкой с отверстиями, при помощи которых происходит регулирование потоков теплоносителя.
В чем отличие трехходового клапана от двухходового?
В отличие от двухходового, работа трехходового клапана имеет совершенно другой принцип. Шток в данном случае не перекрывает постоянный поток гидравлического режима. Он постоянно открыт и настроен на определенный объем. В результате потребители получают определенный объем в количественном и качественном эквиваленте. Другими словами, клапан не способен перекрыть движение на контур регулярного гидравлического потока. При этом он может перекрыть переменное направление, что позволяет контролировать расход и напор.

Трехходовой клапан на системе отопления был получен при совмещении пары двухходовых устройств. Только оба в обязательном порядке должны работать последовательно – когда закрывается один, свою работу начинает второй.
Области применения
Благодаря своей функциональности данный прибор можно встретить практически во всех сферах деятельности человека, в частности, в каждом доме, оснащенном индивидуальной отопительной системой: трехходовой клапан для котла, для теплых полов и т.д.

Кроме того, эти сантехнические устройства устанавливают на разветвленных контурах отопительных систем, где требуется периодическое перенаправление потока и изменение состояния среды. Также без них не обойтись и в промышленности.
Трехходовой клапан: принцип работы
В общем-то, принцип работы данного сантехнического устройства можно описать в нескольких предложениях. Обратный и подающий трубопроводы подходят к двум входам тройника. Требуемый температурный режим настраивается при помощи регуляторных механизмов.

При первом проходе теплоноситель идет, как положено. На обратном пути он уже охлажден, что моментально сказывается на общей температуре теплоносителя. На протяжении нескольких секунд датчик реагирует на изменение температуры и увеличивает содержание в системе горячей воды. Задвижку он будет раскрывать до того момента, пока вода в отопительной системе не обретет приемлемую температуру.
Главное преимущество, которым обладает трехходовой клапан, – принцип работы: данное устройство автономное и неприхотливое, так как работает самостоятельно. Требуются только настройки и проверка его работоспособности в процессе установки.
Достоинства
- Простота в монтаже.
- Долговечность.
- Функциональность.
- Практичность.
- Возможность регулирования состояния системы посредством несложных действий.
Недостатки
- Трехходовой клапан на системе отопления не предназначен для работы с грязной средой.
- Стоимость этого устройства находится на высоком уровне.
Смесительный тип
Данные сантехнические устройства имеют два основных подвида. Каждый из них выполняет свою функцию: разделительную и смесительную. В общем-то, можно по названию понять, в чем заключается смысл их работы.
Устройство смесительного типа состоит из одного выхода и двух входов. Его основная функция – это смешивание двух потоков, что требуется для уменьшения температуры теплоносителя. Достигается это путем изменения соотношения горячей и холодной воды. Этот вариант незаменим при устройстве системы теплых полов и считается идеальным оборудованием, так как способен создать требуемую температуру.

Температура выходящего потока довольно легко регулируется. Чтобы получить на выходе необходимую температуру, следует знать, какой температуры входящие потоки, и постараться максимально точно рассчитать пропорции каждого.
Если установка и подключение трехходового клапана будут выполнены правильно, он может послужить и разделителем потоков.
Разделительный тип
Разделительный тип трехходового клапана предназначен для разделения на две части основного потока. Для этого на устройстве имеется два выходных отверстия и одно входное. Такой вариант требуется для распределения потоков теплоносителя на два течения. Если в систему включить бойлеры, конвекторы, то без такого клапана не обойтись. Клапан разделительного типа функционирует в системе горячего водоснабжения с целью разделения жидкости. Довольно часто его используют в обвязках воздухонагревателей.

Ручной и электрический привод трехходового клапана
По способу управления трехходовые краны подразделяются на устройства, оснащенные ручным и электрическим приводами. Наиболее популярным считается ручной вариант. Внешне он похож на классический шаровой кран, у него имеется три патрубка (выхода).
В частных домовладениях чаще всего можно встретить именно автоматические системы с электрическим управлением процессом распределения тепла. К примеру, можно настроить температуру для комнат и распределить теплоноситель в зависимости от степени удаленности помещения от отопительного оборудования (котла). Можно совместить с системой теплых полов. Устройства повышенной проходимости устанавливаются на теплопроводах между зданиями.
Подобно любому другому устройству, трехходовой клапан на системе отопления выбирается в зависимости от давления теплоносителя и диаметра подводящего трубопровода. Поэтому его нужно применять в соответствии с ГОСТ. Несоблюдение требований ГОСТа является грубейшим нарушением.
Подключение
Прежде чем приобрести трехходовой клапан, желательно ознакомиться с его характеристиками. К ним относятся:
- Возможность установки сервопривода (если кран устанавливается для работы в автоматическом режиме).
- Пропускная способность трубопроводов.
- Диаметр трубопровода, к которому планируется подключение клапана (2-4 см).
Выполняя подключение трехходового клапана, необходимо учитывать направленность теплоносителя. На корпусе данного устройства присутствует пометка в виде стрелки. Клапан можно устанавливать как горизонтально, так и вертикально. Местоположение устройства никоим образом не отразится на выполнении им своей прямой функции.

В процессе приварки клапана требуется обеспечение безопасности внутренних полостей от попадания в них сварного грунта и окалины. В месте стыка клапана и трубопровода температура теплоносителя не должна быть более 100°C.
В систему отопления трехходовой клапан устанавливается перед циркуляционным насосом.
Клапаны необходимо проверять периодически на стабильность работы и производительность. На объектах их техническое обслуживание проводится соответствующей организацией в определенном порядке.
Важно, чтобы эксплуатация устройства осуществлялась в точном соответствии с инструкцией.
Советы по выбору
Прежде чем купить данное сантехническое оборудование, необходимо убедиться в том, что вам понятна схема трехходового клапана, вы разобрались в его характеристиках и определились с типом конструкции. Также многие обращают внимание на производителей. И действительно, разве может себе позволить производитель с хорошей репутацией плохой товар или изделия с браком. Он просто в этом не заинтересован.
Особенности конструкции и механизма клапана на выбор существенно не влияют. Выбор определенного металла зависит исключительно от ваших предпочтений. Бронза и латунь дороги, но они не поддаются коррозии и более долговечны. Сталь дешевле и прочнее, однако всем известны последствия от ее взаимодействия с водой. Для чугуна характерен большой вес и небольшая стоимость.
Самый важный момент – это выбор типа привода. Клапаны с ручным управлением дешевле, при этом функций у них меньше. Трехходовые клапаны с электрическим приводом стоят дороже и могут сломаться, но от их многочисленных функций большинство потребителей приходит в восторг.
fb.ru
9 основных клапанов для систем отопления. Какие особенности и для чего служат?

В систему отопления зачастую входят механизмы регулирования и механизмы обеспечивающие безопасность эксплуатации. По другому их называют клапанами систем отопления. При помощи данных элементов регулировки происходит изменение параметров теплоснабжения, они также обеспечивают стабильное функционирование и производят автоматическую настройку. Рассмотрим клапаны и регуляторы системы отопления, так как предназначения и функции у них различаются.
Трехходовой клапан отопления

Обычно автоматикой котла не может быть обеспечена потребность в воде с разной температурой для нескольких контуров системы отопления. На помощь приходит трехходовой термостатический смесительный клапан системы отопления, который поддерживает необходимые тепловые параметры теплоносителя в контурах системы отопления, а также малом контуре системы.
На вид клапан походит на простой тройник, металл — бронза или латунь. Вверху данного тройника устанавливается регулировочная шайба, под которой имеется материал чувствительный к перепаду температур. И при необходимости он давит на рабочий шток, выходящий из корпуса. Основная задача клапана основана на удержании температуры теплоносителя на выходе в заданных пределах, путем добавления холодной или горячей воды. При неподходящих температурных изменениях, внешний привод клапана давит на шток. Далее конус выходит из седла и открывается проход между всеми каналами. В ходе работы, контроль за трехходовым клапаном согласно температуре исполняется наружным приводом.
Обратный клапан отопления

В сложной системе отопления присутствует довольно большое количество вспомогательных элементов, задача которых обеспечить надежность и бесперебойность работы. Одним из этих элементов является обратный клапан системы отопления. Обратный клапан ставят для того, чтобы не было протока в обратную сторону. Его элементы обладают очень большим гидравлическим сопротивлением. В связи с этим обстоятельством существуют ограничения по использованию обратных клапанов в системе отоплении с естественной циркуляцией. В такой системе слишком малое давление. При минимальном давлении необходимо ставить гравитационные клапаны с поворотной заслонкой, некоторые из них могут срабатывать при давлении в 0,001 Бар. Основная деталь обратного клапана — это пружина, применяемая почти во всех моделях. Именно пружина перекрывает затвор при изменении нормальных параметров. Это и являет собой принцип работы обратного клапана.
Необходимо учитывать рабочие параметры в той или иной системе отопления. В связи с чем подбирать клапан системы отопления, который имеет необходимую упругость пружины.
Применяемая в отопительных системах запорная арматура обычно изготавливается из следующих материалов: сталь; латунь; нержавеющая сталь; серый чугун.
Обратные клапана подразделяются на следующие виды: тарельчатые; лепестковые; шаровые; двустворчатые. Различаются эти виды клапанов запирающим устройством.
Регулирующие (запорно-регулирующие) клапаны отопления

Регулирующие и запорно-регулирующие клапаны отопления осуществляют систематическое изменение потока теплоносителя, от максимума до минимума, при открытом и закрытом положении клапана. Отсечные или запорные клапана управляют теплоносителем дискретно при полностью открытом или полностью закрытом положении затвора. В состав регулирующего клапана входят три основные блока: корпус, дроссельный узел и привод клапана. Запирающим и регулирующим элементом клапана является дроссельный узел. При выборе втулки, седла, плунжера следует обращать внимание на условия эксплуатации клапана. Учитывается среда и ее температура, наличие примесей, пропускная способность. Основным и важным значением в работе клапана является правильное направление подачи рабочей среды. Обычно оно промаркировано стрелкой на рабочей поверхности корпуса.
Термостатический клапан

В современных реалиях терморегулирующий вентиль — это предварительная норма современного и надежного оборудования в системе отопления. Температура вентиля автоматически регулируется. Работа смесительного клапана системы отопления для радиаторов заключается в ограничении уровня подачи на отдельный радиатор отопления. Шток вентиля производит движения на открытие и закрытие отверстия. Через это отверстие происходит поступление теплоносителя в радиатор. При нагревании вентиля с термостатической головкой, осуществляется закрытие входного отверстия, вследствие чего уменьшается расход теплоносителя. Вентиль терморегулирующийся постоянно изменяет свое положение. И немаловажным фактором является качество материалов на основе которых изготавливается данное изделие. Изделие может выходить из строя из-за заедания штока, а также значительной коррозии и прорыва уплотняющих материалов. Но и в случае выхода терморегулирующего вентиля из строя можно продлить срок его эксплуатации, заменив термостатический элемент.
Клапана системы отопления с термоголовками отличаются в зависимости от формы и варианта подвода к системе теплоснабжения. Они могут быть угловые при подводе к радиаторам с пола, также бывают прямые, которые соединяют трубы с батареей относительно поверхности стены. Осевые, в основном, при соединении труб из стены к батареи. При боковом подключении батарей необходим специальный комплект. В нем используются термостатические головки и клапана. Заведомо батареи идущие с нижним подключением, оборудованы вкладышами клапанного типа.
Регулятор давления

Работа батарей и насоса нарушается в следствии высокого либо низкого уровня давления. Избежать данного негативного фактора поможет правильный контроль в системе отопления. Давление в системе играет значительную роль, оно обеспечивает гарантию попадания воды в трубы и радиаторы. Потери тепла сократятся, если давление будет стандартным и поддерживаться. Здесь приходят на помощь регуляторы давления воды. Их миссия, прежде всего, охранять систему от слишком большого давления. Принцип работы этого устройства основан на том, что клапан системы отопления, находящийся в регуляторе, работает как выравниватель усилий. От типа давления регуляторы классифицируются на: статистические, динамические. Выбирать регулятор давления необходимо основываясь на пропускную способность. Это способность пропускать нужный объем теплоносителя, при наличии необходимого постоянного перепада давлений.
Перепускной клапан отопления

Для сброса рабочей среды служит перепускной клапан терморегулятора системы отопления, который функционирует в обратку при значительном повышении давления. Как правило давление растет за счет достижения установленной в ручном режиме максимальной температуры, подача теплоносителя в радиатор снижается, в следствии чего давление и повышается. Перепускные клапаны системы отопления, в основе своей, предназначены для того, чтобы обеспечить стабильную разность между обратным и подающим трубопроводом. При уменьшении тепловой нагрузки, термостатические вентили закрываются, что приводит к перепаду давления между трубопроводами. В следствии использования перепускного клапана снижается нагрузка на насос, увеличивается температура в обратке, происходит защита котла от коррозии. Область применения перепускного клапана системы отопления довольно широка, он также используется для предотвращения шумообразования терморегуляторов. Установка перепускных клапанов осуществляется не только у нерегулируемого насоса, но и на перемычки стояков.
Клапаны предохранительные

Источником опасности является любое котельное оборудование. Котлы считаются взрывоопасными, так как имеют водяную рубашку, т.е. сосуд под давлением. Одно из самых надежных и распространенных предохранительных устройств, сводящее опасность до минимума — это предохранительный клапан системы отопления. Установка данного приспособления обусловлена защитой систем отопления от избыточного давления. Зачастую такое давление возникает в результате закипания воды в котле. Предохранительный клапан ставится на подающем трубопроводе, как можно ближе к котлу. Клапан имеет довольно простую конструкцию. Корпус изготовлен из латуни хорошего качества. Основным рабочим элементом клапана является пружина. Пружина в свою очередь действует на мембрану, которая закрывает проход наружу. Мембрана выполнена из полимерных материалов, пружина из стали. Выбирая предохранительный клапан следует учитывать, что полное открытие происходит при повышении давления в отопительной системе над значением на 10%, а полное закрытие при снижении давления ниже срабатывания на 20%. В следствии данных характеристик необходимо выбирать клапан с давлением срабатывания выше 20-30% от фактического.
Балансировочный клапан
Балансировочный клапан системы отопления предназначается для регулирования проходимого теплоносителя. Жидкость потребляется в зависимости от давления. Чем больше давление, тем больше потребляется жидкости. Установка данного прибора происходит на стояках. Отбалансированная система обеспечивает беспрерывную работу. Ручной клапан используется как диафрагма, автоматический поддерживает давление и потребление в стояках. Ручной балансирный клапан может перекрывать систему. Конструкция представляет собой устройство вентильного типа. Ручные клапаны могут устанавливаться в паре с запорными.
Регулятор расхода
Установив приборы учета энергии, закономерно возникает вопрос, как можно регулировать и контролировать подачу теплоносителя, ограничивать или добавлять его расход. Для этого существуют всевозможные автоматические регуляторы, применение которых позволяет экономить, они работают от датчиков температуры наружного воздуха и датчиков обратного трубопровода. Еще одно преимущество регуляторов температуры — это контроль температуры непосредственно в месте установки радиатора, в отличии от других устройств. Данное преимущество дает приоритет в получении равномерного температурного фона для комфортного пребывания в помещении. Регулятор предотвратит перегрев воздуха в помещении, чего не всегда смогут отследить датчики на централизованной автоматике. Представляется возможность регулировать температуру для каждой комнаты в отдельности. Иногда решая вопрос регулировки устанавливают обычные краны. Конечно данное решение уменьшает финансовые затраты, но лишает ряда полезных преимуществ. У крана ограниченная функциональность на открытие и закрытие. Существует опасность остановить или завоздушить стояк. Регулируя отопление при помощи кранов невозможно добиться необходимого температурного режима. Используя автоматические регуляторы можно наладить систему точно и эффективно.
eurosantehnik.ru
